第20页
- 第1页
- 第2页
- 第3页
- 第4页
- 第5页
- 第6页
- 第7页
- 第8页
- 第9页
- 第10页
- 第11页
- 第12页
- 第13页
- 第14页
- 第15页
- 第16页
- 第17页
- 第18页
- 第19页
- 第20页
- 第21页
- 第22页
- 第23页
- 第24页
- 第25页
- 第26页
- 第27页
- 第28页
- 第29页
- 第30页
- 第31页
- 第32页
- 第33页
- 第34页
- 第35页
- 第36页
- 第37页
- 第38页
- 第39页
- 第40页
- 第41页
- 第42页
- 第43页
- 第44页
- 第45页
- 第46页
- 第47页
- 第48页
- 第49页
- 第50页
- 第51页
- 第52页
- 第53页
- 第54页
- 第55页
- 第56页
- 第57页
- 第58页
- 第59页
- 第60页
- 第61页
- 第62页
- 第63页
- 第64页
- 第65页
- 第66页
- 第67页
- 第68页
9. 如图,$AD是\triangle ABC中\angle BAC$的平分线,$DE \perp AB于点E$,$DF \perp AC于点F$。若$S_{\triangle ABC}= 5.6$,$DE= 1.6$,$AB= 4$,则$AC$的长是(

A.4
B.3
C.6
D.5
B
)。A.4
B.3
C.6
D.5
答案:
B
10. 快车从甲地驶往乙地,慢车从乙地驶往甲地,两车同时出发并且在同一条公路上匀速行驶。图中折线表示快、慢两车之间的路程$y(km)与它们的行驶时间x(h)$之间的函数关系。小欣同学结合图像得出如下结论:
①快车途中停留了$0.5h$;②快车速度比慢车速度多$20km/h$;③图中$a= 340$;④快车先到达目的地。其中正确的是(

A.①③
B.②③
C.②④
D.①④
①快车途中停留了$0.5h$;②快车速度比慢车速度多$20km/h$;③图中$a= 340$;④快车先到达目的地。其中正确的是(
B
)。A.①③
B.②③
C.②④
D.①④
答案:
B [解析]本题考查了由函数图像获取信息,解题的关键是根据函数图像得到路程与时间的关系.根据函数图像与路程的关系即可求出各车的时间与路程的关系,依次判断.
当$t=2h$时,表示两车相遇;$2 - 2.5h$表示两车都在休息,没有前进;$2.5 - 3.6h$,其中一车行驶,其速度为$\frac{88 - 0}{3.6 - 2.5}=80(km/h)$,
设另一车的速度为$xkm/h$,
依题意,得$2(x + 80)=360$,
解得$x = 100$,
故快车途中停留了$3.6 - 2 = 1.6(h)$,①错误;
快车速度比慢车速度多$20km/h$,②正确;
当$t = 5h$时,慢车行驶的路程为$(5 - 0.5)×80 = 360(km)$,即到达目的地,比快车先到,故④错误;
当$t = 5h$时,快车行驶的路程为$(5 - 1.6)×100 = 340(km)$,故两车相距$340km$,即$a = 340$,故③正确.故选 B.
解后反思 正确理解函数图像横纵坐标表示的意义,准确识图是解题的关键.
当$t=2h$时,表示两车相遇;$2 - 2.5h$表示两车都在休息,没有前进;$2.5 - 3.6h$,其中一车行驶,其速度为$\frac{88 - 0}{3.6 - 2.5}=80(km/h)$,
设另一车的速度为$xkm/h$,
依题意,得$2(x + 80)=360$,
解得$x = 100$,
故快车途中停留了$3.6 - 2 = 1.6(h)$,①错误;
快车速度比慢车速度多$20km/h$,②正确;
当$t = 5h$时,慢车行驶的路程为$(5 - 0.5)×80 = 360(km)$,即到达目的地,比快车先到,故④错误;
当$t = 5h$时,快车行驶的路程为$(5 - 1.6)×100 = 340(km)$,故两车相距$340km$,即$a = 340$,故③正确.故选 B.
解后反思 正确理解函数图像横纵坐标表示的意义,准确识图是解题的关键.
11. 如图,$M$、$N$、$P$、$Q$是数轴上的四个点,这四个点中最适合表示$\sqrt{7}$的点是

P
。
答案:
P
12. 如图,点$D$、$E在\triangle ABC的边BC$上,$AB= AC$,$AD= AE$,请写出图中的全等三角形______。(写出一对即可)

$\triangle ABD\cong\triangle ACE$
答案:
$\triangle ABD\cong\triangle ACE$(答案不唯一)
13. 函数$y= \frac{1}{\sqrt{x-1}}$中,自变量$x$的取值范围是
$x>1$
。
答案:
$x>1$
14. 如图,把“QQ”笑脸放在直角坐标系中,已知左眼$A的坐标是(-2,3)$,嘴唇点$C的坐标为(-1,1)$,则将此“QQ”笑脸向右平移3个单位后,右眼$B$的坐标是
$(3,3)$
。
答案:
$(3,3)$
15. 无盖圆柱形杯子的展开图如图所示。将一根长为$20cm$的细木筷斜放在该杯子内,木筷露在杯子外面的部分至少有

5
$cm$。
答案:
5
16. 已知一次函数$y= kx+b的图像经过A(1,-1)$、$B(-1,3)$两点,则$k$
<
0。(填“$>$”或“$<$”)
答案:
$<$
17. 星期天小华去书店买书时,从镜子内看到背后墙上普通时钟的时针(粗)与分针(细)的位置如图所示,此时时钟表示的时间是
13
时30
分。(按24小时制填写)
答案:
13 30
18. 如图,以$Rt\triangle ABC$的三边为斜边分别向外作等腰直角三角形,若斜边$AB= 3$,则图中阴影部分的面积为
4.5
。
答案:
4.5
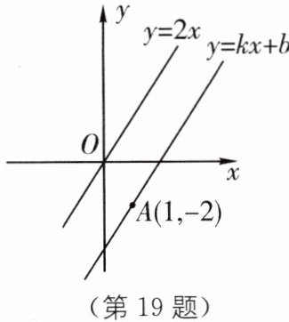
19. 如图,一次函数$y= kx+b的图像与正比例函数y= 2x的图像平行且经过点A(1,-2)$,则$kb= $

$-8$
。
答案:
$-8$
查看更多完整答案,请扫码查看