2026年零差错高中数学必修第一册人教版
注:目前有些书本章节名称可能整理的还不是很完善,但都是按照顺序排列的,请同学们按照顺序仔细查找。练习册 2026年零差错高中数学必修第一册人教版 答案主要是用来给同学们做完题方便对答案用的,请勿直接抄袭。
第76页
- 第1页
- 第2页
- 第3页
- 第4页
- 第5页
- 第6页
- 第7页
- 第8页
- 第9页
- 第10页
- 第11页
- 第12页
- 第13页
- 第14页
- 第15页
- 第16页
- 第17页
- 第18页
- 第19页
- 第20页
- 第21页
- 第22页
- 第23页
- 第24页
- 第25页
- 第26页
- 第27页
- 第28页
- 第29页
- 第30页
- 第31页
- 第32页
- 第33页
- 第34页
- 第35页
- 第36页
- 第37页
- 第38页
- 第39页
- 第40页
- 第41页
- 第42页
- 第43页
- 第44页
- 第45页
- 第46页
- 第47页
- 第48页
- 第49页
- 第50页
- 第51页
- 第52页
- 第53页
- 第54页
- 第55页
- 第56页
- 第57页
- 第58页
- 第59页
- 第60页
- 第61页
- 第62页
- 第63页
- 第64页
- 第65页
- 第66页
- 第67页
- 第68页
- 第69页
- 第70页
- 第71页
- 第72页
- 第73页
- 第74页
- 第75页
- 第76页
- 第77页
- 第78页
- 第79页
- 第80页
- 第81页
- 第82页
- 第83页
- 第84页
- 第85页
- 第86页
- 第87页
- 第88页
- 第89页
- 第90页
- 第91页
- 第92页
- 第93页
- 第94页
- 第95页
- 第96页
- 第97页
- 第98页
- 第99页
- 第100页
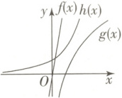
若函数$y_{1}=a· log_{2}x,y_{2}=b· 2x,y_{3}=c· 2^{x}$,则由图象可得$f(x),g(x),h(x)$依次对应的函数为(

A.$y_{1},y_{2},y_{3}$
B.$y_{2},y_{1},y_{3}$
C.$y_{3},y_{2},y_{1}$
D.$y_{1},y_{3},y_{2}$
B
)A.$y_{1},y_{2},y_{3}$
B.$y_{2},y_{1},y_{3}$
C.$y_{3},y_{2},y_{1}$
D.$y_{1},y_{3},y_{2}$
答案:
B [详解]由函数图象可得,$f(x)$为正比例函数,则对应函数为$y_2$;$g(x)$为对数型函数,则对应函数为$y_1$;$h(x)$为指数型函数,则对应函数为$y_3$.
1. 函数$f(x)=log_{2}|x|-1$的零点为(
A.2
B.-2
C.$(2,0)$或$(-2,0)$
D.2 和 -2
D
)A.2
B.-2
C.$(2,0)$或$(-2,0)$
D.2 和 -2
答案:
D [详解]令$f(x)=0$,则$\log_2|x|=1$,解得$x=2$或$x = - 2$.
2. 若函数$f(x)=x^{2}-ax+b$的两个零点是 2 和 3,则函数$g(x)=bx^{2}-ax-1$的零点是
1和$-\frac{1}{6}$
。
答案:
1和$-\frac{1}{6}$ [详解]
∵函数$f(x)=x^2 - ax + b$的两个零点是2和3,
∴$\begin{cases}2 + 3 = a\\2×3 = b\end{cases}$,解得$\begin{cases}a = 5\\b = 6\end{cases}$,
∴$g(x)=6x^2 - 5x - 1$,令$6x^2 - 5x - 1 = 0$,解得$x = -\frac{1}{6}$或1,
∴函数$g(x)$的零点为1和$-\frac{1}{6}$.
∵函数$f(x)=x^2 - ax + b$的两个零点是2和3,
∴$\begin{cases}2 + 3 = a\\2×3 = b\end{cases}$,解得$\begin{cases}a = 5\\b = 6\end{cases}$,
∴$g(x)=6x^2 - 5x - 1$,令$6x^2 - 5x - 1 = 0$,解得$x = -\frac{1}{6}$或1,
∴函数$g(x)$的零点为1和$-\frac{1}{6}$.
3. 函数$f(x)=\ln x+x^{2}$的零点所在区间为(参考数据:$\ln 2\approx 0.6931$)(
A.$(\frac {1}{e},\frac {1}{2})$
B.$(\frac {1}{2},1)$
C.$(1,e)$
D.$(1,e^{2})$
B
)A.$(\frac {1}{e},\frac {1}{2})$
B.$(\frac {1}{2},1)$
C.$(1,e)$
D.$(1,e^{2})$
答案:
B [详解]易知$f(x)$在定义域上单调递增,$f(\frac{1}{e})=\frac{1}{e^2}-1<0$,$f(\frac{1}{2})=\frac{1}{4}-\ln2<0$,则$f(\frac{1}{e})· f(\frac{1}{2})>0$,由零点存在定理知,故A错误;由$f(1)=1>0$,可得$f(\frac{1}{2})· f(1)<0$,故B正确;由$f(e)=\ln e + e^2=1 + e^2>0$,可得$f(1)· f(e)>0$,故C错误;由$f(e^2)=2 + e^4>0$,可得$f(1)· f(e^2)>0$,故D错误.
4. 函数$f(x)=e^{x}|\ln x|-e$的零点个数为(
A.1
B.2
C.3
D.4
B
)A.1
B.2
C.3
D.4
答案:
B [详解]令$f(x)=0$,则$|\ln x|=e^{1 - x}$,在同一平面直角坐标系中作出$y = |\ln x|$与$y = e^{1 - x}$的图象,如图所示,由图象可知:两个函数的图象恰有两个不同的交点,
∴函数$f(x)=e^x|\ln x|-e$有两个零点.
∴函数$f(x)=e^x|\ln x|-e$有两个零点.
1. 【题型三】方程$e^{x}+x-6=0$的零点所在的区间为(
A.$(0,1)$
B.$(1,2)$
C.$(2,3)$
D.$(3,4)$
B
)A.$(0,1)$
B.$(1,2)$
C.$(2,3)$
D.$(3,4)$
答案:
B [详解]令$f(x)=e^x + x - 6$,因为函数$y = e^x$,$y = x - 6$在$\mathbf{R}$上均为增函数,所以函数$f(x)=e^x + x - 6$在$\mathbf{R}$上为增函数,因为$f(0)= - 5<0$,$f(1)=e - 5<0$,$f(2)=e^2 - 4>0$,所以$f(1)· f(2)<0$,所以方程$e^x + x - 6 = 0$的零点所在的区间为$(1,2)$.
2. 【题型三】函数$f(x)=x^{3}+2^{x}-50$的零点所在区间为(
A.$(1,2)$
B.$(2,3)$
C.$(3,4)$
D.$(4,5)$
C
)A.$(1,2)$
B.$(2,3)$
C.$(3,4)$
D.$(4,5)$
答案:
C [详解]易知函数$f(x)=x^3 + 2^x - 50$是$\mathbf{R}$上的增函数,且$f(3)= - 15$,$f(4)=30$,即$f(3)· f(4)<0$,根据零点存在定理,知函数$f(x)=x^3 + 2^x - 50$的零点所在区间为$(3,4)$.
3. 【题型三】函数$f(x)=\ln x+x^{2}-3$的零点所在的区间为(
A.$(0,1)$
B.$(1,2)$
C.$(2,3)$
D.$(3,4)$
B
)A.$(0,1)$
B.$(1,2)$
C.$(2,3)$
D.$(3,4)$
答案:
B [详解]函数$y = \ln x$,$y = x^2 - 3$在$(0,+\infty)$上单调递增,则$f(x)$在$(0,+\infty)$上单调递增,在$(0,+\infty)$上有唯一零点.又$f(0)<f(1)= - 2<0$,$f(2)=\ln2 + 1>0$,$f(3)=\ln3 + 6>0$,$f(4)=2\ln2 + 13>0$,则函数$f(x)=\ln x + x^2 - 3$的零点所在区间为$(1,2)$.
4. 【题型二】(2025·吉林友好学校期末联考)已知$x_{0}$是函数$f(x)=(\frac {1}{3})^{x}-x+3$的一个零点,则$x_{0}$所在区间为(
A.$(1,2)$
B.$(2,3)$
C.$(3,4)$
D.$(4,5)$
C
)A.$(1,2)$
B.$(2,3)$
C.$(3,4)$
D.$(4,5)$
答案:
C [详解]函数$f(x)=(\frac{1}{3})^x$在区间$(1,+\infty)$上单调递减,函数$f(x)= - x + 3$在区间$(1,+\infty)$上单调递减,故函数$f(x)=(\frac{1}{3})^x - x + 3$在区间$(1,+\infty)$上单调递减,又$f(1)>f(2)>f(3)=\frac{1}{27}>0$,$f(5)<f(4)=\frac{1}{81}-1<0$,$f(x)=(\frac{1}{3})^x - x + 3$的图象在$(1,+\infty)$上是连续不断的,所以根据零点存在定理可知存在$x_0\in(3,4)$使得$f(x_0)=0$.
5. 【题型五】函数$f(x)=\begin{cases}2^{x}-1,x>0,\\-x^{2}-2x,x\leq0,\end{cases}$若实数$m\in(0,1)$,则方程$f(x)-m=0$的根的个数为(
A.0
B.1
C.2
D.3
D
)A.0
B.1
C.2
D.3
答案:
D [详解]令$g(x)=f(x)-m=0$,得$f(x)=m$,根据函数$f(x)$的解析式,作出图象,如图所示,因为$m\in(0,1)$,由图象可得出函数$g(x)=f(x)-m$的零点个数为3个.

D [详解]令$g(x)=f(x)-m=0$,得$f(x)=m$,根据函数$f(x)$的解析式,作出图象,如图所示,因为$m\in(0,1)$,由图象可得出函数$g(x)=f(x)-m$的零点个数为3个.
查看更多完整答案,请扫码查看