2025年暑假作业河北美术出版社七年级数学人教版
注:目前有些书本章节名称可能整理的还不是很完善,但都是按照顺序排列的,请同学们按照顺序仔细查找。练习册 2025年暑假作业河北美术出版社七年级数学人教版 答案主要是用来给同学们做完题方便对答案用的,请勿直接抄袭。
第58页
- 第1页
- 第2页
- 第3页
- 第4页
- 第5页
- 第6页
- 第7页
- 第8页
- 第9页
- 第10页
- 第11页
- 第12页
- 第13页
- 第14页
- 第15页
- 第16页
- 第17页
- 第18页
- 第19页
- 第20页
- 第21页
- 第22页
- 第23页
- 第24页
- 第25页
- 第26页
- 第27页
- 第28页
- 第29页
- 第30页
- 第31页
- 第32页
- 第33页
- 第34页
- 第35页
- 第36页
- 第37页
- 第38页
- 第39页
- 第40页
- 第41页
- 第42页
- 第43页
- 第44页
- 第45页
- 第46页
- 第47页
- 第48页
- 第49页
- 第50页
- 第51页
- 第52页
- 第53页
- 第54页
- 第55页
- 第56页
- 第57页
- 第58页
- 第59页
- 第60页
- 第61页
- 第62页
- 第63页
- 第64页
- 第65页
- 第66页
- 第67页
- 第68页
- 第69页
- 第70页
- 第71页
- 第72页
- 第73页
- 第74页
- 第75页
- 第76页
- 第77页
- 第78页
- 第79页
- 第80页
- 第81页
- 第82页
- 第83页
- 第84页
- 第85页
- 第86页
- 第87页
- 第88页
- 第89页
- 第90页
- 第91页
- 第92页
- 第93页
- 第94页
- 第95页
- 第96页
- 第97页
- 第98页
11. 若$(x-y)^{2}+|5x-7y-2|= 0$,则$x+y$的值为(
A.$1$
B.$0$
C.$-1$
D.$-2$
D
)A.$1$
B.$0$
C.$-1$
D.$-2$
答案:
D
12. 在平面直角坐标系中,将点$A(m,n)先向右平移2$个单位长度,再向上平移$3$个单位长度,得到点$A'$.若点$A'$位于第二象限,则$m,n$的取值范围分别是(
A.$m<2,n>3$
B.$m<2,n>-3$
C.$m<-2,n<-3$
D.$m<-2,n>-3$
D
)A.$m<2,n>3$
B.$m<2,n>-3$
C.$m<-2,n<-3$
D.$m<-2,n>-3$
答案:
D
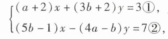
13. 已知关于x,y的二元一次方程组
可以用①×3-②消去未知数x,也可以用①+②×4消去未知数y,则$a,b$的值分别为(
A.$1,-2$
B.$-1,-2$
C.$1,2$
D.$-1,2$
C
)A.$1,-2$
B.$-1,-2$
C.$1,2$
D.$-1,2$
答案:
C
14. 小明调查了本班每名同学最喜欢的颜色,并绘制了如图①所示的不完整的扇形图,以及如图②所示的不完整的条形图(柱的高度从高到低排列).有下列结论:结论Ⅰ:小明的班级有$50$人;结论Ⅱ:图②括号中填“黄”.下列判断正确的是(

A.Ⅰ和Ⅱ都对
B.Ⅰ和Ⅱ都不对
C.Ⅰ不对,Ⅱ对
D.Ⅰ对,Ⅱ不对
D
)A.Ⅰ和Ⅱ都对
B.Ⅰ和Ⅱ都不对
C.Ⅰ不对,Ⅱ对
D.Ⅰ对,Ⅱ不对
答案:
D
15. 若关于$x的不等式组\left\{\begin{array}{l} x-m>0,\\ x-m<1\end{array} \right. 的解集中每一个x的值均不在2≤x≤5$的范围内,则$m$的取值范围是(
A.$m<1或m>5$
B.$m≤1或m≥5$
C.$1<m<5$
D.$m≤1$
B
)A.$m<1或m>5$
B.$m≤1或m≥5$
C.$1<m<5$
D.$m≤1$
答案:
B
16. 如图,从汽车灯的点$O处发出的一束光线经灯的反光罩反射后沿CO$方向平行射出(所有的反射光线都平行).已知入射光线$OA的反射光线为AB,∠OAB= 75^{\circ }$.在图中的截面内,若入射光线$OD经反光罩反射后沿DE$射出,且$∠ODE= 22^{\circ }$,求$∠AOD$的度数.嘉嘉求的结果是$97^{\circ }$.淇淇说:“嘉嘉求的结果不完全正确,还应该有另外一个值.”下列判断正确的是(

A.淇淇说得对,且$∠AOD的另一个值是53^{\circ }$
B.淇淇说得不对,$∠AOD就是97^{\circ }$
C.嘉嘉求的结果不对,$∠AOD应是87^{\circ }$
D.两人都不对,$∠AOD应有3$个不同值
A
)A.淇淇说得对,且$∠AOD的另一个值是53^{\circ }$
B.淇淇说得不对,$∠AOD就是97^{\circ }$
C.嘉嘉求的结果不对,$∠AOD应是87^{\circ }$
D.两人都不对,$∠AOD应有3$个不同值
答案:
A
17. 如图所示的是一把剪刀的示意图,手柄$∠AOB= 15^{\circ }$,要想使刀口的角度$∠COD达到40^{\circ }$,则手柄$∠AOB$应

增加
(填“增加”或“减小”)25
$^{\circ }$.
答案:
增加 25
18. $a的算术平方根是\sqrt {2},\frac {1}{2}b-1的立方根是1$.
(1)$a$的值为
(2)$2a+b$的立方根是
(1)$a$的值为
2
;(2)$2a+b$的立方根是
2
.
答案:
(1)2
(2)2
(1)2
(2)2
查看更多完整答案,请扫码查看