第2页
- 第1页
- 第2页
- 第3页
- 第4页
- 第5页
- 第6页
- 第7页
- 第8页
- 第9页
- 第10页
- 第11页
- 第12页
- 第13页
- 第14页
- 第15页
- 第16页
- 第17页
- 第18页
- 第19页
- 第20页
- 第21页
- 第22页
- 第23页
- 第24页
- 第25页
- 第26页
- 第27页
- 第28页
- 第29页
- 第30页
- 第31页
- 第32页
- 第33页
- 第34页
- 第35页
- 第36页
- 第37页
- 第38页
- 第39页
- 第40页
- 第41页
- 第42页
- 第43页
- 第44页
- 第45页
- 第46页
- 第47页
- 第48页
- 第49页
- 第50页
- 第51页
- 第52页
- 第53页
- 第54页
- 第55页
- 第56页
- 第57页
- 第58页
- 第59页
- 第60页
- 第61页
- 第62页
- 第63页
- 第64页
- 第65页
- 第66页
- 第67页
- 第68页
- 第69页
- 第70页
- 第71页
- 第72页
- 第73页
- 第74页
- 第75页
- 第76页
- 第77页
- 第78页
- 第79页
- 第80页
1. 列竖式计算。
$0.62×300=$
$36×2.34=$
$0.62×300=$
186
$4.5×26=$117
$36×2.34=$
84.24
$650×0.58=$377
答案:
1. 186 117 84.24 377
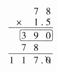
2. (名校期末真题)客车在高速公路上每小时行驶78km,1.5小时行驶多少千米?根据竖式,方框中的“390”表示(

A.5分钟行驶了390km
B.5分钟行驶了39km
C.0.5小时行驶了390km
D.0.5小时行驶了39km
D
)。A.5分钟行驶了390km
B.5分钟行驶了39km
C.0.5小时行驶了390km
D.0.5小时行驶了39km
答案:
D
3. 填空题。
(1)$4.8×76$可以写成(
(2)根据算式“$15×24= 360$”,在下面的括号里填上正确的得数。
$150×24= $(
$0.15×24= $(
(3)不计算,将下列各式按照从大到小的顺序排列是(
①$1.25×234$ ②$1.25×567$
③$0.125×234$ ④$0.125×567$
(4)新情境人文历史 杜仲是一种著名的植物药材,现特制一种“杜仲茶”,每剂茶需要杜仲4.5g,要制18剂“杜仲茶”,准备80g杜仲(
(1)$4.8×76$可以写成(
48
)$×76÷10$。(2)根据算式“$15×24= 360$”,在下面的括号里填上正确的得数。
$150×24= $(
3600
) $1.5×24= $(36
)$0.15×24= $(
3.6
) $1.5×240= $(360
)(3)不计算,将下列各式按照从大到小的顺序排列是(
②
)>(①
)>(④
)>(③
)。(填序号)①$1.25×234$ ②$1.25×567$
③$0.125×234$ ④$0.125×567$
(4)新情境人文历史 杜仲是一种著名的植物药材,现特制一种“杜仲茶”,每剂茶需要杜仲4.5g,要制18剂“杜仲茶”,准备80g杜仲(
不够
)。(填“够”或“不够”)
答案:
3.
(1)48
(2)3600 36 3.6 360
(3)② ① ④ ③
(4)不够
(1)48
(2)3600 36 3.6 360
(3)② ① ④ ③
(4)不够
4. 新情境数学文化 你知道古代的“一尺”约合现在的长度是多长吗?请根据表中信息算一算,填一填。

2.42
92.1
42
答案:
4. 2.42 92.1 42
5. 新情境新兴社会 超声波测距能帮助无人驾驶配送车自动避开障碍物行走。已知超声波在空气($15^{\circ}C$)中的传播速度是每秒340m,一辆无人驾驶配送车向前方发射超声波0.6秒后接收到反射回来的超声波,这辆无人驾驶配送车距离前方的障碍物有多远?(超声波往返过程中,无人驾驶配送车行驶的路程忽略不计)
答案:
5. 0.6×340=204(m) 204÷2=102(m)
答:这辆无人驾驶配送车距离前方的障碍物有102 m。
答:这辆无人驾驶配送车距离前方的障碍物有102 m。
6. 一桶啤酒连桶重52kg,卖出一半啤酒后,连桶重28kg。每千克啤酒卖5.5元,一桶啤酒可以卖多少钱?
答案:
6. 52-28=24(kg) 24×2×5.5=264(元)
答:一桶啤酒可以卖264元。
提示:一桶啤酒连桶重52 kg,卖出一半啤酒后,连桶重28 kg,所以半桶啤酒重52-28=24(kg),一桶啤酒重(24×2)kg。因为每千克啤酒卖5.5元,所以一桶啤酒可以卖24×2×5.5=264(元)。
答案
答:一桶啤酒可以卖264元。
提示:一桶啤酒连桶重52 kg,卖出一半啤酒后,连桶重28 kg,所以半桶啤酒重52-28=24(kg),一桶啤酒重(24×2)kg。因为每千克啤酒卖5.5元,所以一桶啤酒可以卖24×2×5.5=264(元)。
答案
7. (选做题)把2、5、7、9填在$□$里。
积最大:$□.□□×□$
积最小:$□.□□×□$
积最大:$□.□□×□$
积最小:$□.□□×□$
答案:
7.
提示:根据小数乘整数的计算方法,可以先看整数相乘的积,整数相乘的积越大,小数乘整数的积也越大,整数相乘的积越小,小数乘整数的积也越小。要使积最大,应尽量使一位数最大,一位数最大是9,那么剩下的3个数应从高位到低位按从大到小的顺序排,最大是7.52;要使积最小,应尽量使一位数最小,一位数最小是2,那么剩下的3个数应从高位到低位按从小到大的顺序排,最小是5.79。
7.
提示:根据小数乘整数的计算方法,可以先看整数相乘的积,整数相乘的积越大,小数乘整数的积也越大,整数相乘的积越小,小数乘整数的积也越小。要使积最大,应尽量使一位数最大,一位数最大是9,那么剩下的3个数应从高位到低位按从大到小的顺序排,最大是7.52;要使积最小,应尽量使一位数最小,一位数最小是2,那么剩下的3个数应从高位到低位按从小到大的顺序排,最小是5.79。
查看更多完整答案,请扫码查看