第22页
- 第1页
- 第2页
- 第3页
- 第4页
- 第5页
- 第6页
- 第7页
- 第8页
- 第9页
- 第10页
- 第11页
- 第12页
- 第13页
- 第14页
- 第15页
- 第16页
- 第17页
- 第18页
- 第19页
- 第20页
- 第21页
- 第22页
- 第23页
- 第24页
- 第25页
- 第26页
- 第27页
- 第28页
- 第29页
- 第30页
- 第31页
- 第32页
- 第33页
- 第34页
- 第35页
- 第36页
- 第37页
- 第38页
- 第39页
- 第40页
- 第41页
- 第42页
- 第43页
- 第44页
- 第45页
- 第46页
- 第47页
- 第48页
- 第49页
- 第50页
- 第51页
- 第52页
- 第53页
- 第54页
- 第55页
- 第56页
- 第57页
- 第58页
- 第59页
- 第60页
- 第61页
- 第62页
- 第63页
- 第64页
- 第65页
- 第66页
- 第67页
- 第68页
- 第69页
- 第70页
- 第71页
- 第72页
- 第73页
- 第74页
- 第75页
- 第76页
- 第77页
- 第78页
- 第79页
- 第80页
- 第81页
- 第82页
- 第83页
- 第84页
- 第85页
- 第86页
12. 若规定乘积为 -1 的两个数互为负倒数,则 -2 的负倒数是(
A.-2
B.$-\frac{1}{2}$
C.$\frac{1}{2}$
D.2
C
)A.-2
B.$-\frac{1}{2}$
C.$\frac{1}{2}$
D.2
答案:
C
13. [2025 汕尾期末]有理数 a,b 在数轴上的位置如图所示,则下列结论正确的是(

A.$b - a > 0$
B.$a + b > 0$
C.$ab > 0$
D.$\frac{a}{b} > 0$
A
)A.$b - a > 0$
B.$a + b > 0$
C.$ab > 0$
D.$\frac{a}{b} > 0$
答案:
A 根据题中数轴可得,$a<-1<0<b<1$且$|a|>|b|$,所以$b-a>0$,$a+b<0$,$ab<0$,$\frac{a}{b}<0$.
14. 若 a,b 均是非 0 的自然数,则$\frac{1}{a}÷b$
=
$\frac{1}{b}÷a$。(填“>”“<”或“=”)
答案:
= $\frac{1}{a}÷ b=\frac{1}{a}×\frac{1}{b}=\frac{1}{ab}$,$\frac{1}{b}÷ a=\frac{1}{b}×\frac{1}{a}=\frac{1}{ab}$,即两者相等.
15. [2025 南京鼓楼区求真中学月考]从 -5,-3,-1,2,4 中任取 2 个数,所得积的最大值记为 a,所得商的最小值记为 b,则$\frac{a}{b}$的值为
$-\frac{15}{4}$
。
答案:
$-\frac{15}{4}$ 易知最大值$a=-5×(-3)=15$,最小值$b=\frac{4}{-1}=-4$,所以$\frac{a}{b}=\frac{15}{-4}=-\frac{15}{4}$.
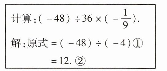
16. [新趋势·过程性学习][教材 P53 练习 T3 变式]下面是小胡同学的解题过程:

(1) 上述解题过程,从第
(2) 请你写出正确的解答过程。
(1) 上述解题过程,从第
①
步开始出错(填序号),原因是没有按从左到右的顺序计算
;(2) 请你写出正确的解答过程。
解:$(-48)÷36×(-\frac{1}{9})=-\frac{4}{3}×(-\frac{1}{9})=\frac{4}{27}$.
答案:
(1)① 没有按从左到右的顺序计算
(2)请你写出正确的解答过程。解:$(-48)÷36×(-\frac{1}{9})=-\frac{4}{3}×(-\frac{1}{9})=\frac{4}{27}$.
(1)① 没有按从左到右的顺序计算
(2)请你写出正确的解答过程。解:$(-48)÷36×(-\frac{1}{9})=-\frac{4}{3}×(-\frac{1}{9})=\frac{4}{27}$.
17. 计算:$(-5)÷(-1\frac{2}{7})÷1\frac{1}{4}×(-2\frac{1}{4})÷7$。
答案:
解:$(-5)÷(-1\frac{2}{7})÷1\frac{1}{4}×(-2\frac{1}{4})÷7=-5×\frac{7}{9}×\frac{4}{5}×\frac{9}{4}×\frac{1}{7}=-1$.
18. [2025 长沙开福区立信中学月考]已知 a,b 互为倒数,c,d 互为相反数(c,d 均不为 0),$|m| = 3$。
(1) $ab = $
(2) 求$\frac{m}{3} + ab + \frac{c + d}{4m} - \frac{c}{d}$的值。
(1) $ab = $
1
,$c + d = $0
,$m = $±3
,$\frac{c}{d} = $-1
;(2) 求$\frac{m}{3} + ab + \frac{c + d}{4m} - \frac{c}{d}$的值。
解:当$m=3$时,$\frac{m}{3}+ab+\frac{c+d}{4m}-\frac{c}{d}=1+1+0-(-1)=3$;当$m=-3$时,$\frac{m}{3}+ab+\frac{c+d}{4m}-\frac{c}{d}=-1+1+0-(-1)=1$
答案:
(1)1 0 ±3 -1
(2)求$\frac{m}{3} + ab + \frac{c + d}{4m} - \frac{c}{d}$的值。解:当$m=3$时,$\frac{m}{3}+ab+\frac{c+d}{4m}-\frac{c}{d}=1+1+0-(-1)=3$;当$m=-3$时,$\frac{m}{3}+ab+\frac{c+d}{4m}-\frac{c}{d}=-1+1+0-(-1)=1$.
(1)1 0 ±3 -1
(2)求$\frac{m}{3} + ab + \frac{c + d}{4m} - \frac{c}{d}$的值。解:当$m=3$时,$\frac{m}{3}+ab+\frac{c+d}{4m}-\frac{c}{d}=1+1+0-(-1)=3$;当$m=-3$时,$\frac{m}{3}+ab+\frac{c+d}{4m}-\frac{c}{d}=-1+1+0-(-1)=1$.
19. [2025 安阳期中]某景区山脚的地面温度为$18^{\circ}C$,据气象观测资料表明,该地的海拔每增加 1 km,气温大约下降$6^{\circ}C$。
(1) 求海拔 3 km 处的温度;
(2) 若山上某处的气温为$-12^{\circ}C$,求此处的海拔。
(1) 求海拔 3 km 处的温度;
(2) 若山上某处的气温为$-12^{\circ}C$,求此处的海拔。
答案:
(1)求海拔 3 km 处的温度;解:根据题意,得海拔3 km处的温度是$18+(-6)×3=0(^{\circ}C)$.
(2)若山上某处的气温为$-12^{\circ}C$,求此处的海拔。解:此处的海拔为$[(-12)-18]÷(-6)=5(km)$.
(1)求海拔 3 km 处的温度;解:根据题意,得海拔3 km处的温度是$18+(-6)×3=0(^{\circ}C)$.
(2)若山上某处的气温为$-12^{\circ}C$,求此处的海拔。解:此处的海拔为$[(-12)-18]÷(-6)=5(km)$.
20. [运算能力]已知$|x| = \begin{cases} x(x > 0), \\ 0(x = 0), \\ -x(x < 0), \end{cases} 即当x < 0$时,$\frac{x}{|x|} = \frac{x}{-x} = -1$。
(1) 已知 a,b 是有理数。
① 当$a > 0$,$b > 0$时,$\frac{a}{|a|} + \frac{b}{|b|} = $
② 当$a > 0$,$b < 0$时,$\frac{a}{|a|} + \frac{b}{|b|} = $
③ 当$a < 0$,$b < 0$时,$\frac{a}{|a|} + \frac{b}{|b|} = $
(2) 已知 a,b,c 是有理数,当$abc < 0$时,求$\frac{a}{|a|} + \frac{b}{|b|} + \frac{c}{|c|}$的值。
(1) 已知 a,b 是有理数。
① 当$a > 0$,$b > 0$时,$\frac{a}{|a|} + \frac{b}{|b|} = $
2
;② 当$a > 0$,$b < 0$时,$\frac{a}{|a|} + \frac{b}{|b|} = $
0
;③ 当$a < 0$,$b < 0$时,$\frac{a}{|a|} + \frac{b}{|b|} = $
-2
。(2) 已知 a,b,c 是有理数,当$abc < 0$时,求$\frac{a}{|a|} + \frac{b}{|b|} + \frac{c}{|c|}$的值。
当$abc<0$时,分以下情况讨论:①当$a<0,b<0,c<0$时,$\frac{a}{|a|}+\frac{b}{|b|}+\frac{c}{|c|}=\frac{a}{-a}+\frac{b}{-b}+\frac{c}{-c}=-1-1-1=-3$。②当$a<0,b>0,c>0$时,$\frac{a}{|a|}+\frac{b}{|b|}+\frac{c}{|c|}=\frac{a}{-a}+\frac{b}{b}+\frac{c}{c}=-1+1+1=1$。同理,当$a>0,b<0,c>0$或$a>0,b>0,c<0$时,$\frac{a}{|a|}+\frac{b}{|b|}+\frac{c}{|c|}=1$。综上,$\frac{a}{|a|}+\frac{b}{|b|}+\frac{c}{|c|}$的值为-3或1。
答案:
解题思路:
(2)当$abc<0$时,$a,b,c$中有1个或有3个为负数,即分如下情况讨论:①$a<0,b<0,c<0$,②$a<0,b>0,c>0$(或$a>0,b<0,c>0$或$a>0,b>0,c<0$)解:
(1)①2;②0;③-2①因为$a>0,b>0$,所以$|a|=a$,$|b|=b$,所以$\frac{a}{|a|}+\frac{b}{|b|}=\frac{a}{a}+\frac{b}{b}=1+1=2$.②因为$a>0,b<0$,所以$|a|=a$,$|b|=-b$,所以$\frac{a}{|a|}+\frac{b}{|b|}=\frac{a}{a}+\frac{b}{-b}=1-1=0$.③因为$a<0,b<0$,所以$|a|=-a$,$|b|=-b$,所以$\frac{a}{|a|}+\frac{b}{|b|}=\frac{a}{-a}+\frac{b}{-b}=-1-1=-2$.
(2)当$abc<0$时,分以下情况讨论:①当$a<0,b<0,c<0$时,$\frac{a}{|a|}+\frac{b}{|b|}+\frac{c}{|c|}=\frac{a}{-a}+\frac{b}{-b}+\frac{c}{-c}=-1-1-1=-3$.②当$a<0,b>0,c>0$时,$\frac{a}{|a|}+\frac{b}{|b|}+\frac{c}{|c|}=\frac{a}{-a}+\frac{b}{b}+\frac{c}{c}=-1+1+1=1$.同理,当$a>0,b<0,c>0$或$a>0,b>0,c<0$时,$\frac{a}{|a|}+\frac{b}{|b|}+\frac{c}{|c|}=1$.综上,$\frac{a}{|a|}+\frac{b}{|b|}+\frac{c}{|c|}$的值为-3或1.
(2)当$abc<0$时,$a,b,c$中有1个或有3个为负数,即分如下情况讨论:①$a<0,b<0,c<0$,②$a<0,b>0,c>0$(或$a>0,b<0,c>0$或$a>0,b>0,c<0$)解:
(1)①2;②0;③-2①因为$a>0,b>0$,所以$|a|=a$,$|b|=b$,所以$\frac{a}{|a|}+\frac{b}{|b|}=\frac{a}{a}+\frac{b}{b}=1+1=2$.②因为$a>0,b<0$,所以$|a|=a$,$|b|=-b$,所以$\frac{a}{|a|}+\frac{b}{|b|}=\frac{a}{a}+\frac{b}{-b}=1-1=0$.③因为$a<0,b<0$,所以$|a|=-a$,$|b|=-b$,所以$\frac{a}{|a|}+\frac{b}{|b|}=\frac{a}{-a}+\frac{b}{-b}=-1-1=-2$.
(2)当$abc<0$时,分以下情况讨论:①当$a<0,b<0,c<0$时,$\frac{a}{|a|}+\frac{b}{|b|}+\frac{c}{|c|}=\frac{a}{-a}+\frac{b}{-b}+\frac{c}{-c}=-1-1-1=-3$.②当$a<0,b>0,c>0$时,$\frac{a}{|a|}+\frac{b}{|b|}+\frac{c}{|c|}=\frac{a}{-a}+\frac{b}{b}+\frac{c}{c}=-1+1+1=1$.同理,当$a>0,b<0,c>0$或$a>0,b>0,c<0$时,$\frac{a}{|a|}+\frac{b}{|b|}+\frac{c}{|c|}=1$.综上,$\frac{a}{|a|}+\frac{b}{|b|}+\frac{c}{|c|}$的值为-3或1.
[回顾与思考]有理数的加法与减法、乘法与除法各有什么关系?有理数的混合运算都能转化为加法与乘法运算吗?
答案:
有理数的减法是加法的逆运算,除法是乘法的逆运算;能转化为加法与乘法运算。
查看更多完整答案,请扫码查看