第4页
- 第1页
- 第2页
- 第3页
- 第4页
- 第5页
- 第6页
- 第7页
- 第8页
- 第9页
- 第10页
- 第11页
- 第12页
- 第13页
- 第14页
- 第15页
- 第16页
- 第17页
- 第18页
- 第19页
- 第20页
- 第21页
- 第22页
- 第23页
- 第24页
- 第25页
- 第26页
- 第27页
- 第28页
- 第29页
- 第30页
- 第31页
- 第32页
- 第33页
- 第34页
- 第35页
- 第36页
- 第37页
- 第38页
- 第39页
- 第40页
- 第41页
- 第42页
- 第43页
- 第44页
- 第45页
- 第46页
- 第47页
- 第48页
- 第49页
- 第50页
- 第51页
- 第52页
- 第53页
- 第54页
- 第55页
- 第56页
- 第57页
- 第58页
- 第59页
- 第60页
- 第61页
- 第62页
- 第63页
- 第64页
- 第65页
- 第66页
- 第67页
- 第68页
- 第69页
- 第70页
- 第71页
- 第72页
- 第73页
- 第74页
- 第75页
- 第76页
- 第77页
- 第78页
- 第79页
- 第80页
- 第81页
- 第82页
- 第83页
- 第84页
- 第85页
- 第86页
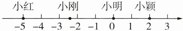
12 已知小红、小刚、小明、小颖四人自南向北依次站在同一直线上。若把直线看作数轴,四人所在的位置如图所示,则下列描述不正确的是 (

A.数轴是以小明所在的位置为原点
B.数轴采用向北为正方向
C.小刚所在的位置对应的数有可能是 - $\frac{5}{3}$
D.小颖和小红间的距离为 7
C
)A.数轴是以小明所在的位置为原点
B.数轴采用向北为正方向
C.小刚所在的位置对应的数有可能是 - $\frac{5}{3}$
D.小颖和小红间的距离为 7
答案:
C 由题图可知,小明所在的位置表示数0,故选项A正确,不符合题意;由南向北表示的数依次是负数,0,正数,所以向北为正方向,故选项B正确,不符合题意;小刚所在的位置对应的数在-3与-2之间,而$-\frac{5}{3}$在-2与-1之间,故选项C错误,符合题意;由题图可知,小颖和小红间的距离为7,故选项D正确,不符合题意.
13 [2025 日照经开区实验学校月考]将一把刻度尺按如图所示的方式放在数轴上(数轴的单位长度是 1 cm),刻度尺上的“0 cm”和“8 cm”分别对应数轴上的 -3.6 和 x,则 x 的值为 (

A.4.2
B.4.3
C.4.4
D.4.5
C
)A.4.2
B.4.3
C.4.4
D.4.5
答案:
C 根据题意,得$x=8-3.6=4.4$.
14 [2025 保定段考]点 A 为数轴上一点,距离原点 4 个单位长度,一只蚂蚁从 A 点出发,向右爬了 2 个单位长度到达 B 点,则点 B 表示的数是
6或-2
。
答案:
6或-2 因为点A为数轴上一点,距离原点4个单位长度,所以点A表示的数是4或-4.又因为蚂蚁从A点出发,向右爬了2个单位长度到达B点,所以点B表示的数是6或-2.
15 [教材 P12 习题 T3 变式]如图,数轴上有三点 A,B,C。请回答:

(1)点 A,B,C 所表示的数各是多少?
(2)现在把数轴的原点取在点 B 处,其余都不变,则点 A,B,C 所表示的数各是多少?
追问 1:若要使点 A,C 都移动到 B 点,则点 A,C 应怎样运动?
追问 2:怎样移动 A,B,C 中的两个点,才能使三个点所表示的数相同,有哪几种移动方法?
(1)点 A,B,C 所表示的数各是多少?
(2)现在把数轴的原点取在点 B 处,其余都不变,则点 A,B,C 所表示的数各是多少?
追问 1:若要使点 A,C 都移动到 B 点,则点 A,C 应怎样运动?
追问 2:怎样移动 A,B,C 中的两个点,才能使三个点所表示的数相同,有哪几种移动方法?
答案:
解:
(1)由题中数轴可知,点A所表示的数是-3,点B所表示的数是-1,点C所表示的数是2.
(2)如图,若点B为原点,则点A所表示的数是-2,点B所表示的数是0,点C所表示的数是3.
-4 -3 -2 -1 0 1 2 3 4 5 6
追问1:若要使点A,点C都移动到B点,则点A应向右移动2个单位长度,点C应向左移动3个单位长度.
追问2:共3种移动方法.
①移动点B,点C,点B向左移动2个单位长度,点C向左移动5个单位长度;
②移动点A,点C,点A向右移动2个单位长度,点C向左移动3个单位长度;
③移动点A,点B,点A向右移动5个单位长度,点B向右移动3个单位长度.
(1)由题中数轴可知,点A所表示的数是-3,点B所表示的数是-1,点C所表示的数是2.
(2)如图,若点B为原点,则点A所表示的数是-2,点B所表示的数是0,点C所表示的数是3.
-4 -3 -2 -1 0 1 2 3 4 5 6
追问1:若要使点A,点C都移动到B点,则点A应向右移动2个单位长度,点C应向左移动3个单位长度.
追问2:共3种移动方法.
①移动点B,点C,点B向左移动2个单位长度,点C向左移动5个单位长度;
②移动点A,点C,点A向右移动2个单位长度,点C向左移动3个单位长度;
③移动点A,点B,点A向右移动5个单位长度,点B向右移动3个单位长度.
16 [几何直观][2025 开封龙亭区期中]如图,已知在纸面上有一数轴。
操作一:
(1)折叠纸面,使表示 1 的点与表示 -1 的点重合,则表示 -2 的点与表示
操作二:
(2)折叠纸面,使表示 -1 的点与表示 3 的点重合,回答下列问题。
①表示 5 的点与表示
②若数轴上 A,B 两点之间的距离为 9(点 A 在点 B 的左侧),且折叠后 A,B 两点重合,则 A,B 两点表示的数分别是

操作一:
(1)折叠纸面,使表示 1 的点与表示 -1 的点重合,则表示 -2 的点与表示
2
的点重合。操作二:
(2)折叠纸面,使表示 -1 的点与表示 3 的点重合,回答下列问题。
①表示 5 的点与表示
-3
的点重合;②若数轴上 A,B 两点之间的距离为 9(点 A 在点 B 的左侧),且折叠后 A,B 两点重合,则 A,B 两点表示的数分别是
-3.5,5.5
。
答案:
解:
(1)2
因为表示1的点与表示-1的点重合,所以折痕经过的数轴上的点为表示0的点,所以表示-2的点与表示2的点重合.
(2)①-3
因为表示-1的点与表示3的点重合,所以折痕经过的数轴上的点为表示1的点,所以表示5的点与表示-3的点重合.
②-3.5,5.5
因为A,B两点之间的距离为9,且折叠后A,B两点重合,所以A,B两点到折痕经过的数轴上的点的距离均为4.5.由题意,知折痕经过的数轴上的点为表示1的点,且点A在点B的左侧,所以点A表示的数为-3.5,点B表示的数为5.5.
(1)2
因为表示1的点与表示-1的点重合,所以折痕经过的数轴上的点为表示0的点,所以表示-2的点与表示2的点重合.
(2)①-3
因为表示-1的点与表示3的点重合,所以折痕经过的数轴上的点为表示1的点,所以表示5的点与表示-3的点重合.
②-3.5,5.5
因为A,B两点之间的距离为9,且折叠后A,B两点重合,所以A,B两点到折痕经过的数轴上的点的距离均为4.5.由题意,知折痕经过的数轴上的点为表示1的点,且点A在点B的左侧,所以点A表示的数为-3.5,点B表示的数为5.5.
查看更多完整答案,请扫码查看