第96页
- 第1页
- 第2页
- 第3页
- 第4页
- 第5页
- 第6页
- 第7页
- 第8页
- 第9页
- 第10页
- 第11页
- 第12页
- 第13页
- 第14页
- 第15页
- 第16页
- 第17页
- 第18页
- 第19页
- 第20页
- 第21页
- 第22页
- 第23页
- 第24页
- 第25页
- 第26页
- 第27页
- 第28页
- 第29页
- 第30页
- 第31页
- 第32页
- 第33页
- 第34页
- 第35页
- 第36页
- 第37页
- 第38页
- 第39页
- 第40页
- 第41页
- 第42页
- 第43页
- 第44页
- 第45页
- 第46页
- 第47页
- 第48页
- 第49页
- 第50页
- 第51页
- 第52页
- 第53页
- 第54页
- 第55页
- 第56页
- 第57页
- 第58页
- 第59页
- 第60页
- 第61页
- 第62页
- 第63页
- 第64页
- 第65页
- 第66页
- 第67页
- 第68页
- 第69页
- 第70页
- 第71页
- 第72页
- 第73页
- 第74页
- 第75页
- 第76页
- 第77页
- 第78页
- 第79页
- 第80页
- 第81页
- 第82页
- 第83页
- 第84页
- 第85页
- 第86页
- 第87页
- 第88页
- 第89页
- 第90页
- 第91页
- 第92页
- 第93页
- 第94页
- 第95页
- 第96页
- 第97页
- 第98页
- 第99页
- 第100页
- 第101页
- 第102页
- 第103页
- 第104页
- 第105页
- 第106页
- 第107页
- 第108页
- 第109页
- 第110页
- 第111页
- 第112页
- 第113页
- 第114页
- 第115页
- 第116页
- 第117页
1. 解方程:$\frac{3x - 1}{2} = \frac{4x + 2}{5} - 1$,去分母后,变形正确的是(
A.$15x - 1 = 8x + 2 - 1$
B.$15x - 5 = 8x + 4 - 10$
C.$15x - 5 = 8x + 4 - 1$
D.$15x - 1 = 8x + 2 - 10$
B
)A.$15x - 1 = 8x + 2 - 1$
B.$15x - 5 = 8x + 4 - 10$
C.$15x - 5 = 8x + 4 - 1$
D.$15x - 1 = 8x + 2 - 10$
答案:
B
2. 方程$\frac{x - 1}{3} = \frac{x}{4}$的解是(
A.$x = 1$
B.$x = 2$
C.$x = 3$
D.$x = 4$
D
)A.$x = 1$
B.$x = 2$
C.$x = 3$
D.$x = 4$
答案:
D
3. 已知$x = 3$是关于$x$的方程$1 - \frac{3m - x}{4} = 0$的解,则$m$的值为
$\frac{7}{3}$
。
答案:
$\frac{7}{3}$
4. 解下列方程:
(1)$\frac{1 + 2x}{3} = \frac{3x + 1}{5}$。
(2)$\frac{1}{4}(x + 8) = \frac{1}{3}(x - 9)$。(用两种方法求解)
(3)$\frac{3x - 5}{6} - \frac{x - 2}{3} = 1$。
(4)$2 - \frac{1}{4}(3x - 5) = \frac{1}{3}(6 - x)$。
(1)$\frac{1 + 2x}{3} = \frac{3x + 1}{5}$。
(2)$\frac{1}{4}(x + 8) = \frac{1}{3}(x - 9)$。(用两种方法求解)
(3)$\frac{3x - 5}{6} - \frac{x - 2}{3} = 1$。
(4)$2 - \frac{1}{4}(3x - 5) = \frac{1}{3}(6 - x)$。
答案:
(1)去分母,得5(1+2x)=3(3x+1).去括号,得5+10x=9x+3.移项、合并同类项,得x=-2.(2)解法一:去括号,得$\frac{1}{4}x+2=\frac{1}{3}x-3.$移项、合并同类项,得$-\frac{1}{12}x=-5.$方程的两边都除以$-\frac{1}{12},$得x=60.解法二:去分母,得3(x+8)=4(x-9).去括号,得3x+24=4x-36.移项、合并同类项,得-x=-60.方程的两边都除以-1,得x=60.(3)去分母,得3x-5-2(x-2)=6.去括号,得3x-5-2x+4=6.移项,得3x-2x=6+5-4.合并同类项,得x=7.(4)去分母,得24-3(3x-5)=4(6-x).去括号,得24-9x+15=24-4x.移项,得-9x+4x=24-24-15.合并同类项,得-5x=-15.方程的两边都除以-5,得x=3.
5. 华师二附中校本经典题 $k$ 取何值时,代数式$\frac{k + 1}{3}$的值比$\frac{3k + 1}{2}$的值小 $1$?
答案:
根据题意,得$\frac{k+1}{3}+1=\frac{3k+1}{2}.$去分母,得2k+2+6=9k+3.解得$k=\frac{5}{7}.$
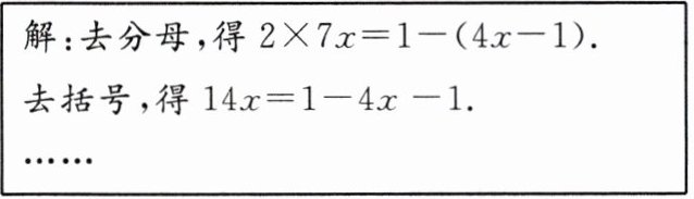
6. 小红在解方程$\frac{7x}{3} = 1 - \frac{4x - 1}{6}$时,前两步出现了错误:

(1)请在上面的方框内用横线画出小红的错误处。
(2)写出正确的解答过程。
(1)请在上面的方框内用横线画出小红的错误处。
(2)写出正确的解答过程。
答案:
(1)略.(2)去分母,得2×7x=6-(4x-1).去括号,得14x=6-4x+1.移项,得14x+4x=6+1.合并同类项,得18x=7.系数化为1,得$x=\frac{7}{18}.$
查看更多完整答案,请扫码查看