2025年暑假总动员宁夏人民教育出版社七年级数学沪科版
注:目前有些书本章节名称可能整理的还不是很完善,但都是按照顺序排列的,请同学们按照顺序仔细查找。练习册 2025年暑假总动员宁夏人民教育出版社七年级数学沪科版 答案主要是用来给同学们做完题方便对答案用的,请勿直接抄袭。
第41页
- 第1页
- 第2页
- 第3页
- 第4页
- 第5页
- 第6页
- 第7页
- 第8页
- 第9页
- 第10页
- 第11页
- 第12页
- 第13页
- 第14页
- 第15页
- 第16页
- 第17页
- 第18页
- 第19页
- 第20页
- 第21页
- 第22页
- 第23页
- 第24页
- 第25页
- 第26页
- 第27页
- 第28页
- 第29页
- 第30页
- 第31页
- 第32页
- 第33页
- 第34页
- 第35页
- 第36页
- 第37页
- 第38页
- 第39页
- 第40页
- 第41页
- 第42页
- 第43页
- 第44页
- 第45页
- 第46页
- 第47页
- 第48页
- 第49页
- 第50页
- 第51页
- 第52页
- 第53页
- 第54页
- 第55页
- 第56页
- 第57页
- 第58页
- 第59页
- 第60页
- 第61页
- 第62页
- 第63页
- 第64页
- 第65页
- 第66页
- 第67页
- 第68页
- 第69页
- 第70页
- 第71页
- 第72页
- 第73页
- 第74页
8. 如图,在平面内,把矩形ABCD沿EF对折,若$∠1= 40^{\circ }$,则$∠AEF$等于 (

A. $115^{\circ }$
B. $110^{\circ }$
C. $120^{\circ }$
D. $65^{\circ }$
B
)A. $115^{\circ }$
B. $110^{\circ }$
C. $120^{\circ }$
D. $65^{\circ }$
答案:
B
9. 如图,将$△ABC$沿着点B到C的方向平移到$△DEF$的位置,$AB= 10,DO= 4$,平移距离为6,则阴影部分面积为 (
A. 42
B. 96
C. 84

D. 48
D
)A. 42
B. 96
C. 84
D. 48
答案:
D
10. 如图,将一块含有$60^{\circ }$角的直角三角板的两个顶点放在两条平行的直线a,b上,如果$∠2= 50^{\circ }$,那么$∠1$的度数为 (

A. $10^{\circ }$
B. $20^{\circ }$
C. $30^{\circ }$
D. $40^{\circ }$
A
)A. $10^{\circ }$
B. $20^{\circ }$
C. $30^{\circ }$
D. $40^{\circ }$
答案:
A
11. 如图所示,想在河堤两岸搭建一座桥,搭建方式最短的是
PN
,理由:垂线段最短
.
答案:
PN 垂线段最短
12. 如图,直线AB,CD相交于点O,$EO⊥AB$于点O,$∠EOD= 50^{\circ }$,则$∠BOC$的度数为

$140^{\circ}$
.
答案:
$140^{\circ}$
13. 如图,点E在AC的延长线上,对于给出的四个条件:①$∠3= ∠4$;②$∠1= ∠2$;③$∠A= $$∠DCE$;④$∠D+∠ABD= 180^{\circ }$.能判断$AB// $$CD$的有

3
个.
答案:
3
14. 夏季荷花盛开,为了便于游客领略“人从桥上过,如在河中行”的美好意境,某景点拟在如图所示的矩形荷塘上架设小桥.若荷塘周长为372m,且桥宽忽略不计,则小桥总长为
186 m
.
答案:
186 m
15. 如图,已知$AB// DE,∠ABC= 80^{\circ },∠CDE= $$140^{\circ }$,则$∠BCD= $
$40^{\circ}$
.
答案:
$40^{\circ}$
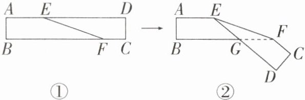
16. 如图①是长方形纸带,$∠DEF= 20^{\circ }$,将纸带沿EF折叠成图②,再沿BF折叠成图③,则图③中的$∠CFE$的度数是____


120°
.
答案:
$120^{\circ}$
查看更多完整答案,请扫码查看