第4页
- 第1页
- 第2页
- 第3页
- 第4页
- 第5页
- 第6页
- 第7页
- 第8页
- 第9页
- 第10页
- 第11页
- 第12页
- 第13页
- 第14页
- 第15页
- 第16页
- 第17页
- 第18页
- 第19页
- 第20页
- 第21页
- 第22页
- 第23页
- 第24页
- 第25页
- 第26页
- 第27页
- 第28页
- 第29页
- 第30页
- 第31页
- 第32页
- 第33页
- 第34页
- 第35页
- 第36页
- 第37页
- 第38页
- 第39页
- 第40页
- 第41页
- 第42页
- 第43页
- 第44页
- 第45页
- 第46页
- 第47页
- 第48页
- 第49页
- 第50页
- 第51页
- 第52页
- 第53页
- 第54页
- 第55页
- 第56页
- 第57页
- 第58页
- 第59页
- 第60页
- 第61页
- 第62页
- 第63页
- 第64页
- 第65页
- 第66页
- 第67页
- 第68页
1. $-\frac{1}{3}$的倒数是()
A. -3
B. $-\frac{1}{3}$
C. $\frac{1}{3}$
D. 3
A. -3
B. $-\frac{1}{3}$
C. $\frac{1}{3}$
D. 3
答案:
A
2. 某市今天的最高气温为$7^{\circ}C$,最低气温为$-1^{\circ}C$。据天气预报,两天后有一股冷空气将影响该市,届时将降温约$5^{\circ}C$。则两天后该市的最低气温约为()
A. $2^{\circ}C$
B. $5^{\circ}C$
C. $-1^{\circ}C$
D. $-6^{\circ}C$
A. $2^{\circ}C$
B. $5^{\circ}C$
C. $-1^{\circ}C$
D. $-6^{\circ}C$
答案:
D
3. 下列各数中,最小的数是()
A. -3
B. $|-2|$
C. $(-3)^{2}$
D. $-3^{2}$
A. -3
B. $|-2|$
C. $(-3)^{2}$
D. $-3^{2}$
答案:
D
4. 某市去年年底机动车的数量是$2×10^{6}$辆,今年新增$3×10^{5}$辆,用科学记数法表示该市今年年底机动车的数量是()
A. $2.3×10^{5}$辆
B. $3.2×10^{5}$辆
C. $2.3×10^{6}$辆
D. $3.2×10^{6}$辆
A. $2.3×10^{5}$辆
B. $3.2×10^{5}$辆
C. $2.3×10^{6}$辆
D. $3.2×10^{6}$辆
答案:
C
5. 下列叙述正确的是()
A. 近似数$8.96×10^{4}$精确到百分位
B. 近似数5.3万精确到千位
C. 0.130精确到百分位
D. 若两个有理数的差大于0,则这两个有理数都大于0
A. 近似数$8.96×10^{4}$精确到百分位
B. 近似数5.3万精确到千位
C. 0.130精确到百分位
D. 若两个有理数的差大于0,则这两个有理数都大于0
答案:
B
6. 若a与b互为相反数,c与d互为倒数,m的绝对值为2,则$|m|-c×d+\frac{a+b}{m}$的值为()
A. 1
B. -2
C. 1或-3
D. $\frac{3}{2}或\frac{5}{2}$
A. 1
B. -2
C. 1或-3
D. $\frac{3}{2}或\frac{5}{2}$
答案:
A
7. 有理数a,b在数轴上的对应点如图所示,则下列式子中错误的是()

A. $a+b<0$
B. $a-b<0$
C. $-a<-b$
D. $|a-b|= b-a$
A. $a+b<0$
B. $a-b<0$
C. $-a<-b$
D. $|a-b|= b-a$
答案:
C
8. 若$|abc|= -abc$,且$abc≠0$,则$\frac{|a|}{a}+\frac{|b|}{b}+\frac{|c|}{c}= $()
A. 1或-3
B. -1或-3
C. ±1或±3
D. 无法判断
A. 1或-3
B. -1或-3
C. ±1或±3
D. 无法判断
答案:
A 解析:因为$|abc|=-abc$,且$abc≠0$,所以$abc$中负数有一个或三个,则原式$=1$或$-3$,故选 A.
9. (1)$-9-$______$=12$;
(2)$3-(-2)×4= $______。
(2)$3-(-2)×4= $______。
答案:
(1)$(-21)$
(2)11
(1)$(-21)$
(2)11
10. 最大的负整数、最小的正整数、绝对值最小的数的和是______。
答案:
0
11. 有理数a,b,c在数轴上的位置如图所示,则乘积$(c-b)(a-c)(b-c)$的符号为______。(填“+”或“-”)

答案:
-
12. 如果m,n,k均为整数,且$(m-n)^{2024}+(n-k)^{2025}= 1$,那么$(n-k)^{2026}= $______。
答案:
0 或 1
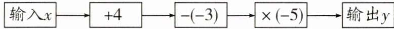
13. 如图是一个运算程序,若输入的x为-6,则输出的结果y为______。

答案:
-5
14. 一架直升机从高度为450m的位置开始,先以20m/s的速度上升60s后,再以12m/s的速度下降120s。这时直升机所在的高度为______。
答案:
210 m
查看更多完整答案,请扫码查看