第14页
- 第2页
- 第3页
- 第4页
- 第5页
- 第6页
- 第7页
- 第8页
- 第9页
- 第10页
- 第11页
- 第12页
- 第13页
- 第14页
- 第15页
- 第16页
- 第17页
- 第18页
- 第19页
- 第20页
- 第21页
- 第22页
- 第23页
- 第24页
- 第25页
- 第26页
- 第27页
- 第28页
- 第29页
- 第30页
- 第31页
- 第32页
- 第33页
- 第34页
- 第35页
- 第36页
- 第37页
- 第38页
- 第39页
- 第40页
- 第41页
- 第42页
- 第43页
- 第44页
- 第45页
- 第46页
- 第47页
- 第48页
- 第49页
- 第50页
- 第51页
- 第52页
- 第53页
- 第54页
- 第55页
- 第56页
- 第57页
- 第58页
- 第59页
- 第60页
- 第61页
- 第62页
- 第63页
- 第64页
- 第65页
- 第66页
- 第67页
- 第68页
- 第69页
- 第70页
- 第71页
- 第72页
- 第73页
- 第74页
- 第75页
1. 二次函数$y= 2(x+1)^2+3$的最小值是( )
A.-1
B.1
C.2
D.3
A.-1
B.1
C.2
D.3
答案:
D
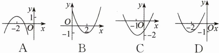
2. 二次函数$y= (x+2)^2-1$的图象大致是( )

A
B
C D
A
B
C D
答案:
D
3. 已知二次函数$y= -3(x-2)^2-3$,下列说法正确的是( )
A.图象的对称轴为直线$x= -2$
B.图象的顶点坐标为$(2,3)$
C.函数的最大值是-3
D.函数的最小值是-3
A.图象的对称轴为直线$x= -2$
B.图象的顶点坐标为$(2,3)$
C.函数的最大值是-3
D.函数的最小值是-3
答案:
C
4. 将抛物线$y= x^2+2x$向下平移 2 个单位长度后,所得新抛物线的顶点式为( )
A.$y= (x+1)^2-3$
B.$y= (x+1)^2-2$
C.$y= (x-1)^2-3$
D.$y= (x-1)^2-2$
A.$y= (x+1)^2-3$
B.$y= (x+1)^2-2$
C.$y= (x-1)^2-3$
D.$y= (x-1)^2-2$
答案:
A
5. 将抛物线$y= -x^2$先向右平移 1 个单位长度,再向上平移 2 个单位长度,则平移后抛物线的顶点坐标为( )
A.$(-1,2)$
B.$(1,-2)$
C.$(1,2)$
D.$(2,-1)$
A.$(-1,2)$
B.$(1,-2)$
C.$(1,2)$
D.$(2,-1)$
答案:
C
6. 已知点$A(1,y_1)$,$B(2,y_2)在抛物线y= -(x+1)^2+2$上,则下列结论中,正确的是( )
A.$2>y_1>y_2$
B.$2>y_2>y_1$
C.$y_1>y_2>2$
D.$y_2>y_1>2$
A.$2>y_1>y_2$
B.$2>y_2>y_1$
C.$y_1>y_2>2$
D.$y_2>y_1>2$
答案:
A
7. 已知点$A(a,2)$,$B(b,2)$,$C(c,7)都在抛物线y= (x-1)^2-2$上,点 A 在点 B 的左侧,下列说法中,正确的是( )
A.若$c<0$,则$a<c<b$
B.若$c<0$,则$a<b<c$
C.若$c>0$,则$a<c<b$
D.若$c>0$,则$a<b<c$
A.若$c<0$,则$a<c<b$
B.若$c<0$,则$a<b<c$
C.若$c>0$,则$a<c<b$
D.若$c>0$,则$a<b<c$
答案:
D
8. 函数$y= 3(x-2)^2+5$的图象开口向______,顶点坐标为______,对称轴是______;当x______时,y随x的增大而减小;当x______时,y随x的增大而增大.
答案:
上 (2,5) 直线$x=2$ <2 >2
9. 已知抛物线$y= -(x-1)^2+3$.
(1) 抛物线的对称轴是______,顶点坐标为______;
(2) 选取适当的数据填入下表,并在如图所示的直角坐标系中利用表中数据描点画出该抛物线;
| x | ... | | | | | | ... |
| y | ... | | | | | | ... |
(3) 该抛物线可由抛物线$y= -x^2$经过怎样的平移得到?

(1) 抛物线的对称轴是______,顶点坐标为______;
(2) 选取适当的数据填入下表,并在如图所示的直角坐标系中利用表中数据描点画出该抛物线;
| x | ... | | | | | | ... |
| y | ... | | | | | | ... |
(3) 该抛物线可由抛物线$y= -x^2$经过怎样的平移得到?
答案:
(1)直线$x=1$ (1,3)(2)略 (3)先把抛物线$y=-x^2$向右平移1个单位长度,再向上平移3个单位长度
(1)直线$x=1$ (1,3)(2)略 (3)先把抛物线$y=-x^2$向右平移1个单位长度,再向上平移3个单位长度
10. 已知二次函数$y= a(x-1)^2+h的图象经过点A(0,4)$,$B(2,m)$,求:
(1) 二次函数图象的对称轴;
(2) m 的值.
(1) 二次函数图象的对称轴;
(2) m 的值.
答案:
(1)直线$x=1$
(2)$m=4$
(1)直线$x=1$
(2)$m=4$
查看更多完整答案,请扫码查看