第30页
- 第1页
- 第2页
- 第3页
- 第4页
- 第5页
- 第6页
- 第7页
- 第8页
- 第9页
- 第10页
- 第11页
- 第12页
- 第13页
- 第14页
- 第15页
- 第16页
- 第17页
- 第18页
- 第19页
- 第20页
- 第21页
- 第22页
- 第23页
- 第24页
- 第25页
- 第26页
- 第27页
- 第28页
- 第29页
- 第30页
- 第31页
- 第32页
- 第33页
- 第34页
- 第35页
- 第36页
- 第37页
- 第38页
- 第39页
- 第40页
- 第41页
- 第42页
- 第43页
- 第44页
- 第45页
- 第46页
- 第47页
- 第48页
- 第49页
- 第50页
- 第51页
- 第52页
- 第53页
- 第54页
- 第55页
- 第56页
- 第57页
- 第58页
- 第59页
- 第60页
- 第61页
- 第62页
- 第63页
- 第64页
- 第65页
- 第66页
- 第67页
- 第68页
- 第69页
- 第70页
- 第71页
- 第72页
- 第73页
- 第74页
- 第75页
- 第76页
- 第77页
- 第78页
- 第79页
- 第80页
- 第81页
- 第82页
- 第83页
- 第84页
- 第85页
- 第86页
- 第87页
- 第88页
- 第89页
- 第90页
- 第91页
- 第92页
- 第93页
- 第94页
- 第95页
- 第96页
- 第97页
- 第98页
- 第99页
- 第100页
- 第101页
- 第102页
- 第103页
- 第104页
- 第105页
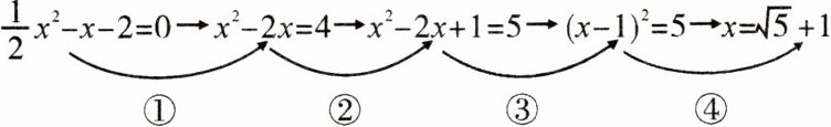
1. (2 分)下列用配方法解方程 $\frac{1}{2}x^{2}-x - 2 = 0$ 的四个步骤中,出现错误的是(

A.①
B.②
C.③
D.④
D
)A.①
B.②
C.③
D.④
答案:
D
2. (3 分)用配方法解一元二次方程 $2x^{2}-4x = 5$ 时,配方正确的是(
A.$(x - 1)^{2} = \frac{7}{2}$
B.$(x + 1)^{2} = \frac{7}{2}$
C.$(x - 1)^{2} = \frac{5}{2}$
D.$(x + 1)^{2} = \frac{5}{2}$
A
)A.$(x - 1)^{2} = \frac{7}{2}$
B.$(x + 1)^{2} = \frac{7}{2}$
C.$(x - 1)^{2} = \frac{5}{2}$
D.$(x + 1)^{2} = \frac{5}{2}$
答案:
A
3. (3 分)用配方法解一元二次方程 $2x^{2}+8x + 3 = 0$ 时,将其变形为 $(x + h)^{2} = k$ 的形式,则 $h = $
2
,$k = $$\frac{5}{2}$
.
答案:
2 $\frac{5}{2}$
4. (10 分)用配方法解方程:$3x^{2}-6x - 1 = 0$.
解:移项,得 $3x^{2}-6x = $
系数化为 1,得 $x^{2}-2x = $
配方,得 $x^{2}-2x +$
即(
两边开平方,得
$\therefore x_{1} = $
解:移项,得 $3x^{2}-6x = $
1
,系数化为 1,得 $x^{2}-2x = $
$\frac{1}{3}$
,配方,得 $x^{2}-2x +$
1
$=$$\frac{1}{3}$
$+$1
,即(
$x-1$
)$^{2} = $$\frac{4}{3}$
,两边开平方,得
$x-1$
$=$$\pm \frac{2\sqrt{3}}{3}$
,$\therefore x_{1} = $
$1+\frac{2\sqrt{3}}{3}$
,$x_{2} = $$1-\frac{2\sqrt{3}}{3}$
.
答案:
1 $\frac{1}{3}$ 1 $\frac{1}{3}$ 1 $x-1$ $\frac{4}{3}$ $x-1$ $\pm \frac{2\sqrt{3}}{3}$ $1+\frac{2\sqrt{3}}{3}$ $1-\frac{2\sqrt{3}}{3}$
5. (12 分)解下列方程:
(1) $2x^{2}+4x - 5 = 0$;
(2) $4x^{2}-8x + 1 = 0$;
(3) $2x^{2}-7x + 6 = 0$;
(4) $3x^{2}+4x - 4 = 0$.
(1) $2x^{2}+4x - 5 = 0$;
(2) $4x^{2}-8x + 1 = 0$;
(3) $2x^{2}-7x + 6 = 0$;
(4) $3x^{2}+4x - 4 = 0$.
答案:
解:
(1)$x_{1}=-1+\frac{\sqrt{14}}{2}$,$x_{2}=-1-\frac{\sqrt{14}}{2}$
(2)$x_{1}=1+\frac{\sqrt{3}}{2}$,$x_{2}=1-\frac{\sqrt{3}}{2}$
(3)$x_{1}=2$,$x_{2}=\frac{3}{2}$
(4)$x_{1}=\frac{2}{3}$,$x_{2}=-2$
(1)$x_{1}=-1+\frac{\sqrt{14}}{2}$,$x_{2}=-1-\frac{\sqrt{14}}{2}$
(2)$x_{1}=1+\frac{\sqrt{3}}{2}$,$x_{2}=1-\frac{\sqrt{3}}{2}$
(3)$x_{1}=2$,$x_{2}=\frac{3}{2}$
(4)$x_{1}=\frac{2}{3}$,$x_{2}=-2$
6. (10 分)(教材 P38“做一做”变式)以 40 m/s 的速度将小球沿与地面成 $30^{\circ}$ 角的方向击出时,如果不考虑空气阻力,小球的飞行高度 $h$(m)与飞行时间 $t$(s)之间具有函数关系 $h = 20t - 5t^{2}$.
(1) 经过多长时间小球飞出的高度为 15 m?
(2) 经过多长时间小球又落回地面上?
(1) 经过多长时间小球飞出的高度为 15 m?
(2) 经过多长时间小球又落回地面上?
答案:
解:
(1)当$h=20t-5t^{2}=15$时,解得$t_{1}=1$,$t_{2}=3$,$\therefore$经过1 s或3 s小球飞出的高度为15 m
(2)当小球又落回地面上时,$h=20t-5t^{2}=0$,解得$t_{1}=0$,$t_{2}=4$,$\therefore$经过$t_{2}-t_{1}=4(s)$小球又落回地面上.
(1)当$h=20t-5t^{2}=15$时,解得$t_{1}=1$,$t_{2}=3$,$\therefore$经过1 s或3 s小球飞出的高度为15 m
(2)当小球又落回地面上时,$h=20t-5t^{2}=0$,解得$t_{1}=0$,$t_{2}=4$,$\therefore$经过$t_{2}-t_{1}=4(s)$小球又落回地面上.
查看更多完整答案,请扫码查看