第83页
- 第1页
- 第2页
- 第3页
- 第4页
- 第5页
- 第6页
- 第7页
- 第8页
- 第9页
- 第10页
- 第11页
- 第12页
- 第13页
- 第14页
- 第15页
- 第16页
- 第17页
- 第18页
- 第19页
- 第20页
- 第21页
- 第22页
- 第23页
- 第24页
- 第25页
- 第26页
- 第27页
- 第28页
- 第29页
- 第30页
- 第31页
- 第32页
- 第33页
- 第34页
- 第35页
- 第36页
- 第37页
- 第38页
- 第39页
- 第40页
- 第41页
- 第42页
- 第43页
- 第44页
- 第45页
- 第46页
- 第47页
- 第48页
- 第49页
- 第50页
- 第51页
- 第52页
- 第53页
- 第54页
- 第55页
- 第56页
- 第57页
- 第58页
- 第59页
- 第60页
- 第61页
- 第62页
- 第63页
- 第64页
- 第65页
- 第66页
- 第67页
- 第68页
- 第69页
- 第70页
- 第71页
- 第72页
- 第73页
- 第74页
- 第75页
- 第76页
- 第77页
- 第78页
- 第79页
- 第80页
- 第81页
- 第82页
- 第83页
- 第84页
- 第85页
- 第86页
- 第87页
- 第88页
- 第89页
- 第90页
- 第91页
- 第92页
- 第93页
- 第94页
- 第95页
- 第96页
- 第97页
- 第98页
- 第99页
- 第100页
- 第101页
- 第102页
- 第103页
- 第104页
- 第105页
- 第106页
- 第107页
- 第108页
- 第109页
- 第110页
- 第111页
- 第112页
- 第113页
- 第114页
- 第115页
- 第116页
- 第117页
- 第118页
- 第119页
- 第120页
- 第121页
- 第122页
- 第123页
- 第124页
- 第125页
- 第126页
- 第127页
- 第128页
- 第129页
- 第130页
- 第131页
- 第132页
- 第133页
- 第134页
- 第135页
- 第136页
1 下列关于欧姆定律 $ I = \frac{U}{R} $,说法不正确的是(
A.由 $ I = \frac{U}{R} $ 可知,当导体电阻一定时,导体中的电流跟这段导体两端的电压成正比
B.由 $ I = \frac{U}{R} $ 可知,当导体两端的电压一定时,导体中的电流跟导体的电阻成反比
C.由 $ I = \frac{U}{R} $ 变形可得 $ R = \frac{U}{I} $,说明导体的电阻跟其两端的电压成正比,跟通过它的电流成反比
D.由 $ I = \frac{U}{R} $ 变形可得 $ R = \frac{U}{I} $,说明导体的电阻 $ R $ 在数值上等于 $ U $ 跟 $ I $ 的比值
C
)A.由 $ I = \frac{U}{R} $ 可知,当导体电阻一定时,导体中的电流跟这段导体两端的电压成正比
B.由 $ I = \frac{U}{R} $ 可知,当导体两端的电压一定时,导体中的电流跟导体的电阻成反比
C.由 $ I = \frac{U}{R} $ 变形可得 $ R = \frac{U}{I} $,说明导体的电阻跟其两端的电压成正比,跟通过它的电流成反比
D.由 $ I = \frac{U}{R} $ 变形可得 $ R = \frac{U}{I} $,说明导体的电阻 $ R $ 在数值上等于 $ U $ 跟 $ I $ 的比值
答案:
C 本题的考点是对欧姆定律的理解。当电阻R一定时,由$I=\frac{U}{R}$可知,通过导体的电流I与导体两端的电压U成正比,故A不符合题意;当导体两端的电压U一定时,由$I=\frac{U}{R}$可知,通过导体的电流I与电阻R成反比,故B不符合题意;导体电阻由导体材料、长度、横截面积决定,与导体两端的电压及通过导体的电流无关,故C符合题意;由$I=\frac{U}{R}$变形可得$R=\frac{U}{I}$,由此可见,导体的电阻在数值上等于导体两端的电压U与通过导体的电流I的比值,故D不符合题意。
2 某导体两端的电压为 6 V 时,通过它的电流为 0.4 A,该导体的电阻是
15
Ω;当该导体两端的电压为 3 V 时,通过它的电流为0.2
A;当该导体两端的电压为 0 V 时,它的电阻为15
Ω。
答案:
15 0.2 15
3 一个定值电阻的阻值为 10 Ω,使用时通过它的电流是 200 mA,则这个定值电阻两端的电压是
2
V;如果定值电阻两端的电压是 3 V,则通过定值电阻的电流是0.3
A。
答案:
2 0.3
4 如图所示是某导体中的电流 $ I $ 跟它两端电压 $ U $ 的关系图像,该导体的阻值为(

A.40 Ω
B.30 Ω
C.20 Ω
D.10 Ω
D
) A.40 Ω
B.30 Ω
C.20 Ω
D.10 Ω
答案:
D
5 如图所示,电源电压保持不变, $ R_1 = 7 \Omega $, $ R_2 = 8 \Omega $,开关 $ S $ 闭合后,电压表的示数为 4 V,求:
(1)通过电阻 $ R_2 $ 的电流;
(2)电阻 $ R_1 $ 两端的电压;
(3)电源电压。

(1)通过电阻 $ R_2 $ 的电流;
(2)电阻 $ R_1 $ 两端的电压;
(3)电源电压。
答案:
解:
(1)根据欧姆定律可得,通过电阻$R_{2}$的电流$I_{2}=\frac{U_{2}}{R_{2}}=\frac{4\ \text{V}}{8\ \Omega}=0.5\ \text{A}$。
(2)串联电路中电流处处相等,则通过$R_{1}$的电流$I_{1}=I_{2}=0.5\ \text{A}$,则$R_{1}$两端的电压$U_{1}=I_{1}R_{1}=0.5\ \text{A}×7\ \Omega=3.5\ \text{V}$。
(3)电源电压$U=U_{1}+U_{2}=3.5\ \text{V}+4\ \text{V}=7.5\ \text{V}$。
(1)根据欧姆定律可得,通过电阻$R_{2}$的电流$I_{2}=\frac{U_{2}}{R_{2}}=\frac{4\ \text{V}}{8\ \Omega}=0.5\ \text{A}$。
(2)串联电路中电流处处相等,则通过$R_{1}$的电流$I_{1}=I_{2}=0.5\ \text{A}$,则$R_{1}$两端的电压$U_{1}=I_{1}R_{1}=0.5\ \text{A}×7\ \Omega=3.5\ \text{V}$。
(3)电源电压$U=U_{1}+U_{2}=3.5\ \text{V}+4\ \text{V}=7.5\ \text{V}$。
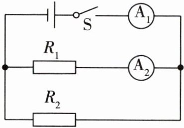
6 [2024 重庆中考 B 卷]将阻值为 10 Ω 的电阻 $ R_1 $ 与另一电阻 $ R_2 $ 接入电源电压恒定的电路中,如图所示。闭合开关 $ S $,电流表 $ A_1 $ 的示数为 0.45 A,电流表 $ A_2 $ 的示数为 0.3 A。求:
(1)通过 $ R_2 $ 的电流;
(2)电源电压。

(1)通过 $ R_2 $ 的电流;
(2)电源电压。
答案:
解:
(1)由题图可知,电阻$R_{1}$和$R_{2}$并联,电流表$A_{1}$测干路电流,电流表$A_{2}$测通过$R_{1}$的电流,通过$R_{2}$的电流$I_{2}=I-I_{1}=0.45\ \text{A}-0.3\ \text{A}=0.15\ \text{A}$。
(2)电源电压等于$R_{1}$两端电压,即电源电压$U=U_{1}=I_{1}R_{1}=0.3\ \text{A}×10\ \Omega=3\ \text{V}$。
(1)由题图可知,电阻$R_{1}$和$R_{2}$并联,电流表$A_{1}$测干路电流,电流表$A_{2}$测通过$R_{1}$的电流,通过$R_{2}$的电流$I_{2}=I-I_{1}=0.45\ \text{A}-0.3\ \text{A}=0.15\ \text{A}$。
(2)电源电压等于$R_{1}$两端电压,即电源电压$U=U_{1}=I_{1}R_{1}=0.3\ \text{A}×10\ \Omega=3\ \text{V}$。
查看更多完整答案,请扫码查看