第11页
- 第1页
- 第2页
- 第3页
- 第4页
- 第5页
- 第6页
- 第7页
- 第8页
- 第9页
- 第10页
- 第11页
- 第12页
- 第13页
- 第14页
- 第15页
- 第16页
- 第17页
- 第18页
- 第19页
- 第20页
- 第21页
- 第22页
- 第23页
- 第24页
- 第25页
- 第26页
- 第27页
- 第28页
- 第29页
- 第30页
- 第31页
- 第32页
- 第33页
- 第34页
- 第35页
- 第36页
- 第37页
- 第38页
- 第39页
- 第40页
- 第41页
- 第42页
- 第43页
- 第44页
- 第45页
- 第46页
- 第47页
- 第48页
- 第49页
- 第50页
- 第51页
- 第52页
- 第53页
- 第54页
- 第55页
- 第56页
- 第57页
- 第58页
- 第59页
- 第60页
- 第61页
- 第62页
- 第63页
- 第64页
- 第65页
- 第66页
- 第67页
- 第68页
13. 如果代数式$a+b= 3,ab= -4$,那么代数式$3ab-2b-2(ab+a)+1$的值等于____。
答案:
-9
14. 如图,数轴上点$A,B,C所对应的数分别为a,b,c$,化简$|a|+|c-b|-|a+b-c|= $____。

答案:
0
15. 汛期来临前,滨海区决定实施“海堤加固”工程,某工程队承包了该项目,计划每天加固6m。在施工前,得到气象部门的预报,近期有“台风”袭击滨海区,于是工程队改变计划,每天加固的海堤长度是原计划的1.5倍,这样恰好能赶在“台风”来临前完成加固任务。设滨海区要加固的海堤长为$a$m,则完成整个任务的实际时间比原计划时间少____天。(用含$a$的代数式表示)
答案:
$ \frac{a}{18} $
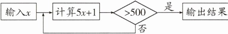
16. 按下面的程序计算,当输入$x= 100$时,输出结果为501;当输入$x= 20$时,输出结果为506;如果开始输入的值$x$为正整数,最后输出的结果为656,那么满足条件的$x$的值

是____。
是____。
答案:
131,26,5
17. (8分)计算:
(1)$3(3a^{2}-2ab)-2(4a^{2}-ab)$;
(2)$2x-[(x+3y)-3(x-2y)]$。
(1)$3(3a^{2}-2ab)-2(4a^{2}-ab)$;
(2)$2x-[(x+3y)-3(x-2y)]$。
答案:
(1) $ a^2 - 4ab $
(2) $ 4x - 9y $
(1) $ a^2 - 4ab $
(2) $ 4x - 9y $
18. (8分)$5x^{2}y-[3xy^{2}-3(xy-\frac {2}{3}x^{2}y)+xy]+3xy^{2}$,其中$x= 5,y= -\frac {1}{5}$。
答案:
原式 $ = 5x^2y - 3xy^2 + 3(xy - \frac{2}{3}x^2y) - xy + 3xy^2 $
$ = 5x^2y - 3xy^2 + 3xy - 2x^2y - xy + 3xy^2 $
$ = 3x^2y + 2xy $,
当 $ x = 5 $,$ y = -\frac{1}{5} $ 时,
原式 $ = 3×5^2×(-\frac{1}{5}) + 2×5×(-\frac{1}{5}) $
$ = 3×25×(-\frac{1}{5}) - 2 = -15 - 2 = -17 $。
$ = 5x^2y - 3xy^2 + 3xy - 2x^2y - xy + 3xy^2 $
$ = 3x^2y + 2xy $,
当 $ x = 5 $,$ y = -\frac{1}{5} $ 时,
原式 $ = 3×5^2×(-\frac{1}{5}) + 2×5×(-\frac{1}{5}) $
$ = 3×25×(-\frac{1}{5}) - 2 = -15 - 2 = -17 $。
19. (8分)已知多项式$a^{3}+\frac {1}{2}ab^{4}-a^{m+1}b-6$是六次多项式,单项式$2x^{7-m}y^{3n}$与该多项式的次数相同。求$m^{2}+n^{2}$的值。
答案:
由多项式 $ a^3 + \frac{1}{2}ab^4 - a^{m + 1}b - 6 $ 是六次多项式,得 $ m + 1 + 1 = 6 $,解得 $ m = 4 $。由单项式 $ 2x^{7 - m}y^{3n} $ 与该多项式的次数相同,得 $ 7 - 4 + 3n = 6 $,解得 $ n = 1 $,所以 $ m^2 + n^2 = 4^2 + 1^2 = 17 $。
20. (8分)小明在一次作业中计算一个多项式$M减去多项式5ab-3bc+2ac$时,忘了将式子$5ab-3bc+2ac$用括号括起来,计算出结果为$2ab-5bc+6ac$,试求出原题目的正确答案。
答案:
由题意可知 $ M - 5ab - 3bc + 2ac = 2ab - 5bc + 6ac $,
所以 $ M = 5ab + 3bc - 2ac + 2ab - 5bc + 6ac = 7ab - 2bc + 4ac $,
所以原题目的正确答案为
$ (7ab - 2bc + 4ac) - (5ab - 3bc + 2ac) $
$ = 7ab - 2bc + 4ac - 5ab + 3bc - 2ac $
$ = 2ab + bc + 2ac $。
所以 $ M = 5ab + 3bc - 2ac + 2ab - 5bc + 6ac = 7ab - 2bc + 4ac $,
所以原题目的正确答案为
$ (7ab - 2bc + 4ac) - (5ab - 3bc + 2ac) $
$ = 7ab - 2bc + 4ac - 5ab + 3bc - 2ac $
$ = 2ab + bc + 2ac $。
查看更多完整答案,请扫码查看