2025年同步练习河南大学出版社九年级物理全一册沪科版
注:目前有些书本章节名称可能整理的还不是很完善,但都是按照顺序排列的,请同学们按照顺序仔细查找。练习册 2025年同步练习河南大学出版社九年级物理全一册沪科版 答案主要是用来给同学们做完题方便对答案用的,请勿直接抄袭。
第94页
- 第1页
- 第2页
- 第3页
- 第4页
- 第5页
- 第6页
- 第7页
- 第8页
- 第9页
- 第10页
- 第11页
- 第12页
- 第13页
- 第14页
- 第15页
- 第16页
- 第17页
- 第18页
- 第19页
- 第20页
- 第21页
- 第22页
- 第23页
- 第24页
- 第25页
- 第26页
- 第27页
- 第28页
- 第29页
- 第30页
- 第31页
- 第32页
- 第33页
- 第34页
- 第35页
- 第36页
- 第37页
- 第38页
- 第39页
- 第40页
- 第41页
- 第42页
- 第43页
- 第44页
- 第45页
- 第46页
- 第47页
- 第48页
- 第49页
- 第50页
- 第51页
- 第52页
- 第53页
- 第54页
- 第55页
- 第56页
- 第57页
- 第58页
- 第59页
- 第60页
- 第61页
- 第62页
- 第63页
- 第64页
- 第65页
- 第66页
- 第67页
- 第68页
- 第69页
- 第70页
- 第71页
- 第72页
- 第73页
- 第74页
- 第75页
- 第76页
- 第77页
- 第78页
- 第79页
- 第80页
- 第81页
- 第82页
- 第83页
- 第84页
- 第85页
- 第86页
- 第87页
- 第88页
- 第89页
- 第90页
- 第91页
- 第92页
- 第93页
- 第94页
- 第95页
- 第96页
- 第97页
- 第98页
- 第99页
- 第100页
- 第101页
- 第102页
- 第103页
- 第104页
- 第105页
- 第106页
- 第107页
- 第108页
- 第109页
- 第110页
- 第111页
- 第112页
- 第113页
- 第114页
- 第115页
- 第116页
- 第117页
- 第118页
- 第119页
- 第120页
- 第121页
- 第122页
- 第123页
- 第124页
- 第125页
- 第126页
- 第127页
- 第128页
- 第129页
- 第130页
- 第131页
- 第132页
- 第133页
- 第134页
- 第135页
- 第136页
- 第137页
- 第138页
- 第139页
- 第140页
- 第141页
- 第142页
- 第143页
- 第144页
- 第145页
- 第146页
- 第147页
- 第148页
- 第149页
- 第150页
- 第151页
- 第152页
- 第153页
- 第154页
- 第155页
- 第156页
- 第157页
- 第158页
- 第159页
- 第160页
- 第161页
- 第162页
- 第163页
- 第164页
- 第165页
- 第166页
- 第167页
- 第168页
1. 家庭电路连接户外的供电电路的电线(进户线)通常有两根,一根是
火线
,一根是零线
。两根线之间的电压为220V
,零线
进户前已经与大地相连。
答案:
火线 零线 220V 零线
2. 如图所示,家庭电路的组成包括进户线、

电能表
、空气开关
、插座
、开关、电灯和其他用电器等。
答案:
电能表 空气开关 插座
3. 在家庭电路中,小明用测电笔接触插座的右孔时,手指要与测电笔的
笔尾金属体
接触,氖管发光,可知右孔内的电线与进户线中的火
线相连接。为了用电安全,必须把控制用电器的开关接在用电器和火线之间
,螺口灯的螺旋金属一定要接在零线
上,用电器的金属外壳必须接地
。
答案:
笔尾金属体 火 用电器和火线之间 零线 接地
4. 家庭电路中的触电事故,都是人体直接或间接接触
火线
引起的。
答案:
火线
5. 家庭电路的安装应当符合
安全用电
的要求。不要弄湿用电器;保护好用电器的绝缘体
,不裸露电线。在户外,不要靠近高压带电体
。
答案:
安全用电 绝缘体 高压带电体
1. 家庭电路中,电灯与插座之间是

并
联的。如图所示,在老师的指导下,小明学习使用测电笔,用指尖抵住笔尾金属体,测电笔的氖管发光,则有
(选填“有”或“没有”)电流通过小明的身体。
答案:
并 有
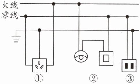
2. 如图为部分家庭电路示意图,其中连接正确的是(

A.①
B.②
C.①③
D.②③
A
)A.①
B.②
C.①③
D.②③
答案:
A
3. 关于家庭电路中的“开关”,下列说法正确的是(
A.总开关应安装在保险装置的后面
B.总开关的作用是便于在检修电路和更换元件时切断电源
C.控制用电器的开关要连接在零线和用电器之间
D.控制用电器的开关短接时可引起空气开关跳闸
B
)A.总开关应安装在保险装置的后面
B.总开关的作用是便于在检修电路和更换元件时切断电源
C.控制用电器的开关要连接在零线和用电器之间
D.控制用电器的开关短接时可引起空气开关跳闸
答案:
B
查看更多完整答案,请扫码查看