2025年暑假乐园现代教育出版社八年级数学人教版
注:目前有些书本章节名称可能整理的还不是很完善,但都是按照顺序排列的,请同学们按照顺序仔细查找。练习册 2025年暑假乐园现代教育出版社八年级数学人教版 答案主要是用来给同学们做完题方便对答案用的,请勿直接抄袭。
第61页
- 第1页
- 第2页
- 第3页
- 第4页
- 第5页
- 第6页
- 第7页
- 第8页
- 第9页
- 第10页
- 第11页
- 第12页
- 第13页
- 第14页
- 第15页
- 第16页
- 第17页
- 第18页
- 第19页
- 第20页
- 第21页
- 第22页
- 第23页
- 第24页
- 第25页
- 第26页
- 第27页
- 第28页
- 第29页
- 第30页
- 第31页
- 第32页
- 第33页
- 第34页
- 第35页
- 第36页
- 第37页
- 第38页
- 第39页
- 第40页
- 第41页
- 第42页
- 第43页
- 第44页
- 第45页
- 第46页
- 第47页
- 第48页
- 第49页
- 第50页
- 第51页
- 第52页
- 第53页
- 第54页
- 第55页
- 第56页
- 第57页
- 第58页
- 第59页
- 第60页
- 第61页
- 第62页
- 第63页
- 第64页
- 第65页
- 第66页
- 第67页
- 第68页
- 第69页
- 第70页
- 第71页
- 第72页
- 第73页
- 第74页
- 第75页
- 第76页
- 第77页
- 第78页
- 第79页
- 第80页
- 第81页
- 第82页
- 第83页
- 第84页
1. 下列函数关系中,是正比例函数的是 (
A. 长方形面积固定时,长和宽的关系
B. 正方形面积和边长之间的关系
C. 三角形的面积一定时,底边和底边上的高之间的关系
D. 匀速运动中,速度固定时,路程和时间的关系
D
)A. 长方形面积固定时,长和宽的关系
B. 正方形面积和边长之间的关系
C. 三角形的面积一定时,底边和底边上的高之间的关系
D. 匀速运动中,速度固定时,路程和时间的关系
答案:
D
2. 有下列函数:①$y=-x$;②$y=2x+11$;③$y=x^{2}$;④$y=\frac {1}{x}$. 其中一次函数的个数是 (
A. 1
B. 2
C. 3
D. 4
B
)A. 1
B. 2
C. 3
D. 4
答案:
B
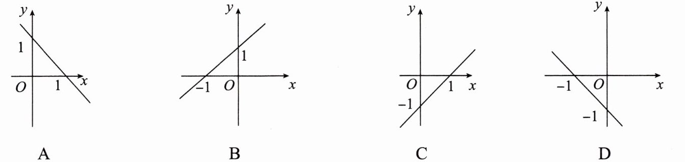
3. 下列图象中是一次函数$y=-x+1$的图象的是 (

A
)
答案:
A
4. 对于函数$y=-3x+1$,下列结论正确的是 (
A. 它的图象必经过点$(1,3)$
B. 它的图象经过第一、二、四象限
C. 当$x>0$时,$y<0$
D. $y$的值随$x$值的增大而增大
B
)A. 它的图象必经过点$(1,3)$
B. 它的图象经过第一、二、四象限
C. 当$x>0$时,$y<0$
D. $y$的值随$x$值的增大而增大
答案:
B
查看更多完整答案,请扫码查看