2025年暑假乐园现代教育出版社八年级数学人教版
注:目前有些书本章节名称可能整理的还不是很完善,但都是按照顺序排列的,请同学们按照顺序仔细查找。练习册 2025年暑假乐园现代教育出版社八年级数学人教版 答案主要是用来给同学们做完题方便对答案用的,请勿直接抄袭。
第52页
- 第1页
- 第2页
- 第3页
- 第4页
- 第5页
- 第6页
- 第7页
- 第8页
- 第9页
- 第10页
- 第11页
- 第12页
- 第13页
- 第14页
- 第15页
- 第16页
- 第17页
- 第18页
- 第19页
- 第20页
- 第21页
- 第22页
- 第23页
- 第24页
- 第25页
- 第26页
- 第27页
- 第28页
- 第29页
- 第30页
- 第31页
- 第32页
- 第33页
- 第34页
- 第35页
- 第36页
- 第37页
- 第38页
- 第39页
- 第40页
- 第41页
- 第42页
- 第43页
- 第44页
- 第45页
- 第46页
- 第47页
- 第48页
- 第49页
- 第50页
- 第51页
- 第52页
- 第53页
- 第54页
- 第55页
- 第56页
- 第57页
- 第58页
- 第59页
- 第60页
- 第61页
- 第62页
- 第63页
- 第64页
- 第65页
- 第66页
- 第67页
- 第68页
- 第69页
- 第70页
- 第71页
- 第72页
- 第73页
- 第74页
- 第75页
- 第76页
- 第77页
- 第78页
- 第79页
- 第80页
- 第81页
- 第82页
- 第83页
- 第84页
1. 一个长方形的面积是$10cm^{2}$,其长是$a cm$,宽是$b cm$,下列判断错误的是(
A. 10 是常量
B. 10 是变量
C. b 是变量
D. a 是变量
B
)A. 10 是常量
B. 10 是变量
C. b 是变量
D. a 是变量
答案:
B
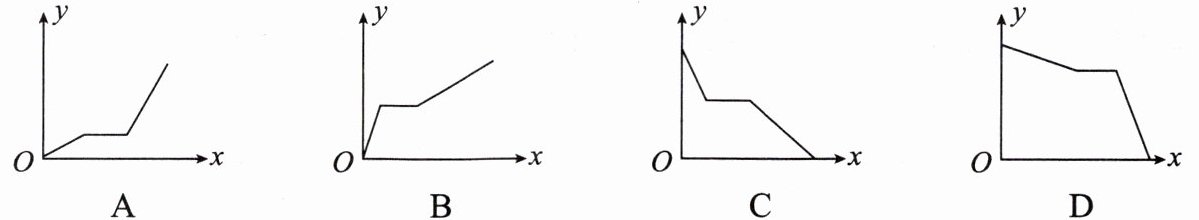
2. 小明放学后从学校出发,先匀速步行至轻轨车站,等了一会儿,然后搭轻轨回到家. 下列能反映在此过程中小明与家的距离 y 与时间 x 的关系的大致图象是(

D
)
答案:
D
3. 据测试,拧不紧的水龙头每分钟可滴出 100 滴水,每滴水约 0.05 毫升. 小康同学洗手后,没有把水龙头拧紧,水龙头以测试的速度滴水,当小康离开 x 分钟后,水龙头滴出 y 毫升的水. y 与 x 之间的解析式是(
A. $y = 0.05x$
B. $y = 5x$
C. $y = 100x$
D. $y = 0.05x + 100$
B
)A. $y = 0.05x$
B. $y = 5x$
C. $y = 100x$
D. $y = 0.05x + 100$
答案:
B
4. 张强从家跑步去体育场,在那里锻炼了一阵后,又去早餐店吃早餐,然后散步走回家,其中 x 表示时间,y 表示张强离家的距离. 根据图 1 提供的信息,以下四个说法错误的是(

A. 体育场离张强家 3.5 千米
B. 张强在体育场锻炼了 15 分
C. 体育场离早餐店 1.5 千米
D. 张强从早餐店回家的平均速度是 3 千米/时
D
)A. 体育场离张强家 3.5 千米
B. 张强在体育场锻炼了 15 分
C. 体育场离早餐店 1.5 千米
D. 张强从早餐店回家的平均速度是 3 千米/时
答案:
D
5. 某机器工作时,油箱中的余油量 Q(升)与工作时间 t(时)的解析式为$Q = 40 - 6t$. 当$t = 3$时,$Q =$
22
.
答案:
22
6. 在空中,自地面算起,每升高 1 km,气温下降若干摄氏度. 某地空中气温$t(^{\circ}C)$与高度 h(km)之间的图象如图 2 所示,观察图象可知,地面气温为______

24
$^{\circ}C$.
答案:
24
7. 图 3 表示一艘轮船和一艘快艇沿相同路线从 A 港出发到 B 港行驶过程中路程随时间变化的图象,由图可看出,快艇出发

2
h 后追上轮船.
答案:
2
8. 小明的哥哥是一名大学生,他利用暑假去一家公司打工,报酬按 20 元/小时计算. 设小明的哥哥这个月的工作时间为 t(小时),应得报酬为 m(元),请填写下表,然后回答下面问题:
|工作时间 t/小时|1|5|10|15|20|…|t|
|----|----|----|----|----|----|----|----|
|报酬 m/元|20| | | | |…| |
(1)你能用含 t 的代数式表示 m 的值吗?
(2)在上述问题中,哪些是常量,哪些是变量?
|工作时间 t/小时|1|5|10|15|20|…|t|
|----|----|----|----|----|----|----|----|
|报酬 m/元|20| | | | |…| |
(1)你能用含 t 的代数式表示 m 的值吗?
(2)在上述问题中,哪些是常量,哪些是变量?
答案:
解:填写表格如下:

(1)根据表格中数据,得 $ m = 20t $。
(2)在上述问题中,20 是常量,m,t 是变量。
解:填写表格如下:
(1)根据表格中数据,得 $ m = 20t $。
(2)在上述问题中,20 是常量,m,t 是变量。
查看更多完整答案,请扫码查看