第46页
- 第1页
- 第2页
- 第3页
- 第4页
- 第5页
- 第6页
- 第7页
- 第8页
- 第9页
- 第10页
- 第11页
- 第12页
- 第13页
- 第14页
- 第15页
- 第16页
- 第17页
- 第18页
- 第19页
- 第20页
- 第21页
- 第22页
- 第23页
- 第24页
- 第25页
- 第26页
- 第27页
- 第28页
- 第29页
- 第30页
- 第31页
- 第32页
- 第33页
- 第34页
- 第35页
- 第36页
- 第37页
- 第38页
- 第39页
- 第40页
- 第41页
- 第42页
- 第43页
- 第44页
- 第45页
- 第46页
- 第47页
- 第48页
- 第49页
- 第50页
- 第51页
- 第52页
- 第53页
- 第54页
- 第55页
- 第56页
- 第57页
- 第58页
- 第59页
- 第60页
- 第61页
- 第62页
- 第63页
- 第64页
- 第65页
- 第66页
- 第67页
- 第68页
- 第69页
- 第70页
- 第71页
- 第72页
- 第73页
- 第74页
1. 填空。
(1)看图写算式。(填分数)

(2)[陕西省咸阳市武功县期末]比$\frac{4}{5}$m少$\frac{3}{20}$m是( )m;比$\frac{3}{4}$kg多$\frac{1}{8}$kg是( )kg。
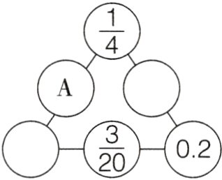
(3)[浙江省杭州市江干区期末]如图,如果将六个数填入圆中,可以使每条边上的三个数之和都相等。小明已经填了三个,那么,A处应填( )。

(1)看图写算式。(填分数)
(2)[陕西省咸阳市武功县期末]比$\frac{4}{5}$m少$\frac{3}{20}$m是( )m;比$\frac{3}{4}$kg多$\frac{1}{8}$kg是( )kg。
(3)[浙江省杭州市江干区期末]如图,如果将六个数填入圆中,可以使每条边上的三个数之和都相等。小明已经填了三个,那么,A处应填( )。
答案:
(1)$\frac{3}{4}$ $\frac{1}{8}$ $\frac{5}{8}$ $\frac{2}{5}$ $\frac{1}{3}$ $\frac{11}{15}$
(2)$\frac{13}{20}$ $\frac{7}{8}$ 解析:根据求比一个数少几的数是多少,用减法解答;根据求比一个数多几的数是多少,用加法解答。
(3)$\frac{1}{10}$ 解析:根据题意,先求出$\frac{3}{20}$加0.2的和,再减去$\frac{1}{4}$,即可求出A处的值。
(1)$\frac{3}{4}$ $\frac{1}{8}$ $\frac{5}{8}$ $\frac{2}{5}$ $\frac{1}{3}$ $\frac{11}{15}$
(2)$\frac{13}{20}$ $\frac{7}{8}$ 解析:根据求比一个数少几的数是多少,用减法解答;根据求比一个数多几的数是多少,用加法解答。
(3)$\frac{1}{10}$ 解析:根据题意,先求出$\frac{3}{20}$加0.2的和,再减去$\frac{1}{4}$,即可求出A处的值。
2. 脱式计算。
$\frac{5}{9}-\frac{1}{4}+\frac{1}{6}$ $\frac{25}{28}-(\frac{25}{28}-\frac{5}{14})$ $\frac{3}{5}+\frac{1}{10}-\frac{3}{5}$ $\frac{4}{3}-\frac{1}{12}-\frac{11}{12}$
$\frac{5}{9}-\frac{1}{4}+\frac{1}{6}$ $\frac{25}{28}-(\frac{25}{28}-\frac{5}{14})$ $\frac{3}{5}+\frac{1}{10}-\frac{3}{5}$ $\frac{4}{3}-\frac{1}{12}-\frac{11}{12}$
答案:
$\frac{5}{9}-\frac{1}{4}+\frac{1}{6}$
$=\frac{11}{36}+\frac{6}{36}$
$=\frac{17}{36}$
$\frac{25}{28}-(\frac{25}{28}-\frac{5}{14})$
$=\frac{25}{28}-\frac{25}{28}+\frac{5}{14}$
$=\frac{5}{14}$
$\frac{3}{5}+\frac{1}{10}-\frac{3}{5}$
$=\frac{3}{5}-\frac{3}{5}+\frac{1}{10}$
$=\frac{1}{10}$
$\frac{4}{3}-\frac{1}{12}-\frac{11}{12}$
$=\frac{4}{3}-(\frac{1}{12}+\frac{11}{12})$
$=\frac{1}{3}$
$=\frac{11}{36}+\frac{6}{36}$
$=\frac{17}{36}$
$\frac{25}{28}-(\frac{25}{28}-\frac{5}{14})$
$=\frac{25}{28}-\frac{25}{28}+\frac{5}{14}$
$=\frac{5}{14}$
$\frac{3}{5}+\frac{1}{10}-\frac{3}{5}$
$=\frac{3}{5}-\frac{3}{5}+\frac{1}{10}$
$=\frac{1}{10}$
$\frac{4}{3}-\frac{1}{12}-\frac{11}{12}$
$=\frac{4}{3}-(\frac{1}{12}+\frac{11}{12})$
$=\frac{1}{3}$
3. [重庆市渝中区期末]志愿小分队开展“清洁家园,文明共建”活动。在活动中,第一小队清运垃圾$\frac{8}{15}$t,比第二小队少清运$\frac{2}{5}$t,比第三小队多清运$\frac{2}{5}$t。
(1)请提出一个用算式“$\frac{8}{15}-\frac{2}{5}$”解决的数学问题。
(2)第一小队和第二小队一共清运了多少吨垃圾?
(1)请提出一个用算式“$\frac{8}{15}-\frac{2}{5}$”解决的数学问题。
(2)第一小队和第二小队一共清运了多少吨垃圾?
答案:
(1)第三小组清运垃圾多少吨?
(2)$\frac{8}{15}+\frac{2}{5}+\frac{8}{15}=\frac{22}{15}(t)$
解析:
(1)根据分数的意义,可以提出问题:第三小组清运垃圾多少吨?
(2)用第一小组清运垃圾的质量加上$\frac{2}{5}$,求出第二小组清运垃圾的质量,再将两队清运垃圾的质量相加,即可解答。
(1)第三小组清运垃圾多少吨?
(2)$\frac{8}{15}+\frac{2}{5}+\frac{8}{15}=\frac{22}{15}(t)$
解析:
(1)根据分数的意义,可以提出问题:第三小组清运垃圾多少吨?
(2)用第一小组清运垃圾的质量加上$\frac{2}{5}$,求出第二小组清运垃圾的质量,再将两队清运垃圾的质量相加,即可解答。
4. 某商场举行幸运抽奖活动,设特等奖、一等奖、二等奖和参与奖。获参与奖的顾客占抽奖顾客总数的$\frac{2}{3}$,获特等奖和一等奖的顾客共占抽奖顾客总数的$\frac{1}{6}$,获一等奖和二等奖的顾客共占抽奖顾客总数的$\frac{3}{10}$,获一等奖的顾客占抽奖顾客总数的几分之几?
答案:
$\frac{1}{6}-(1-\frac{2}{3}-\frac{3}{10})=\frac{2}{15}$
解析:将获奖总人数当作单位“1”,根据分数减法的意义,用单位“1”减去获一等奖和获二等奖的顾客共占抽奖顾客总数的分率,再减获参与奖的顾客占抽奖顾客总数的分率,即得获特等奖的顾客占抽奖顾客总数的分率,再用获特等奖和一等奖的顾客共占抽奖顾客总数的分率减获特等奖的顾客占抽奖顾客总数的分率。
解析:将获奖总人数当作单位“1”,根据分数减法的意义,用单位“1”减去获一等奖和获二等奖的顾客共占抽奖顾客总数的分率,再减获参与奖的顾客占抽奖顾客总数的分率,即得获特等奖的顾客占抽奖顾客总数的分率,再用获特等奖和一等奖的顾客共占抽奖顾客总数的分率减获特等奖的顾客占抽奖顾客总数的分率。
3.5 - 2.9 = 1.2 - 0.8 = 3.56×10 = 5.3×0.1 = 32.5÷0.5 =
3.1×10 = 6.3÷0.7 = 0.83 - 0.5 = 0.9×7 = 0.1×9.02 =
口算天天练
3.1×10 = 6.3÷0.7 = 0.83 - 0.5 = 0.9×7 = 0.1×9.02 =
口算天天练
答案:
0.6 0.4 35.6 0.53 65
31 9 0.33 6.3 0.902
31 9 0.33 6.3 0.902
查看更多完整答案,请扫码查看