第84页
- 第1页
- 第2页
- 第3页
- 第4页
- 第5页
- 第6页
- 第7页
- 第8页
- 第9页
- 第10页
- 第11页
- 第12页
- 第13页
- 第14页
- 第15页
- 第16页
- 第17页
- 第18页
- 第19页
- 第20页
- 第21页
- 第22页
- 第23页
- 第24页
- 第25页
- 第26页
- 第27页
- 第28页
- 第29页
- 第30页
- 第31页
- 第32页
- 第33页
- 第34页
- 第35页
- 第36页
- 第37页
- 第38页
- 第39页
- 第40页
- 第41页
- 第42页
- 第43页
- 第44页
- 第45页
- 第46页
- 第47页
- 第48页
- 第49页
- 第50页
- 第51页
- 第52页
- 第53页
- 第54页
- 第55页
- 第56页
- 第57页
- 第58页
- 第59页
- 第60页
- 第61页
- 第62页
- 第63页
- 第64页
- 第65页
- 第66页
- 第67页
- 第68页
- 第69页
- 第70页
- 第71页
- 第72页
- 第73页
- 第74页
- 第75页
- 第76页
- 第77页
- 第78页
- 第79页
- 第80页
- 第81页
- 第82页
- 第83页
- 第84页
- 第85页
- 第86页
- 第87页
- 第88页
- 第89页
- 第90页
- 第91页
- 第92页
- 第93页
- 第94页
- 第95页
- 第96页
- 第97页
- 第98页
- 第99页
- 第100页
- 第101页
- 第102页
- 第103页
- 第104页
- 第105页
- 第106页
- 第107页
- 第108页
- 第109页
- 第110页
- 第111页
- 第112页
- 第113页
- 第114页
- 第115页
- 第116页
- 第117页
8. 综合与探究
【初步探究】
(1) 如图 1,已知线段 $ AB = 16 $,C,D 为线段 AB 上的两个动点,且 $ CD = 4 $,M,N 分别是 AC 和 BD 的中点,求线段 MN 的长.
【类比探究】
(2) 如图 2,直角 $ ∠COD $与平角 $ ∠AOB $按如图所示的方式摆放在一起,且 OM 和 ON 分别是 $ ∠AOC $,$ ∠BOD $的平分线,求 $ ∠MON $的度数.
【知识迁移】
(3) 当 $ ∠AOB = α $,$ ∠COD = β $时,按如图 3 所示的方式摆放在一起,且 OM 和 ON 分别是 $ ∠AOC $,$ ∠BOD $的平分线,求 $ ∠MON $的度数.(用含 α,β 的代数式表示,且 $ 0^{\circ} < α < 180^{\circ} $,$ 0^{\circ} < β < 180^{\circ} $)



【初步探究】
(1) 如图 1,已知线段 $ AB = 16 $,C,D 为线段 AB 上的两个动点,且 $ CD = 4 $,M,N 分别是 AC 和 BD 的中点,求线段 MN 的长.
【类比探究】
(2) 如图 2,直角 $ ∠COD $与平角 $ ∠AOB $按如图所示的方式摆放在一起,且 OM 和 ON 分别是 $ ∠AOC $,$ ∠BOD $的平分线,求 $ ∠MON $的度数.
【知识迁移】
(3) 当 $ ∠AOB = α $,$ ∠COD = β $时,按如图 3 所示的方式摆放在一起,且 OM 和 ON 分别是 $ ∠AOC $,$ ∠BOD $的平分线,求 $ ∠MON $的度数.(用含 α,β 的代数式表示,且 $ 0^{\circ} < α < 180^{\circ} $,$ 0^{\circ} < β < 180^{\circ} $)
答案:
解:
(1)
∵AB=16,CD=4,
∴AC+BD=AB−CD=16−4=12.
∵M,N分别是AC和BD的中点,
∴MC=$\frac{1}{2}$AC,DN=$\frac{1}{2}$BD.
∴MC+DN=$\frac{1}{2}$(AC+BD)=$\frac{1}{2}$×12=6.
∴MN=MC+CD+DN=6+4=10.
(2)
∵∠AOB=180°,∠COD=90°,
∴∠AOC+∠BOD=∠AOB−∠COD=180°−90°=90°.
∵OM和ON分别是∠AOC,∠BOD的平分线,
∴∠MOC=$\frac{1}{2}$∠AOC,∠DON=$\frac{1}{2}$∠BOD.
∴∠MOC+∠DON=$\frac{1}{2}$(∠AOC+∠BOD)=$\frac{1}{2}$×90°=45°.
∴∠MON=∠MOC+∠COD+∠DON=90°+45°=135°.
(3)
∵OM和ON分别是∠AOC,∠BOD的平分线,
∴∠MOC=$\frac{1}{2}$∠AOC,∠BON=$\frac{1}{2}$∠BOD.
∴∠MON=∠MOC +∠COB+∠BON=$\frac{1}{2}$∠AOC+∠COB+$\frac{1}{2}$∠BOD=$\frac{1}{2}$(∠AOC+2∠COB+∠BOD)=$\frac{1}{2}$(∠AOB+∠COD)=$\frac{1}{2}$(α+β).
(1)
∵AB=16,CD=4,
∴AC+BD=AB−CD=16−4=12.
∵M,N分别是AC和BD的中点,
∴MC=$\frac{1}{2}$AC,DN=$\frac{1}{2}$BD.
∴MC+DN=$\frac{1}{2}$(AC+BD)=$\frac{1}{2}$×12=6.
∴MN=MC+CD+DN=6+4=10.
(2)
∵∠AOB=180°,∠COD=90°,
∴∠AOC+∠BOD=∠AOB−∠COD=180°−90°=90°.
∵OM和ON分别是∠AOC,∠BOD的平分线,
∴∠MOC=$\frac{1}{2}$∠AOC,∠DON=$\frac{1}{2}$∠BOD.
∴∠MOC+∠DON=$\frac{1}{2}$(∠AOC+∠BOD)=$\frac{1}{2}$×90°=45°.
∴∠MON=∠MOC+∠COD+∠DON=90°+45°=135°.
(3)
∵OM和ON分别是∠AOC,∠BOD的平分线,
∴∠MOC=$\frac{1}{2}$∠AOC,∠BON=$\frac{1}{2}$∠BOD.
∴∠MON=∠MOC +∠COB+∠BON=$\frac{1}{2}$∠AOC+∠COB+$\frac{1}{2}$∠BOD=$\frac{1}{2}$(∠AOC+2∠COB+∠BOD)=$\frac{1}{2}$(∠AOB+∠COD)=$\frac{1}{2}$(α+β).
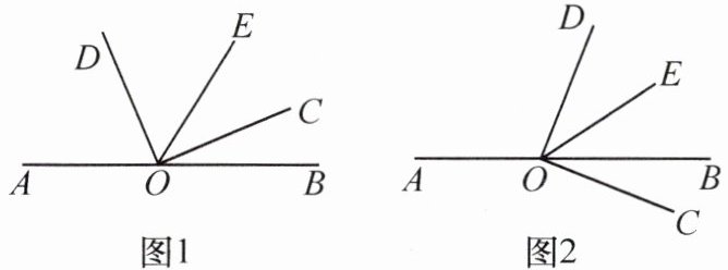
9. 已知 O 是直线 AB 上的一点,$ ∠COD = 90^{\circ} $,OE 是 $ ∠BOD $的平分线.
(1) 如图 1,当点 C,D,E 在直线 AB 的同侧时.
① 若 $ ∠COE = 35^{\circ} $,求 $ ∠AOD $的度数.
② 若 $ ∠COE = α $,则 $ ∠AOD = $
(2) 如图 2,当点 C 与点 D,E 在直线 AB 的两侧时,(1)中②的结论是否仍然成立?请给出结论并说明理由.

(1) 如图 1,当点 C,D,E 在直线 AB 的同侧时.
① 若 $ ∠COE = 35^{\circ} $,求 $ ∠AOD $的度数.
② 若 $ ∠COE = α $,则 $ ∠AOD = $
2α
.(用含 α 的式子表示)(2) 如图 2,当点 C 与点 D,E 在直线 AB 的两侧时,(1)中②的结论是否仍然成立?请给出结论并说明理由.
答案:
解:
(1)①
∵∠COD=90°,∠COE=35°,
∴∠DOE=∠COD−∠COE=90°−35°=55°.
∵OE平分∠BOD,
∴∠BOD=2∠DOE=2×55°=110°.
∴∠AOD=180°−∠BOD=180°−110°=70°.
②2α
(2)成立.理由如下:当点C与点D,E在直线AB的两侧时,
∵∠COE=α,∠COD=90°,
∴∠DOE=∠COD −∠COE=90°−α.
∵OE平分∠BOD,
∴∠BOD=2∠DOE=2(90°−α)=180°−2α.
∴∠AOD=180°−∠BOD=180°−(180°−2α)=2α.
(1)①
∵∠COD=90°,∠COE=35°,
∴∠DOE=∠COD−∠COE=90°−35°=55°.
∵OE平分∠BOD,
∴∠BOD=2∠DOE=2×55°=110°.
∴∠AOD=180°−∠BOD=180°−110°=70°.
②2α
(2)成立.理由如下:当点C与点D,E在直线AB的两侧时,
∵∠COE=α,∠COD=90°,
∴∠DOE=∠COD −∠COE=90°−α.
∵OE平分∠BOD,
∴∠BOD=2∠DOE=2(90°−α)=180°−2α.
∴∠AOD=180°−∠BOD=180°−(180°−2α)=2α.
查看更多完整答案,请扫码查看