2025年安徽阳光夺冠单元与期末真题精选大试卷八年级数学上册人教版
注:目前有些书本章节名称可能整理的还不是很完善,但都是按照顺序排列的,请同学们按照顺序仔细查找。练习册 2025年安徽阳光夺冠单元与期末真题精选大试卷八年级数学上册人教版 答案主要是用来给同学们做完题方便对答案用的,请勿直接抄袭。
第74页
- 第1页
- 第2页
- 第3页
- 第4页
- 第5页
- 第6页
- 第7页
- 第8页
- 第9页
- 第10页
- 第11页
- 第12页
- 第13页
- 第14页
- 第15页
- 第16页
- 第17页
- 第18页
- 第19页
- 第20页
- 第21页
- 第22页
- 第23页
- 第24页
- 第25页
- 第26页
- 第27页
- 第28页
- 第29页
- 第30页
- 第31页
- 第32页
- 第33页
- 第34页
- 第35页
- 第36页
- 第37页
- 第38页
- 第39页
- 第40页
- 第41页
- 第42页
- 第43页
- 第44页
- 第45页
- 第46页
- 第47页
- 第48页
- 第49页
- 第50页
- 第51页
- 第52页
- 第53页
- 第54页
- 第55页
- 第56页
- 第57页
- 第58页
- 第59页
- 第60页
- 第61页
- 第62页
- 第63页
- 第64页
- 第65页
- 第66页
- 第67页
- 第68页
- 第69页
- 第70页
- 第71页
- 第72页
- 第73页
- 第74页
- 第75页
- 第76页
- 第77页
- 第78页
- 第79页
- 第80页
- 第81页
- 第82页
- 第83页
- 第84页
- 第85页
- 第86页
- 第87页
- 第88页
- 第89页
- 第90页
- 第91页
- 第92页
- 第93页
- 第94页
- 第95页
- 第96页
- 第97页
- 第98页
- 第99页
- 第100页
- 第101页
- 第102页
- 第103页
- 第104页
- 第105页
- 第106页
- 第107页
- 第108页
- 第109页
- 第110页
- 第111页
- 第112页
- 第113页
- 第114页
- 第115页
- 第116页
- 第117页
- 第118页
- 第119页
- 第120页
- 第121页
- 第122页
- 第123页
- 第124页
- 第125页
- 第126页
- 第127页
- 第128页
- 第129页
- 第130页
- 第131页
- 第132页
19. 如图,点 $B$,$E$,$C$,$F$ 在同一直线上,点 $A$,$D$ 在直线 $BC$ 的同侧,$AB = DF$,$AC = DE$,$BE = CF$。
(1) 证明:$\triangle ABC\cong\triangle DFE$;
(2) 若 $\angle A = 75^{\circ}$,$\angle B = 45^{\circ}$,求 $\angle COE$ 的度数。

(1) 证明:$\triangle ABC\cong\triangle DFE$;
(2) 若 $\angle A = 75^{\circ}$,$\angle B = 45^{\circ}$,求 $\angle COE$ 的度数。
答案:
19.解:
(1)证明:
∵BE=CF,
∴BC=EF,在△ABC和△DFE中,$\begin{cases} AB=DF, \\ AC=DE, \\ BC=FE, \end{cases}$
∴△ABC≌△DFE(SSS);
(2)
∵∠A=75°,∠B=45°,
∴∠ACB=180°-∠A -∠B=60°.由
(1)知△ABC≌△DFE,
∴∠DEF =∠ACB=60°,
∴∠COE=180°-60°-60°=60°.
(1)证明:
∵BE=CF,
∴BC=EF,在△ABC和△DFE中,$\begin{cases} AB=DF, \\ AC=DE, \\ BC=FE, \end{cases}$
∴△ABC≌△DFE(SSS);
(2)
∵∠A=75°,∠B=45°,
∴∠ACB=180°-∠A -∠B=60°.由
(1)知△ABC≌△DFE,
∴∠DEF =∠ACB=60°,
∴∠COE=180°-60°-60°=60°.
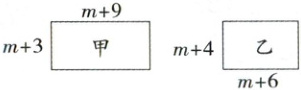
20. 有甲、乙两块草地,其长和宽的数据如图所示。
(1) 求甲草地的面积(用含 $m$ 的代数式表示);
(2) 若再开辟一块正方形草地,周长与乙草地的周长相等。
① 求该正方形草地的边长(用含 $m$ 的代数式表示);
② 请比较该正方形草地的面积与乙草地的面积的大小。

(1) 求甲草地的面积(用含 $m$ 的代数式表示);
(2) 若再开辟一块正方形草地,周长与乙草地的周长相等。
① 求该正方形草地的边长(用含 $m$ 的代数式表示);
② 请比较该正方形草地的面积与乙草地的面积的大小。
答案:
20.解:
(1)甲草地的面积为:$(m+3)(m+9)=m^{2}+12m+27$;
(2)①
∵乙草地的周长为:$2(m+4+m+6)=4m+20$,
∴正方形草地的边长为:$(4m+20)÷4=m+5$;②正方形草地的面积为:$(m+5)^{2}$,乙草地的面积为:$(m+4)(m+6)$,
∵$(m+5)^{2}-(m+4)(m+6)=m^{2}+10m+25-m^{2}-10m-24=1>0$,
∴正方形草地的面积>乙草地的面积.
(1)甲草地的面积为:$(m+3)(m+9)=m^{2}+12m+27$;
(2)①
∵乙草地的周长为:$2(m+4+m+6)=4m+20$,
∴正方形草地的边长为:$(4m+20)÷4=m+5$;②正方形草地的面积为:$(m+5)^{2}$,乙草地的面积为:$(m+4)(m+6)$,
∵$(m+5)^{2}-(m+4)(m+6)=m^{2}+10m+25-m^{2}-10m-24=1>0$,
∴正方形草地的面积>乙草地的面积.
21. 如图,在 $\triangle ABC$ 中,$\angle BAC\gt 90^{\circ}$,$AB$ 的垂直平分线分别交 $AB$,$BC$ 于点 $E$,$F$,$AC$ 的垂直平分线分别交 $AC$,$BC$ 于点 $M$,$N$,直线 $EF$ 与直线 $MN$ 交于点 $P$。
(1) 求证:点 $P$ 在线段 $BC$ 的垂直平分线上;
(2) 已知 $\angle FAN = 52^{\circ}$,求 $\angle FPN$ 的度数。

(1) 求证:点 $P$ 在线段 $BC$ 的垂直平分线上;
(2) 已知 $\angle FAN = 52^{\circ}$,求 $\angle FPN$ 的度数。
答案:
21.解:
(1)证明:如图,连接BP,AP,PC.
∵EF垂直平分AB,MN垂直平分AC,
∴PA=PB,PA=PC,
∴PB=PC,
∴点P在线段BC的垂直平分线上;
(2)
∵EF垂直平分AB,MN垂直平分AC,
∴FA=FB,NA=NC,∠AEP=∠AMP=90°,
∴∠ABC=∠BAF,∠ACB=∠CAN,∠EAP+∠APE=90°,∠MAP+∠MPA=90°,
∴∠BAC+∠EPM=180°,
∵∠ABC+∠ACB+∠CAB=180°,∠FAN=52°,
∴2∠ABC+2∠ACB+52°=180°,
∴2(∠ABC+∠ACB)=128°,
∴∠ABC+∠ACB=64°,
∴∠BAC=180°-(∠ABC+∠ACB)=180°-64°=116°,
∴∠FPN=∠EPM=180°-∠BAC=180°-116°=64°.

21.解:
(1)证明:如图,连接BP,AP,PC.
∵EF垂直平分AB,MN垂直平分AC,
∴PA=PB,PA=PC,
∴PB=PC,
∴点P在线段BC的垂直平分线上;
(2)
∵EF垂直平分AB,MN垂直平分AC,
∴FA=FB,NA=NC,∠AEP=∠AMP=90°,
∴∠ABC=∠BAF,∠ACB=∠CAN,∠EAP+∠APE=90°,∠MAP+∠MPA=90°,
∴∠BAC+∠EPM=180°,
∵∠ABC+∠ACB+∠CAB=180°,∠FAN=52°,
∴2∠ABC+2∠ACB+52°=180°,
∴2(∠ABC+∠ACB)=128°,
∴∠ABC+∠ACB=64°,
∴∠BAC=180°-(∠ABC+∠ACB)=180°-64°=116°,
∴∠FPN=∠EPM=180°-∠BAC=180°-116°=64°.
查看更多完整答案,请扫码查看