2025年时习之暑假衔接七年级数学人教版
注:目前有些书本章节名称可能整理的还不是很完善,但都是按照顺序排列的,请同学们按照顺序仔细查找。练习册 2025年时习之暑假衔接七年级数学人教版 答案主要是用来给同学们做完题方便对答案用的,请勿直接抄袭。
第3页
- 第1页
- 第2页
- 第3页
- 第4页
- 第5页
- 第6页
- 第7页
- 第8页
- 第9页
- 第10页
- 第11页
- 第12页
- 第13页
- 第14页
- 第15页
- 第16页
- 第17页
- 第18页
- 第19页
- 第20页
- 第21页
- 第22页
- 第23页
- 第24页
- 第25页
- 第26页
- 第27页
- 第28页
- 第29页
- 第30页
- 第31页
- 第32页
- 第33页
- 第34页
- 第35页
- 第36页
- 第37页
- 第38页
- 第39页
- 第40页
- 第41页
- 第42页
- 第43页
- 第44页
- 第45页
- 第46页
- 第47页
- 第48页
- 第49页
- 第50页
- 第51页
- 第52页
- 第53页
- 第54页
- 第55页
- 第56页
- 第57页
- 第58页
- 第59页
- 第60页
- 第61页
- 第62页
- 第63页
- 第64页
- 第65页
- 第66页
- 第67页
- 第68页
13.如图,三角形$ABC的两边AB$,$AC被DE$所截,下列判断错误的是( )

A.$\angle1与\angle B$是同位角
B.$\angle2与\angle C$是同旁内角
C.$\angle1与\angle2$是内错角
D.$\angle A与\angle C$为同位角
A.$\angle1与\angle B$是同位角
B.$\angle2与\angle C$是同旁内角
C.$\angle1与\angle2$是内错角
D.$\angle A与\angle C$为同位角
答案:
D
14.下列图形中,$\angle1与\angle2$是同位角的是( )

A.①②
B.②③④
C.①②③
D.①②③④
A.①②
B.②③④
C.①②③
D.①②③④
答案:
A
15.如图,由下列条件不能得到$AB// CD$的是( )

A.$\angle B+\angle BCD= 180^{\circ}$
B.$\angle1= \angle2$
C.$\angle3= \angle4$
D.$\angle B= \angle5$
A.$\angle B+\angle BCD= 180^{\circ}$
B.$\angle1= \angle2$
C.$\angle3= \angle4$
D.$\angle B= \angle5$
答案:
B
16.如图,$BC\perp AE于点C$,$CD// AB$,$\angle B= 40^{\circ}$,则$\angle1$等于( )

A.$50^{\circ}$
B.$40^{\circ}$
C.$55^{\circ}$
D.$45^{\circ}$
A.$50^{\circ}$
B.$40^{\circ}$
C.$55^{\circ}$
D.$45^{\circ}$
答案:
A
17.如图,把一个长方形纸片沿$EF$折叠后,点$D$,$C分别落在点D'$,$C'$的位置.若$\angle EFB= 65^{\circ}$,则$\angle AED'$等于( )

A.$70^{\circ}$
B.$65^{\circ}$
C.$50^{\circ}$
D.$25^{\circ}$
A.$70^{\circ}$
B.$65^{\circ}$
C.$50^{\circ}$
D.$25^{\circ}$
答案:
C
18.图①是一个安全用电标记图案的内部,可以抽象为图②的几何图形,其中$BE// CF$.若$\angle AFC= 80^{\circ}$,则$\angle BEA$的度数是______.

答案:
$100^{\circ }$
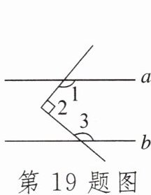
19.如图,已知直线$a// b$,$\angle1= 130^{\circ}$,$\angle2= 90^{\circ}$,则$\angle3= $______$^{\circ}$.

答案:
140
20.如图,已知$\angle B= \angle BCD$,$\angle A= \angle F$,试说明:$CD// EF$.

答案:
$\because ∠B=∠BCD,\therefore AB// CD.\because ∠A=∠F,\therefore AB// EF.$
$\therefore CD// EF.$
$\therefore CD// EF.$
21.如图,已知$DE\perp AC$,$\angle AGF= \angle ABC$,$\angle1+\angle2= 180^{\circ}$,试判断$BF与AC$的位置关系,并说明理由.

答案:
$BF⊥AC$.理由如下:$\because ∠AGF=∠ABC,\therefore GF// BC.\therefore ∠1=$
$∠3$.又$\because ∠1+∠2=180^{\circ },\therefore ∠2+∠3=180^{\circ }.\therefore DE// BF$.又
$\because DE⊥AC,\therefore BF⊥AC.$
$∠3$.又$\because ∠1+∠2=180^{\circ },\therefore ∠2+∠3=180^{\circ }.\therefore DE// BF$.又
$\because DE⊥AC,\therefore BF⊥AC.$
1.如图,已知直线$a$,$b被直线c$所截,那么$\angle1$的同位角是( )

A.$\angle2$
B.$\angle3$
C.$\angle4$
D.$\angle5$
A.$\angle2$
B.$\angle3$
C.$\angle4$
D.$\angle5$
答案:
B
2.如图,直线$m// n$,则$\angle\alpha$为( )

A.$70^{\circ}$
B.$65^{\circ}$
C.$50^{\circ}$
D.$40^{\circ}$
A.$70^{\circ}$
B.$65^{\circ}$
C.$50^{\circ}$
D.$40^{\circ}$
答案:
C
3.如图,已知$AB$,$CD$,$EF三条直线交于点O$,且$OE\perp AB$,$\angle COE= 20^{\circ}$,$OG平分\angle BOD$,则$\angle DOG$的度数是( )

A.$20^{\circ}$
B.$30^{\circ}$
C.$35^{\circ}$
D.$40^{\circ}$
A.$20^{\circ}$
B.$30^{\circ}$
C.$35^{\circ}$
D.$40^{\circ}$
答案:
C
查看更多完整答案,请扫码查看