2025年暑假总动员宁夏人民教育出版社七年级数学沪科版
注:目前有些书本章节名称可能整理的还不是很完善,但都是按照顺序排列的,请同学们按照顺序仔细查找。练习册 2025年暑假总动员宁夏人民教育出版社七年级数学沪科版 答案主要是用来给同学们做完题方便对答案用的,请勿直接抄袭。
第26页
- 第1页
- 第2页
- 第3页
- 第4页
- 第5页
- 第6页
- 第7页
- 第8页
- 第9页
- 第10页
- 第11页
- 第12页
- 第13页
- 第14页
- 第15页
- 第16页
- 第17页
- 第18页
- 第19页
- 第20页
- 第21页
- 第22页
- 第23页
- 第24页
- 第25页
- 第26页
- 第27页
- 第28页
- 第29页
- 第30页
- 第31页
- 第32页
- 第33页
- 第34页
- 第35页
- 第36页
- 第37页
- 第38页
- 第39页
- 第40页
- 第41页
- 第42页
- 第43页
- 第44页
- 第45页
- 第46页
- 第47页
- 第48页
- 第49页
- 第50页
- 第51页
- 第52页
- 第53页
- 第54页
- 第55页
- 第56页
- 第57页
- 第58页
- 第59页
- 第60页
- 第61页
- 第62页
- 第63页
- 第64页
- 第65页
- 第66页
- 第67页
- 第68页
- 第69页
- 第70页
- 第71页
- 第72页
- 第73页
- 第74页
1. 9的平方根是 (
A. 3 B. -3 C. 3和-3 D. 81
C
)A. 3 B. -3 C. 3和-3 D. 81
答案:
C
2. 下列实数中的无理数是 (
A. $\sqrt{1.21}$ B. $\sqrt[3]{-8}$
C. $\frac{\sqrt[3]{-3}}{2}$ D. $\frac{22}{7}$
C
)A. $\sqrt{1.21}$ B. $\sqrt[3]{-8}$
C. $\frac{\sqrt[3]{-3}}{2}$ D. $\frac{22}{7}$
答案:
C
3. 在实数$0,-\sqrt{3},-\frac{2}{3},|-2|$中,最小的是 (
A. $-\frac{2}{3}$ B. $-\sqrt{3}$
C. 0 D. $|-2|$
B
)A. $-\frac{2}{3}$ B. $-\sqrt{3}$
C. 0 D. $|-2|$
答案:
B
4. $\sqrt[3]{8}$的算术平方根是 (
A. 2 B. $\pm 2$ C. $\sqrt{2}$ D. $\pm \sqrt{2}$
C
)A. 2 B. $\pm 2$ C. $\sqrt{2}$ D. $\pm \sqrt{2}$
答案:
C
5. 若$m= \sqrt{22}$,则估计m所在的范围是 (
A. $1<m<2$ B. $2<m<3$
C. $3<m<4$ D. $4<m<5$
D
)A. $1<m<2$ B. $2<m<3$
C. $3<m<4$ D. $4<m<5$
答案:
D
6. 下列各式中计算正确的是 (
A. $\sqrt{(-7)^2}= -7$
B. $\sqrt{49}= \pm 7$
C. $\sqrt[3]{(-7)^3}= -7$
D. $(-\sqrt{7})^2= -7$
C
)A. $\sqrt{(-7)^2}= -7$
B. $\sqrt{49}= \pm 7$
C. $\sqrt[3]{(-7)^3}= -7$
D. $(-\sqrt{7})^2= -7$
答案:
C
7. 若$\sqrt{x+2}= 2$,则$2x+5$的平方根是 (
A. $\pm 3$ B. 3
C. 9 D. $\pm 9$
A
)A. $\pm 3$ B. 3
C. 9 D. $\pm 9$
答案:
A
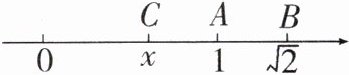
8. 如图,数轴上与$1,\sqrt{2}$对应的点分别为A,B,点B关于点A的对称点为点C,设点C表示的数为x,则x等于 (

A. $\sqrt{2}$ B. $\sqrt{2}-1$
C. $2-\sqrt{2}$ D. $\frac{1}{2}$
C
)A. $\sqrt{2}$ B. $\sqrt{2}-1$
C. $2-\sqrt{2}$ D. $\frac{1}{2}$
答案:
C
9. 已知$x<y<0$,设$M= |x|,N= |y|,P= \frac{|x+y|}{2},Q= \sqrt{xy}$,则M,N,P,Q的大小关系是 (
A. $M<Q<P<N$ B. $M<P<Q<N$
C. $Q<N<P<M$ D. $N<Q<P<M$
D
)A. $M<Q<P<N$ B. $M<P<Q<N$
C. $Q<N<P<M$ D. $N<Q<P<M$
答案:
D
10. 将$1,\sqrt{2},\sqrt{3},\sqrt{6}$按如图所示的方式排列.若规定$(m,n)$表示第m排从左向右第n个数,则$(5,4)与(15,7)$表示的两数之和是 (

A. $1+\sqrt{2}$ B. $\sqrt{2}+\sqrt{3}$
C. $\sqrt{3}+\sqrt{6}$ D. $\sqrt{2}+\sqrt{6}$
D
)A. $1+\sqrt{2}$ B. $\sqrt{2}+\sqrt{3}$
C. $\sqrt{3}+\sqrt{6}$ D. $\sqrt{2}+\sqrt{6}$
答案:
D
11. $\sqrt[3]{64}-\sqrt{64}=$
-4
.
答案:
-4
查看更多完整答案,请扫码查看