2025年暑假乐园现代教育出版社八年级数学人教版
注:目前有些书本章节名称可能整理的还不是很完善,但都是按照顺序排列的,请同学们按照顺序仔细查找。练习册 2025年暑假乐园现代教育出版社八年级数学人教版 答案主要是用来给同学们做完题方便对答案用的,请勿直接抄袭。
第28页
- 第1页
- 第2页
- 第3页
- 第4页
- 第5页
- 第6页
- 第7页
- 第8页
- 第9页
- 第10页
- 第11页
- 第12页
- 第13页
- 第14页
- 第15页
- 第16页
- 第17页
- 第18页
- 第19页
- 第20页
- 第21页
- 第22页
- 第23页
- 第24页
- 第25页
- 第26页
- 第27页
- 第28页
- 第29页
- 第30页
- 第31页
- 第32页
- 第33页
- 第34页
- 第35页
- 第36页
- 第37页
- 第38页
- 第39页
- 第40页
- 第41页
- 第42页
- 第43页
- 第44页
- 第45页
- 第46页
- 第47页
- 第48页
- 第49页
- 第50页
- 第51页
- 第52页
- 第53页
- 第54页
- 第55页
- 第56页
- 第57页
- 第58页
- 第59页
- 第60页
- 第61页
- 第62页
- 第63页
- 第64页
- 第65页
- 第66页
- 第67页
- 第68页
- 第69页
- 第70页
- 第71页
- 第72页
- 第73页
- 第74页
- 第75页
- 第76页
- 第77页
- 第78页
- 第79页
- 第80页
- 第81页
- 第82页
- 第83页
- 第84页
学习了二次根式以后,你知道海伦公式与秦九韶公式吗?下面我们一起去了解一下吧!
我们知道,如果一个三角形的三边长固定,那么这个三角形就固定.若给出任意一个三角形的三边长,你能求出它的面积吗?翻阅了各种资料后可知,古希腊的几何学家海伦(Heron)在数学史上以解决几何测量问题而闻名,在他的著作《量度论》中,给出了一个公式:如果一个三角形的三边长分别为a,b,c,那么记三角形的面积为$S=\sqrt {p(p-a)(p-b)(p-c)}$,其中$p=\frac {a+b+c}{2}$.这一公式后来被称为海伦公式.
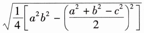
其实在我国古代算学专著《九章算术》中,已经有求三角形面积的公式——“底乘高的一半”.但在实际丈量三角形土地面积时,要找出高来并非易事,所以古人想到了三角形的三条边,这样求三角形的面积就方便多了.但是怎样根据三边的长度来求三角形的面积呢?直到南宋,中国著名的数学家秦九韶提出了“三斜求积术”.他把三角形的三条边分别称为小斜、中斜和大斜,“术”即方法,化为公式如下:$S=\sqrt {\frac {1}{4}[a^{2}b^{2}-(\frac {a^{2}+b^{2}-c^{2}}{2})^{2}]}$(a,b,c分别为小斜、中斜、大斜).
秦九韶公式与海伦公式等价.对比这两个公式,我们发现海伦公式形式美观,便于记忆;但是如果一个三角形的三边长是无理数的时候,还是用秦九韶公式处理比较方便.聪明的你能够从秦九韶公式推导出海伦公式来吗?
能从秦九韶公式推导出海伦公式,推导过程如下:
$\begin{aligned}S&=\sqrt{\frac{1}{4}[a^{2}b^{2}-(\frac{a^{2}+b^{2}-c^{2}}{2})^{2}]}\\&=\sqrt{\frac{1}{4}(ab+\frac{a^{2}+b^{2}-c^{2}}{2})(ab-\frac{a^{2}+b^{2}-c^{2}}{2})}\\&=\sqrt{\frac{1}{16}(2ab+a^{2}+b^{2}-c^{2})(2ab - a^{2}-b^{2}+c^{2})}\\&=\sqrt{\frac{1}{16}[(a + b)^{2}-c^{2}][c^{2}-(a - b)^{2}]}\\&=\sqrt{\frac{1}{16}(a + b + c)(a + b - c)(c + a - b)(c - a + b)}\\\end{aligned}$
因为$p=\frac{a + b + c}{2}$,所以$a + b + c = 2p$,$a + b - c = 2p - 2c$,$c + a - b = 2p - 2b$,$c - a + b = 2p - 2a$。
$\begin{aligned}S&=\sqrt{\frac{1}{16}×2p×(2p - 2c)×(2p - 2b)×(2p - 2a)}\\&=\sqrt{p(p - a)(p - b)(p - c)}\end{aligned}$

我们知道,如果一个三角形的三边长固定,那么这个三角形就固定.若给出任意一个三角形的三边长,你能求出它的面积吗?翻阅了各种资料后可知,古希腊的几何学家海伦(Heron)在数学史上以解决几何测量问题而闻名,在他的著作《量度论》中,给出了一个公式:如果一个三角形的三边长分别为a,b,c,那么记三角形的面积为$S=\sqrt {p(p-a)(p-b)(p-c)}$,其中$p=\frac {a+b+c}{2}$.这一公式后来被称为海伦公式.
其实在我国古代算学专著《九章算术》中,已经有求三角形面积的公式——“底乘高的一半”.但在实际丈量三角形土地面积时,要找出高来并非易事,所以古人想到了三角形的三条边,这样求三角形的面积就方便多了.但是怎样根据三边的长度来求三角形的面积呢?直到南宋,中国著名的数学家秦九韶提出了“三斜求积术”.他把三角形的三条边分别称为小斜、中斜和大斜,“术”即方法,化为公式如下:$S=\sqrt {\frac {1}{4}[a^{2}b^{2}-(\frac {a^{2}+b^{2}-c^{2}}{2})^{2}]}$(a,b,c分别为小斜、中斜、大斜).
秦九韶公式与海伦公式等价.对比这两个公式,我们发现海伦公式形式美观,便于记忆;但是如果一个三角形的三边长是无理数的时候,还是用秦九韶公式处理比较方便.聪明的你能够从秦九韶公式推导出海伦公式来吗?
能从秦九韶公式推导出海伦公式,推导过程如下:
$\begin{aligned}S&=\sqrt{\frac{1}{4}[a^{2}b^{2}-(\frac{a^{2}+b^{2}-c^{2}}{2})^{2}]}\\&=\sqrt{\frac{1}{4}(ab+\frac{a^{2}+b^{2}-c^{2}}{2})(ab-\frac{a^{2}+b^{2}-c^{2}}{2})}\\&=\sqrt{\frac{1}{16}(2ab+a^{2}+b^{2}-c^{2})(2ab - a^{2}-b^{2}+c^{2})}\\&=\sqrt{\frac{1}{16}[(a + b)^{2}-c^{2}][c^{2}-(a - b)^{2}]}\\&=\sqrt{\frac{1}{16}(a + b + c)(a + b - c)(c + a - b)(c - a + b)}\\\end{aligned}$
因为$p=\frac{a + b + c}{2}$,所以$a + b + c = 2p$,$a + b - c = 2p - 2c$,$c + a - b = 2p - 2b$,$c - a + b = 2p - 2a$。
$\begin{aligned}S&=\sqrt{\frac{1}{16}×2p×(2p - 2c)×(2p - 2b)×(2p - 2a)}\\&=\sqrt{p(p - a)(p - b)(p - c)}\end{aligned}$
答案:
【解析】:
$\begin{aligned}S&=\sqrt{\frac{1}{4}[a^{2}b^{2}-(\frac{a^{2}+b^{2}-c^{2}}{2})^{2}]}\\&=\sqrt{\frac{1}{4}(ab+\frac{a^{2}+b^{2}-c^{2}}{2})(ab-\frac{a^{2}+b^{2}-c^{2}}{2})}\\&=\sqrt{\frac{1}{16}(2ab+a^{2}+b^{2}-c^{2})(2ab - a^{2}-b^{2}+c^{2})}\\&=\sqrt{\frac{1}{16}[(a + b)^{2}-c^{2}][c^{2}-(a - b)^{2}]}\\&=\sqrt{\frac{1}{16}(a + b + c)(a + b - c)(c + a - b)(c - a + b)}\\\end{aligned}$
因为$p=\frac{a + b + c}{2}$,所以$a + b + c = 2p$,$a + b - c = 2p - 2c$,$c + a - b = 2p - 2b$,$c - a + b = 2p - 2a$。
$\begin{aligned}S&=\sqrt{\frac{1}{16}\times2p\times(2p - 2c)\times(2p - 2b)\times(2p - 2a)}\\&=\sqrt{p(p - a)(p - b)(p - c)}\end{aligned}$
【答案】:能从秦九韶公式推导出海伦公式,推导过程如上述解析。
$\begin{aligned}S&=\sqrt{\frac{1}{4}[a^{2}b^{2}-(\frac{a^{2}+b^{2}-c^{2}}{2})^{2}]}\\&=\sqrt{\frac{1}{4}(ab+\frac{a^{2}+b^{2}-c^{2}}{2})(ab-\frac{a^{2}+b^{2}-c^{2}}{2})}\\&=\sqrt{\frac{1}{16}(2ab+a^{2}+b^{2}-c^{2})(2ab - a^{2}-b^{2}+c^{2})}\\&=\sqrt{\frac{1}{16}[(a + b)^{2}-c^{2}][c^{2}-(a - b)^{2}]}\\&=\sqrt{\frac{1}{16}(a + b + c)(a + b - c)(c + a - b)(c - a + b)}\\\end{aligned}$
因为$p=\frac{a + b + c}{2}$,所以$a + b + c = 2p$,$a + b - c = 2p - 2c$,$c + a - b = 2p - 2b$,$c - a + b = 2p - 2a$。
$\begin{aligned}S&=\sqrt{\frac{1}{16}\times2p\times(2p - 2c)\times(2p - 2b)\times(2p - 2a)}\\&=\sqrt{p(p - a)(p - b)(p - c)}\end{aligned}$
【答案】:能从秦九韶公式推导出海伦公式,推导过程如上述解析。
查看更多完整答案,请扫码查看