第49页
- 第1页
- 第2页
- 第3页
- 第4页
- 第5页
- 第6页
- 第7页
- 第8页
- 第9页
- 第10页
- 第11页
- 第12页
- 第13页
- 第14页
- 第15页
- 第16页
- 第17页
- 第18页
- 第19页
- 第20页
- 第21页
- 第22页
- 第23页
- 第24页
- 第25页
- 第26页
- 第27页
- 第28页
- 第29页
- 第30页
- 第31页
- 第32页
- 第33页
- 第34页
- 第35页
- 第36页
- 第37页
- 第38页
- 第39页
- 第40页
- 第41页
- 第42页
- 第43页
- 第44页
- 第45页
- 第46页
- 第47页
- 第48页
- 第49页
- 第50页
- 第51页
- 第52页
- 第53页
- 第54页
- 第55页
- 第56页
- 第57页
- 第58页
- 第59页
- 第60页
- 第61页
- 第62页
- 第63页
- 第64页
- 第65页
- 第66页
- 第67页
- 第68页
- 第69页
- 第70页
- 第71页
- 第72页
- 第73页
- 第74页
- 第75页
- 第76页
- 第77页
- 第78页
- 第79页
- 第80页
1. 省略乘号写出下面各式。
$1×a=$
$0.8×m=$
$1×a=$
a
$x×5=$5x
$4.6×b=$4.6b
$0.8×m=$
0.8m
$200×c=$200c
$k×4×1.5=$6k
答案:
a 5x 4.6b 0.8m 200c 6k
2. 看图,在括号里填上含字母的式子。
(1)

这本书还剩(
(2)

$n$只兔子住(
(3)

现在有(
(4)

一共重(
(1)
这本书还剩(
y-72
)页。(2)
$n$只兔子住(
n÷5
)个兔屋。($n可以被5$整除)(3)
现在有(
x+45
)g。(4)
一共重(
3b
)kg。
答案:
(1)y-72
(2)n÷5
(3)x+45
(4)3b
(1)y-72
(2)n÷5
(3)x+45
(4)3b
3. 填空题。
(1)在一个直角三角形中,一个锐角是$b^{\circ}$,另一个锐角是
(2)观察下面的图形,完成表格。

|小鱼的条数|1|2|3|……|$x$|
|小棒的根数|6|
(3)随着科技的发展,VR技术已经进入了我们的日常生活,如果一副VR眼镜的售价是$m$元,那么$7$副VR眼镜的价钱是
(1)在一个直角三角形中,一个锐角是$b^{\circ}$,另一个锐角是
90-b
$^{\circ}$。(2)观察下面的图形,完成表格。
|小鱼的条数|1|2|3|……|$x$|
|小棒的根数|6|
12
|18
|……|6x
|(3)随着科技的发展,VR技术已经进入了我们的日常生活,如果一副VR眼镜的售价是$m$元,那么$7$副VR眼镜的价钱是
7m
元,当$m = 650$时,需要4550
元。
答案:
(1)90-b
(2)12 18 6x
(3)7m 4550
(1)90-b
(2)12 18 6x
(3)7m 4550
4. 王叔叔准备趁商场购物促销活动买一台标价为$2599$元的扫地机器人,他有一张“满$2000元减a$元”的优惠券。
(1)王叔叔买扫地机器人实际需要支付(
(2)当$a = 280$时,实际需要支付(
(3)当$a$等于(
(1)王叔叔买扫地机器人实际需要支付(
2599-a
)元。(2)当$a = 280$时,实际需要支付(
2319
)元。(3)当$a$等于(
500
)时,实际需要支付$2099$元。
答案:
(1)2599-a
(2)2319
(3)500
(1)2599-a
(2)2319
(3)500
5. 新趋势 学科融合 为了测试一种皮球的下落高度与弹跳高度的关系,通过试验,得到下面一组数据。(单位:cm)
|下落高度|40|54|71|120|145|
|弹跳高度|20|27|35.5|60|72.5|
(1)用$x$表示下落高度,则用含有字母的式子表示相应的弹跳高度为(
(2)当$x = 210$时,这种皮球的弹跳高度是(
|下落高度|40|54|71|120|145|
|弹跳高度|20|27|35.5|60|72.5|
(1)用$x$表示下落高度,则用含有字母的式子表示相应的弹跳高度为(
x÷2
)cm。(2)当$x = 210$时,这种皮球的弹跳高度是(
105
)cm。
答案:
(1)x÷2
(2)105 提示:
(1)观察表格中的数据,40÷20=2,54÷27=2,71÷35.5=2,120÷60=2,145÷72.5=2,可以发现下落高度是弹跳高度的2倍,所以用x表示下落高度,弹跳高度就是(x÷2)cm。
(2)把x=210代入得x÷2=210÷2=105(cm)。
(1)x÷2
(2)105 提示:
(1)观察表格中的数据,40÷20=2,54÷27=2,71÷35.5=2,120÷60=2,145÷72.5=2,可以发现下落高度是弹跳高度的2倍,所以用x表示下落高度,弹跳高度就是(x÷2)cm。
(2)把x=210代入得x÷2=210÷2=105(cm)。
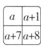
6. (选做题)仔细观察日历图,分析一下框内的数之间有什么关系。若设其中一个数为$a$,则下面框内的数应该怎么表示?填一填。

答案:
提示:观察题图
内的数据,符合上、下两个数相差7,左、右两个数相差1,左上和右下两个数相差8,右上和左下两个数相差6;观察题图
内的数据,符合中间的数和左、右两个数相差1,和上、下两个数相差7,据此填空即可。
查看更多完整答案,请扫码查看