第28页
- 第1页
- 第2页
- 第3页
- 第4页
- 第5页
- 第6页
- 第7页
- 第8页
- 第9页
- 第10页
- 第11页
- 第12页
- 第13页
- 第14页
- 第15页
- 第16页
- 第17页
- 第18页
- 第19页
- 第20页
- 第21页
- 第22页
- 第23页
- 第24页
- 第25页
- 第26页
- 第27页
- 第28页
- 第29页
- 第30页
- 第31页
- 第32页
- 第33页
- 第34页
- 第35页
- 第36页
- 第37页
- 第38页
- 第39页
- 第40页
- 第41页
- 第42页
- 第43页
- 第44页
- 第45页
- 第46页
- 第47页
- 第48页
- 第49页
- 第50页
- 第51页
- 第52页
- 第53页
- 第54页
- 第55页
- 第56页
- 第57页
- 第58页
- 第59页
- 第60页
- 第61页
- 第62页
- 第63页
- 第64页
- 第65页
- 第66页
- 第67页
- 第68页
- 第69页
- 第70页
- 第71页
- 第72页
- 第73页
- 第74页
- 第75页
- 第76页
- 第77页
- 第78页
- 第79页
- 第80页
- 第81页
- 第82页
- 第83页
- 第84页
- 第85页
1. 二次函数 $ y = \frac{1}{2}(x - 1)^2 + 2 $ 的开口方向、对称轴、顶点坐标分别是(
A.向上、直线 $ x = 1 $、$(1,2)$
B.向上、直线 $ x = -1 $、$(-1,2)$
C.向上、直线 $ x = 1 $、$(1, -2)$
D.向下、直线 $ x = -1 $、$(-1,2)$
A
)A.向上、直线 $ x = 1 $、$(1,2)$
B.向上、直线 $ x = -1 $、$(-1,2)$
C.向上、直线 $ x = 1 $、$(1, -2)$
D.向下、直线 $ x = -1 $、$(-1,2)$
答案:
A
2. 若抛物线 $ y = (x + 1)^2 - 2 $ 与 $ x $ 轴的正半轴相交于点 $ A $,则点 $ A $ 的坐标为(
A.$ (-1 - \sqrt{2},0) $
B.$ (\sqrt{2},0) $
C.$ (-1,-2) $
D.$ (-1 + \sqrt{2},0) $
$(\sqrt{2}-1,0)$
)A.$ (-1 - \sqrt{2},0) $
B.$ (\sqrt{2},0) $
C.$ (-1,-2) $
D.$ (-1 + \sqrt{2},0) $
答案:
D 点拨:令y=(x+1)²−2=0,解得x1=$\sqrt{2}$−1,x2=−$\sqrt{2}$−1,
∵点A在x轴的正半轴上,
∴A($\sqrt{2}$−1,0).
∵点A在x轴的正半轴上,
∴A($\sqrt{2}$−1,0).
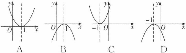
3. 二次函数 $ y = -2(x - 1)^2 $ 的图象大致是(

B
)
答案:
B 点拨:二次函数y=−2(x−1)²的图象开口向下,对称轴是x=1,顶点坐标为(1,0),故选B.
4. 在二次函数 $ y = 5(x + 3)^2 - 2 $ 中,当 $ x $
>−3
时,$ y $ 随 $ x $ 的增大而增大;当 $ x $ <−3
时,$ y $ 随 $ x $ 的增大而减小;当 $ x = $ −3
时,函数 $ y $ 有 最小
值(填“最大”或“最小”),这个值是 −2
。
答案:
>−3 <−3 −3 最小 −2
5. 将二次函数 $ y = x^2 + 6x + 10 $ 配方化成 $ y = a(x - h)^2 + k $ 的形式为
y=(x+3)²+1
,开口方向 ______ 向上
,对称轴是 ______ 直线x=−3
,顶点坐标是 ______ (−3,1)
。
答案:
y=(x+3)²+1 向上 直线x=−3 (−3,1)
6. 已知 $ y = a(x - h)^2 + k $ 是由抛物线 $ y = -\frac{1}{2}x^2 $ 向上平移 $ 2 $ 个单位,再向右平移 $ 1 $ 个单位得到的抛物线。
(1) 求 $ a $、$ h $、$ k $ 的值;
(2) 在同一直角坐标系中,画出 $ y = a(x - h)^2 + k $ 和 $ y = -\frac{1}{2}x^2 $ 的图象;
(3) 在二次函数 $ y = a(x - h)^2 + k $ 中,当 $ x $ 取何值时,$ y $ 随 $ x $ 的增大而增大?
(4) 观察 $ y = a(x - h)^2 + k $ 的图象,你能说出对于一切 $ x $ 的值,函数 $ y $ 的取值范围吗?
(1) 求 $ a $、$ h $、$ k $ 的值;
(2) 在同一直角坐标系中,画出 $ y = a(x - h)^2 + k $ 和 $ y = -\frac{1}{2}x^2 $ 的图象;
(3) 在二次函数 $ y = a(x - h)^2 + k $ 中,当 $ x $ 取何值时,$ y $ 随 $ x $ 的增大而增大?
(4) 观察 $ y = a(x - h)^2 + k $ 的图象,你能说出对于一切 $ x $ 的值,函数 $ y $ 的取值范围吗?
答案:
(1)将抛物线y=−$\frac{1}{2}$x²向上平移2个单位,再向右平移1个单位,得y=−$\frac{1}{2}$(x−1)²+2,所以a=−$\frac{1}{2}$,h=1,k=2.
(2)两个函数的图象如答图.
(3)观察y=−$\frac{1}{2}$(x−1)²+2的图象可知,当x<1时,y随x的增大而增大.
(4)由图象知,函数的最大值是2,所以对于一切x的值,总有函数值y≤2.
(1)将抛物线y=−$\frac{1}{2}$x²向上平移2个单位,再向右平移1个单位,得y=−$\frac{1}{2}$(x−1)²+2,所以a=−$\frac{1}{2}$,h=1,k=2.
(2)两个函数的图象如答图.
(3)观察y=−$\frac{1}{2}$(x−1)²+2的图象可知,当x<1时,y随x的增大而增大.
(4)由图象知,函数的最大值是2,所以对于一切x的值,总有函数值y≤2.
1. 在平面直角坐标系中,如果抛物线 $ y = 2x^2 $ 不动,而把 $ x $ 轴、$ y $ 轴分别向上、向右平移 $ 2 $ 个单位,那么在新坐标系下抛物线的表达式是(
A.$ y = 2(x - 2)^2 + 2 $
B.$ y = 2(x + 2)^2 - 2 $
C.$ y = 2(x - 2)^2 - 2 $
D.$ y = 2(x + 2)^2 + 2 $
B
)A.$ y = 2(x - 2)^2 + 2 $
B.$ y = 2(x + 2)^2 - 2 $
C.$ y = 2(x - 2)^2 - 2 $
D.$ y = 2(x + 2)^2 + 2 $
答案:
B
2. 已知二次函数 $ y = a(x + 1)^2 - b(a \neq 0) $ 有最小值 $ 1 $,则 $ a $、$ b $ 的大小关系为(
A.$ a > b $
B.$ a < b $
C.$ a = b $
D.不能确定
A
)A.$ a > b $
B.$ a < b $
C.$ a = b $
D.不能确定
答案:
A 点拨:
∵二次函数y=a(x+1)²−b(a≠0)有最小值,
∴抛物线开口方向向上,即a>0;又最小值为1,即−b=1,
∴b=−1,
∴a>b.
∵二次函数y=a(x+1)²−b(a≠0)有最小值,
∴抛物线开口方向向上,即a>0;又最小值为1,即−b=1,
∴b=−1,
∴a>b.
3. 如图 $ 22 - 5 - 1 $,把抛物线 $ y = x^2 $ 沿直线 $ y = x $ 平移 $ \sqrt{2} $ 个单位后,其顶点在直线上的 $ A $ 处,则平移后的抛物线解析式是(

A.$ y = (x + 1)^2 - 1 $
B.$ y = (x + 1)^2 + 1 $
C.$ y = (x - 1)^2 + 1 $
D.$ y = (x - 1)^2 - 1 $
C
)A.$ y = (x + 1)^2 - 1 $
B.$ y = (x + 1)^2 + 1 $
C.$ y = (x - 1)^2 + 1 $
D.$ y = (x - 1)^2 - 1 $
答案:
C 点拨:
∵点A在直线y=x上,
∴设A(m,m).
∵OA=$\sqrt{2}$,
∴m²+m²=($\sqrt{2}$)²,解得m=±1(m=−1舍去),
∴m=1,
∴A(1,1),
∴抛物线解析式为y=(x−1)² +1.
∵点A在直线y=x上,
∴设A(m,m).
∵OA=$\sqrt{2}$,
∴m²+m²=($\sqrt{2}$)²,解得m=±1(m=−1舍去),
∴m=1,
∴A(1,1),
∴抛物线解析式为y=(x−1)² +1.
查看更多完整答案,请扫码查看