第87页
- 第1页
- 第2页
- 第3页
- 第4页
- 第5页
- 第6页
- 第7页
- 第8页
- 第9页
- 第10页
- 第11页
- 第12页
- 第13页
- 第14页
- 第15页
- 第16页
- 第17页
- 第18页
- 第19页
- 第20页
- 第21页
- 第22页
- 第23页
- 第24页
- 第25页
- 第26页
- 第27页
- 第28页
- 第29页
- 第30页
- 第31页
- 第32页
- 第33页
- 第34页
- 第35页
- 第36页
- 第37页
- 第38页
- 第39页
- 第40页
- 第41页
- 第42页
- 第43页
- 第44页
- 第45页
- 第46页
- 第47页
- 第48页
- 第49页
- 第50页
- 第51页
- 第52页
- 第53页
- 第54页
- 第55页
- 第56页
- 第57页
- 第58页
- 第59页
- 第60页
- 第61页
- 第62页
- 第63页
- 第64页
- 第65页
- 第66页
- 第67页
- 第68页
- 第69页
- 第70页
- 第71页
- 第72页
- 第73页
- 第74页
- 第75页
- 第76页
- 第77页
- 第78页
- 第79页
- 第80页
- 第81页
- 第82页
- 第83页
- 第84页
- 第85页
- 第86页
- 第87页
- 第88页
- 第89页
- 第90页
- 第91页
- 第92页
- 第93页
- 第94页
- 第95页
- 第96页
- 第97页
- 第98页
- 第99页
- 第100页
1. 去分母的方法:依据等式的性质 2,方程两边的每一项都要乘分母的
2. 解一元一次方程的一般步骤包括:
最小公倍数
,将分母去掉。2. 解一元一次方程的一般步骤包括:
去分母
、去括号
、移项
、合并同类项
、系数化为1
。
答案:
1. 最小公倍数 2. 去分母 去括号 移项 合并同类项 系数化为1
【例 1】解方程:$\frac{x + 1}{2} = 3 - \frac{x - 1}{3}$。
【名师点拨】方程两边要乘 2 与 3 的最小公倍数 6 来去分母,要避免各项漏乘公分母。
【学生解答】
【名师点拨】方程两边要乘 2 与 3 的最小公倍数 6 来去分母,要避免各项漏乘公分母。
【学生解答】
答案:
解:去分母(方程两边乘6),得$3(x+1)=3×6-2(x-1)$.去括号,得$3x+3=18-2x +2$.移项,得$3x+2x=18+2-3$.合并同类项,得$5x=17$.系数化为1,得$x=\frac{17}{5}$.
【例 2】某学校七年级四个班为灾区捐款,七(1)班捐的钱数是四个班捐款总和的$\frac{1}{6}$;七(2)班捐的钱数是四个班捐款总和的$\frac{1}{3}$;七(3)班捐的钱数是四个班捐款总和的$\frac{1}{4}$;七(4)班捐了 120 元。求这四个班捐款的总和。
【名师点拨】根据四个班捐款总数列方程即可。
【学生解答】
【名师点拨】根据四个班捐款总数列方程即可。
【学生解答】
答案:
解:设这四个班捐款的总和为x元.根据题意,得$\frac{1}{6}x+\frac{1}{3}x+\frac{1}{4}x+120=x$.解得$x=480$.答:这四个班捐款的总和为480元.
1. 解方程$\frac{x + 1}{2} + \frac{x + 4}{3} = \frac{6}{5}$时,为了去分母应将方程两边同乘(
A.30
B.15
C.10
D.6
A
)A.30
B.15
C.10
D.6
答案:
A
2. 解下列方程:
(1)$\frac{2x - 1}{6} = \frac{5x + 1}{8}$;
(2)$\frac{x - 3}{2} - \frac{4x + 1}{5} = 1$。
(1)$\frac{2x - 1}{6} = \frac{5x + 1}{8}$;
(2)$\frac{x - 3}{2} - \frac{4x + 1}{5} = 1$。
答案:
(1)去分母(方程两边乘24),得$4(2x-1)=3(5x+1)$.去括号,得$8x-4=15x +3$.移项,得$8x-15x=3+4$.合并同类项,得$-7x=7$.系数化为1,得$x=-1$;
(2)去分母(方程两边乘10),得$5(x-3)-2(4x+1)=10$.去括号,得$5x-15-8x-2=10$.移项、合并同类项,得$-3x=27$.系数化为1,得$x=-9$.
(1)去分母(方程两边乘24),得$4(2x-1)=3(5x+1)$.去括号,得$8x-4=15x +3$.移项,得$8x-15x=3+4$.合并同类项,得$-7x=7$.系数化为1,得$x=-1$;
(2)去分母(方程两边乘10),得$5(x-3)-2(4x+1)=10$.去括号,得$5x-15-8x-2=10$.移项、合并同类项,得$-3x=27$.系数化为1,得$x=-9$.
3. 某果园$\frac{1}{2}$的面积种植了苹果树,$\frac{1}{4}$的面积种植了葡萄树,其余 4 公顷地种植了桃树,求这个果园的面积。
答案:
解设这个果园的面积为x公顷.根据题意,得$\frac{1}{2}x+\frac{1}{4}x+4=x$.解得$x=16$.答:这个果园的面积为16公顷.
!易错点 解方程去分母时,漏乘不含分母的项或忽视分数线的“括号”作用而致错
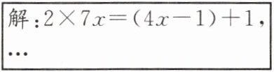
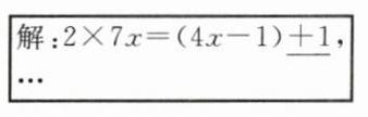
4. 新考向 过程性学习 小红在解方程$\frac{7x}{3} = \frac{4x - 1}{6} + 1$时,第一步出现了错误:
解:$2×7x = (4x - 1) + 1$,

(1)请在相应的方框内用横线划出小红的错误处;
(2)写出你的解答过程。
4. 新考向 过程性学习 小红在解方程$\frac{7x}{3} = \frac{4x - 1}{6} + 1$时,第一步出现了错误:
解:$2×7x = (4x - 1) + 1$,
(1)请在相应的方框内用横线划出小红的错误处;
(2)写出你的解答过程。
答案:
解:
(1)如图

(2)去分母(方程两边乘6),得$2×7x=(4x-1)+6$.去括号,得$14x=4x-1+6$.移项,得$14x-4x=-1+6$.合并同类项,得$10x=5$.系数化为1,得$x=\frac{1}{2}$.
解:
(1)如图
(2)去分母(方程两边乘6),得$2×7x=(4x-1)+6$.去括号,得$14x=4x-1+6$.移项,得$14x-4x=-1+6$.合并同类项,得$10x=5$.系数化为1,得$x=\frac{1}{2}$.
查看更多完整答案,请扫码查看