第68页
- 第1页
- 第2页
- 第3页
- 第4页
- 第5页
- 第6页
- 第7页
- 第8页
- 第9页
- 第10页
- 第11页
- 第12页
- 第13页
- 第14页
- 第15页
- 第16页
- 第17页
- 第18页
- 第19页
- 第20页
- 第21页
- 第22页
- 第23页
- 第24页
- 第25页
- 第26页
- 第27页
- 第28页
- 第29页
- 第30页
- 第31页
- 第32页
- 第33页
- 第34页
- 第35页
- 第36页
- 第37页
- 第38页
- 第39页
- 第40页
- 第41页
- 第42页
- 第43页
- 第44页
- 第45页
- 第46页
- 第47页
- 第48页
- 第49页
- 第50页
- 第51页
- 第52页
- 第53页
- 第54页
- 第55页
- 第56页
- 第57页
- 第58页
- 第59页
- 第60页
- 第61页
- 第62页
- 第63页
- 第64页
- 第65页
- 第66页
- 第67页
- 第68页
- 第69页
- 第70页
- 第71页
- 第72页
- 第73页
- 第74页
- 第75页
- 第76页
- 第77页
- 第78页
- 第79页
- 第80页
- 第81页
- 第82页
- 第83页
- 第84页
- 第85页
- 第86页
- 第87页
- 第88页
- 第89页
- 第90页
- 第91页
- 第92页
- 第93页
- 第94页
- 第95页
- 第96页
- 第97页
- 第98页
- 第99页
- 第100页
- 第101页
- 第102页
- 第103页
- 第104页
- 第105页
- 第106页
- 第107页
- 第108页
- 第109页
- 第110页
- 第111页
- 第112页
- 第113页
- 第114页
- 第115页
- 第116页
- 第117页
1. 在 $2x^{2}$,$1 - 2x = 0$,$ab$,$a > 0$,$0$,$\frac{1}{a}$,$\pi$ 中,是代数式的有(
A.$5$ 个
B.$4$ 个
C.$3$ 个
D.$2$ 个
A
)A.$5$ 个
B.$4$ 个
C.$3$ 个
D.$2$ 个
答案:
A
2. (2024·广安)下列对代数式 $-3x$ 的意义表述正确的是(
A.$-3$ 与 $x$ 的和
B.$-3$ 与 $x$ 的差
C.$-3$ 与 $x$ 的积
D.$-3$ 与 $x$ 的商
C
)A.$-3$ 与 $x$ 的和
B.$-3$ 与 $x$ 的差
C.$-3$ 与 $x$ 的积
D.$-3$ 与 $x$ 的商
答案:
C
3. (2024·合肥巢湖市期末)“微信”“支付宝”“云闪付”等移动支付由于快捷便利已成为大家平时生活中非常普遍的支付方式. 小明妈妈 $11$ 月移动支付账单为 $a$ 元,$12$ 月领取了政府发放的 $100$ 元购物消费券,实际支出比上月支出的 $2$ 倍还多 $10$ 元,那么 $12$ 月的支出可表示为(
A.$(2a - 10)$ 元
B.$(2a + 10)$ 元
C.$2(a - 10)$ 元
D.$2(a + 10)$ 元
B
)A.$(2a - 10)$ 元
B.$(2a + 10)$ 元
C.$2(a - 10)$ 元
D.$2(a + 10)$ 元
答案:
B
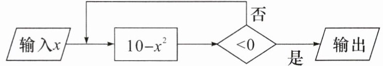
4. 按照如图所示的计算程序,若 $x = 2$,则输出的结果是(

A.$16$
B.$-16$
C.$26$
D.$-26$
D
)A.$16$
B.$-16$
C.$26$
D.$-26$
答案:
D
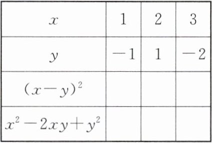
5. (1) 根据表中所给的 $x$,$y$ 的值,计算 $(x - y)^{2}$ 与 $x^{2} - 2xy + y^{2}$ 的值,并将计算结果填入表中:
(2) 结合(1)的计算结果,能够得出的结论为
(3) 利用得出的结论进行简便运算:$224^{2} - 2×224×24 + 24^{2}$。

(2) 结合(1)的计算结果,能够得出的结论为
(x-y)^2=x^2-2xy+y^2
(用含 $x$,$y$ 的式子表示)(3) 利用得出的结论进行简便运算:$224^{2} - 2×224×24 + 24^{2}$。
答案:
解:$(1)4 1 25 4 1 25 (2)(x-y)^2=x^2-2xy+y^2$
$(3)224^2-2×224×24+24^2=(224-24)^2=200^2=40000.$
$(3)224^2-2×224×24+24^2=(224-24)^2=200^2=40000.$
6. 下列说法中正确的是(
A.$\frac{1}{x}$ 是单项式
B.$-3x^{3}y$ 的次数是 $4$
C.$4ab$ 与 $4xy$ 是同类项
D.$\frac{x}{2}$ 不是整式
B
)A.$\frac{1}{x}$ 是单项式
B.$-3x^{3}y$ 的次数是 $4$
C.$4ab$ 与 $4xy$ 是同类项
D.$\frac{x}{2}$ 不是整式
答案:
B
7. 有下列三个代数式:$x^{4} + 3xy - 2xy^{4} - 5x^{3}y^{3} - 1$,$2025$,$-x$。
(1) 单项式的个数是
(2) $2025$ 的次数是
(3) $x^{4} + 3xy - 2xy^{4} - 5x^{3}y^{3} - 1$ 的二次项是
(4) $x^{4} + 3xy - 2xy^{4} - 5x^{3}y^{3} - 1$ 是
(1) 单项式的个数是
2
。(2) $2025$ 的次数是
0
,$-x$ 的系数是-1
。(3) $x^{4} + 3xy - 2xy^{4} - 5x^{3}y^{3} - 1$ 的二次项是
3xy
,常数项是-1
。(4) $x^{4} + 3xy - 2xy^{4} - 5x^{3}y^{3} - 1$ 是
六
次五
项式。
答案:
(1)2
(2)0 -1
(3)3xy -1
(4)六 五
(1)2
(2)0 -1
(3)3xy -1
(4)六 五
8. (2023·宜宾)下列计算正确的是(
A.$4a - 2a = 2$
B.$2ab + 3ba = 5ab$
C.$a + a^{2} = a^{3}$
D.$5x^{2}y - 3xy^{2} = 2xy$
B
)A.$4a - 2a = 2$
B.$2ab + 3ba = 5ab$
C.$a + a^{2} = a^{3}$
D.$5x^{2}y - 3xy^{2} = 2xy$
答案:
B
9. (2024·合肥蜀山区期中)合肥市某中学在 $2024$ 年冬至来临之前,带领七年级学生组织包饺子比赛. 七(1)班学生若每组 $8$ 人,分了 $m$ 组,余下 $4$ 人;若每组 $12$ 人可少分一组,且最后一组人数不满,则每组 $12$ 人时不满的那一组的人数为(
A.$28 - 4m$
B.$12 - 4m$
C.$16 - 4m$
D.$20 - 4m$
A
)A.$28 - 4m$
B.$12 - 4m$
C.$16 - 4m$
D.$20 - 4m$
答案:
A
10. 若 $2x - y = 3$,则代数式 $1 - 6x + 3y$ 的值为
-8
。
答案:
-8
查看更多完整答案,请扫码查看