2025年暑假衔接七年级数学人教版延边人民出版社
注:目前有些书本章节名称可能整理的还不是很完善,但都是按照顺序排列的,请同学们按照顺序仔细查找。练习册 2025年暑假衔接七年级数学人教版延边人民出版社 答案主要是用来给同学们做完题方便对答案用的,请勿直接抄袭。
第55页
- 第1页
- 第2页
- 第3页
- 第4页
- 第5页
- 第6页
- 第7页
- 第8页
- 第9页
- 第10页
- 第11页
- 第12页
- 第13页
- 第14页
- 第15页
- 第16页
- 第17页
- 第18页
- 第19页
- 第20页
- 第21页
- 第22页
- 第23页
- 第24页
- 第25页
- 第26页
- 第27页
- 第28页
- 第29页
- 第30页
- 第31页
- 第32页
- 第33页
- 第34页
- 第35页
- 第36页
- 第37页
- 第38页
- 第39页
- 第40页
- 第41页
- 第42页
- 第43页
- 第44页
- 第45页
- 第46页
- 第47页
- 第48页
- 第49页
- 第50页
- 第51页
- 第52页
- 第53页
- 第54页
- 第55页
- 第56页
- 第57页
- 第58页
- 第59页
- 第60页
- 第61页
- 第62页
- 第63页
- 第64页
- 第65页
- 第66页
- 第67页
- 第68页
- 第69页
- 第70页
- 第71页
- 第72页
- 第73页
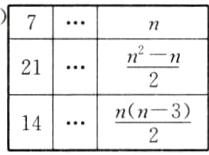
9. 阅读下列内容, 回答问题:
我们学习了点、线, 由点决定线段, 如图所示, 用 $n$ 表示点的个数, $S$ 表示线段的条数, 用 $k$ 表示多边形对角线的条数.

(1) 在下列表格的空白处填上适当的数或式;
| 点个数 $n$ | 2 | 3 | 4 | 5 | 6 | 7 | $\cdots$ | $n$ |
| --- | --- | --- | --- | --- | --- | --- | --- | --- |
| 线段条数 $S$ | 1 | 3 | 6 | 10 | 15 | | $\cdots$ | |
| 对角线条数 $k$ | 0 | 0 | 2 | 5 | 9 | | $\cdots$ | |
(2) 当 $n=15$ 时, $S=$____, $k=$____.
我们学习了点、线, 由点决定线段, 如图所示, 用 $n$ 表示点的个数, $S$ 表示线段的条数, 用 $k$ 表示多边形对角线的条数.
(1) 在下列表格的空白处填上适当的数或式;
| 点个数 $n$ | 2 | 3 | 4 | 5 | 6 | 7 | $\cdots$ | $n$ |
| --- | --- | --- | --- | --- | --- | --- | --- | --- |
| 线段条数 $S$ | 1 | 3 | 6 | 10 | 15 | | $\cdots$ | |
| 对角线条数 $k$ | 0 | 0 | 2 | 5 | 9 | | $\cdots$ | |
(2) 当 $n=15$ 时, $S=$____, $k=$____.
答案:
(1)
(2) 105 90
(1)
(2) 105 90
查看更多完整答案,请扫码查看