2026年点金训练精讲巧练高中数学选择性必修第二册人教A版
注:目前有些书本章节名称可能整理的还不是很完善,但都是按照顺序排列的,请同学们按照顺序仔细查找。练习册 2026年点金训练精讲巧练高中数学选择性必修第二册人教A版 答案主要是用来给同学们做完题方便对答案用的,请勿直接抄袭。
第79页
- 第1页
- 第2页
- 第3页
- 第4页
- 第5页
- 第6页
- 第7页
- 第8页
- 第9页
- 第10页
- 第11页
- 第12页
- 第13页
- 第14页
- 第15页
- 第16页
- 第17页
- 第18页
- 第19页
- 第20页
- 第21页
- 第22页
- 第23页
- 第24页
- 第25页
- 第26页
- 第27页
- 第28页
- 第29页
- 第30页
- 第31页
- 第32页
- 第33页
- 第34页
- 第35页
- 第36页
- 第37页
- 第38页
- 第39页
- 第40页
- 第41页
- 第42页
- 第43页
- 第44页
- 第45页
- 第46页
- 第47页
- 第48页
- 第49页
- 第50页
- 第51页
- 第52页
- 第53页
- 第54页
- 第55页
- 第56页
- 第57页
- 第58页
- 第59页
- 第60页
- 第61页
- 第62页
- 第63页
- 第64页
- 第65页
- 第66页
- 第67页
- 第68页
- 第69页
- 第70页
- 第71页
- 第72页
- 第73页
- 第74页
- 第75页
- 第76页
- 第77页
- 第78页
- 第79页
- 第80页
知识点一 判断函数 $ y = f(x) $ 的单调性的步骤
第1步,确定函数的
第2步,求出导数 $ f'(x) $ 的
第3步,用 $ f'(x) $ 的零点将 $ f(x) $ 的定义域划分为若干个区间,列表给出 $ f'(x) $ 在各区间上的
第1步,确定函数的
定义域
;第2步,求出导数 $ f'(x) $ 的
零点
;第3步,用 $ f'(x) $ 的零点将 $ f(x) $ 的定义域划分为若干个区间,列表给出 $ f'(x) $ 在各区间上的
正负
,由此得出函数 $ y = f(x) $ 在定义域内的单调性.
答案:
知识点一 定义域 零点 正负
一般地,设函数 $ y = f(x) $,在区间 $ (a,b) $ 上:

答案:
知识点二 较快 陡峭 较慢 平缓
1. 判断正误(正确的打“√”,错误的打“×”).
(1)利用导数求函数的单调区间时,要先确定函数的定义域. (
(2)如图,函数 $ y = f(x) $ 的图象在 $ (0,a) $ 内“陡峭”,在 $ (a,+\infty) $ 上“平缓”. (
(3)函数 $ y = ax^3 - 1(a\in\mathbf{R}) $ 在 $ \mathbf{R} $ 上单调递增. (

(1)利用导数求函数的单调区间时,要先确定函数的定义域. (
√
)(2)如图,函数 $ y = f(x) $ 的图象在 $ (0,a) $ 内“陡峭”,在 $ (a,+\infty) $ 上“平缓”. (
√
)(3)函数 $ y = ax^3 - 1(a\in\mathbf{R}) $ 在 $ \mathbf{R} $ 上单调递增. (
×
)
答案:
1.
(1)√
(2)√
(3)× 提示:$y^{\prime}=3ax^{2}$.当$a>0$时,$y^{\prime} \geqslant 0$,仅在$x=0$时$y^{\prime}=0$,所以函数在$\mathbf{R}$上单调递增;当$a<0$时,$y^{\prime} \leqslant 0$,仅在$x=0$时$y^{\prime}=0$,所以函数在$\mathbf{R}$上单调递减;当$a=0$时,$y^{\prime}=0$,函数在$\mathbf{R}$上不具备单调性.
(1)√
(2)√
(3)× 提示:$y^{\prime}=3ax^{2}$.当$a>0$时,$y^{\prime} \geqslant 0$,仅在$x=0$时$y^{\prime}=0$,所以函数在$\mathbf{R}$上单调递增;当$a<0$时,$y^{\prime} \leqslant 0$,仅在$x=0$时$y^{\prime}=0$,所以函数在$\mathbf{R}$上单调递减;当$a=0$时,$y^{\prime}=0$,函数在$\mathbf{R}$上不具备单调性.
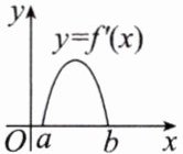
2. 已知 $ f'(x) $ 是 $ f(x) $ 的导函数,$ f'(x) $ 的图象如图所示,则 $ f(x) $ 的图象只可能是(


D
)
答案:
2.D 解析:从$f^{\prime}(x)$的图象可以看出,在区间$(a,b)$上,$f^{\prime}(x)$先增后减,所以$f(x)$的图象先越来越陡,之后越来越平缓,只有选项D符合.
3. 请思考并回答下列问题:
(1)若在某区间上有有限个点使 $ f'(x) = 0 $,其余的点恒有 $ f'(x) > 0 $,则 $ f(x) $ 仍单调递增吗?
(2)可导函数 $ f(x) $ 在区间 $ (a,b) $ 上单调递增的充要条件是什么?
(1)若在某区间上有有限个点使 $ f'(x) = 0 $,其余的点恒有 $ f'(x) > 0 $,则 $ f(x) $ 仍单调递增吗?
(2)可导函数 $ f(x) $ 在区间 $ (a,b) $ 上单调递增的充要条件是什么?
答案:
3.
(1)提示:$f(x)$仍单调递增(单调递减的情形类似).
(2)提示:可导函数$f(x)$在区间$(a,b)$上单调递增的充要条件是对任意的$x \in (a,b)$,都有$f^{\prime}(x) \geqslant 0$,且在$(a,b)$的任一非空子区间上$f^{\prime}(x)$不恒为0.
(1)提示:$f(x)$仍单调递增(单调递减的情形类似).
(2)提示:可导函数$f(x)$在区间$(a,b)$上单调递增的充要条件是对任意的$x \in (a,b)$,都有$f^{\prime}(x) \geqslant 0$,且在$(a,b)$的任一非空子区间上$f^{\prime}(x)$不恒为0.
查看更多完整答案,请扫码查看