2025年时习之暑假衔接七年级数学人教版
注:目前有些书本章节名称可能整理的还不是很完善,但都是按照顺序排列的,请同学们按照顺序仔细查找。练习册 2025年时习之暑假衔接七年级数学人教版 答案主要是用来给同学们做完题方便对答案用的,请勿直接抄袭。
第15页
- 第1页
- 第2页
- 第3页
- 第4页
- 第5页
- 第6页
- 第7页
- 第8页
- 第9页
- 第10页
- 第11页
- 第12页
- 第13页
- 第14页
- 第15页
- 第16页
- 第17页
- 第18页
- 第19页
- 第20页
- 第21页
- 第22页
- 第23页
- 第24页
- 第25页
- 第26页
- 第27页
- 第28页
- 第29页
- 第30页
- 第31页
- 第32页
- 第33页
- 第34页
- 第35页
- 第36页
- 第37页
- 第38页
- 第39页
- 第40页
- 第41页
- 第42页
- 第43页
- 第44页
- 第45页
- 第46页
- 第47页
- 第48页
- 第49页
- 第50页
- 第51页
- 第52页
- 第53页
- 第54页
- 第55页
- 第56页
- 第57页
- 第58页
- 第59页
- 第60页
- 第61页
- 第62页
- 第63页
- 第64页
- 第65页
- 第66页
- 第67页
- 第68页
解方程组:
(1)$\left\{\begin{array}{l} 2x+y= 2,\\ 8x+3y= 9;\end{array} \right. $
(2)$\left\{\begin{array}{l} 2x-5y= -21,\\ 4x+3y= 23;\end{array} \right. $
(3)$\left\{\begin{array}{l} 3x+y= 22,\\ 4(x+y)-5(x-y)= 2;\end{array} \right. $
(4)$\left\{\begin{array}{l} \frac {x-2}{3}-\frac {y+1}{2}= 2,\\ \frac {2x+1}{4}+\frac {y-6}{3}= 3;\end{array} \right. $
(5)$\left\{\begin{array}{l} x+y+z= 26,\\ x-y= 1,\\ 2x+z-y= 18.\end{array} \right. $
(1)$\left\{\begin{array}{l} 2x+y= 2,\\ 8x+3y= 9;\end{array} \right. $
(2)$\left\{\begin{array}{l} 2x-5y= -21,\\ 4x+3y= 23;\end{array} \right. $
(3)$\left\{\begin{array}{l} 3x+y= 22,\\ 4(x+y)-5(x-y)= 2;\end{array} \right. $
(4)$\left\{\begin{array}{l} \frac {x-2}{3}-\frac {y+1}{2}= 2,\\ \frac {2x+1}{4}+\frac {y-6}{3}= 3;\end{array} \right. $
(5)$\left\{\begin{array}{l} x+y+z= 26,\\ x-y= 1,\\ 2x+z-y= 18.\end{array} \right. $
答案:
(1)$\left\{\begin{array}{l} x=\frac {3}{2},\\ y=-1.\end{array}\right. $
(2)$\left\{\begin{array}{l} x=2,\\ y=5.\end{array}\right. $
(3)$\left\{\begin{array}{l} x=7,\\ y=1.\end{array}\right. $
(4)$\left\{\begin{array}{l} x=9.5,\\ y=0.\end{array}\right. $
(5)$\left\{\begin{array}{l} x=10,\\ y=9,\\ z=7.\end{array}\right. $
(1)$\left\{\begin{array}{l} x=\frac {3}{2},\\ y=-1.\end{array}\right. $
(2)$\left\{\begin{array}{l} x=2,\\ y=5.\end{array}\right. $
(3)$\left\{\begin{array}{l} x=7,\\ y=1.\end{array}\right. $
(4)$\left\{\begin{array}{l} x=9.5,\\ y=0.\end{array}\right. $
(5)$\left\{\begin{array}{l} x=10,\\ y=9,\\ z=7.\end{array}\right. $
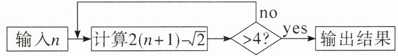
1.按如图所示的程序计算,若开始输入的n值为$\sqrt {2}$,则最后输出的结果是( )

A.2
B.$5-\sqrt {2}$
C.$6+\sqrt {2}$
D.$1+\sqrt {2}$
A.2
B.$5-\sqrt {2}$
C.$6+\sqrt {2}$
D.$1+\sqrt {2}$
答案:
C
2.已知$9.96^{2}\approx 99.2,9.97^{2}\approx 99.4,9.98^{2}\approx 99.6$,则$\sqrt {996000}$的个位数字约等于( )
A.0
B.4
C.6
D.8
A.0
B.4
C.6
D.8
答案:
D
3.已知$\sqrt [3]{68.8}\approx 4.098$,且$\sqrt [3]{-x}\approx 40.98$,则$x= $____.
答案:
-68800
4.计算下列各式的值:
$\sqrt {9^{2}+19}= $____;
$\sqrt {99^{2}+199}= $____;
$\sqrt {999^{2}+1999}= $____;
$\sqrt {9999^{2}+19999}= $____.
观察所得结果,总结存在的规律,应用得到的规律可得$\sqrt {\underbrace {99... 9^{2}}_{2025个9}+\underbrace {199... 9}_{2025个9}}= $____.
$\sqrt {9^{2}+19}= $____;
$\sqrt {99^{2}+199}= $____;
$\sqrt {999^{2}+1999}= $____;
$\sqrt {9999^{2}+19999}= $____.
观察所得结果,总结存在的规律,应用得到的规律可得$\sqrt {\underbrace {99... 9^{2}}_{2025个9}+\underbrace {199... 9}_{2025个9}}= $____.
答案:
10 100 1000 10000 $10^{2025}$
查看更多完整答案,请扫码查看