第6页
- 第1页
- 第2页
- 第3页
- 第4页
- 第5页
- 第6页
- 第7页
- 第8页
- 第9页
- 第10页
- 第11页
- 第12页
- 第13页
- 第14页
- 第15页
- 第16页
- 第17页
- 第18页
- 第19页
- 第20页
- 第21页
- 第22页
- 第23页
- 第24页
- 第25页
- 第26页
- 第27页
- 第28页
- 第29页
- 第30页
- 第31页
- 第32页
- 第33页
- 第34页
- 第35页
- 第36页
- 第37页
- 第38页
- 第39页
- 第40页
- 第41页
- 第42页
- 第43页
- 第44页
- 第45页
- 第46页
- 第47页
- 第48页
- 第49页
- 第50页
- 第51页
- 第52页
- 第53页
- 第54页
- 第55页
- 第56页
- 第57页
- 第58页
- 第59页
- 第60页
- 第61页
- 第62页
- 第63页
- 第64页
- 第65页
- 第66页
- 第67页
- 第68页
- 第69页
- 第70页
- 第71页
- 第72页
- 第73页
- 第74页
1. 反比例函数$y= -\frac {2}{x}$的图象大致是()

答案:
B
2. (娄底涟源市一模)若反比例函数$y= \frac {k-2}{x}$的图象经过第二、四象限,则k的值可能是()
A. 7
B. 5
C. 3
D. 1
A. 7
B. 5
C. 3
D. 1
答案:
D
3. 已知点$A(-2,5)在反比例函数y= \frac {k}{x}$的图象上,则k的值为____.
答案:
-10
4. 画出反比例函数$y= -\frac {12}{x}$的图象,并根据图象解答下列问题:
(1)当$y= -12$时,求x的值;
(2)比较$y= -\frac {12}{x}与y= \frac {12}{x}$的图象,它们有什么区别与联系?
(1)当$y= -12$时,求x的值;
(2)比较$y= -\frac {12}{x}与y= \frac {12}{x}$的图象,它们有什么区别与联系?
答案:
解:列表:
| $x$ | $\cdots$ | $-6$ | $-4$ | $-3$ | $-2$ | $2$ | $3$ | $4$ | $6$ | $\cdots$ |
| $y$ | $\cdots$ | $2$ | $3$ | $4$ | $6$ | $-6$ | $-4$ | $-3$ | $-2$ | $\cdots$ |
描点,连线,画图略.
(1)当$y=-12$时,$-12=-\frac {12}{x}$,解得$x=1$.
(2)区别:$y=\frac {12}{x}$的图象在第一、三象限,$y=-\frac {12}{x}$的图象在第二、四象限;联系:$y=-\frac {12}{x}$与$y=\frac {12}{x}$的图象既关于$x$轴对称,也关于$y$轴对称.
| $x$ | $\cdots$ | $-6$ | $-4$ | $-3$ | $-2$ | $2$ | $3$ | $4$ | $6$ | $\cdots$ |
| $y$ | $\cdots$ | $2$ | $3$ | $4$ | $6$ | $-6$ | $-4$ | $-3$ | $-2$ | $\cdots$ |
描点,连线,画图略.
(1)当$y=-12$时,$-12=-\frac {12}{x}$,解得$x=1$.
(2)区别:$y=\frac {12}{x}$的图象在第一、三象限,$y=-\frac {12}{x}$的图象在第二、四象限;联系:$y=-\frac {12}{x}$与$y=\frac {12}{x}$的图象既关于$x$轴对称,也关于$y$轴对称.
5. 反比例函数$y= -\frac {5}{x}(x>0)$的图象如图所示,则随着x值的增大,y的值()

A. 增大
B. 减小
C. 不变
D. 先增大后减小
A. 增大
B. 减小
C. 不变
D. 先增大后减小
答案:
A
6. (永州新田县期中)对于反比例函数$y= -\frac {3}{x}$,下列说法不正确的是()
A. 函数图象分布在第二、四象限
B. 当$x>0$时,x越大,图象越接近x轴
C. 函数图象关于原点中心对称
D. y随着x的增大而增大
A. 函数图象分布在第二、四象限
B. 当$x>0$时,x越大,图象越接近x轴
C. 函数图象关于原点中心对称
D. y随着x的增大而增大
答案:
D
7. 已知点$A(-2,y_{1}),B(-1,y_{2})都在反比例函数y= -\frac {2}{x}$的图象上,则$y_{1},y_{2}$与0的大小关系是____.
答案:
$y_{2}>y_{1}>0$
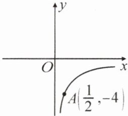
8. 如图是反比例函数$y= \frac {k}{x}$的图象的一部分.
(1)求k的值;
(2)点$B(-2,4)$在这个函数的图象上吗?
(3)写出这个函数y随x的变化趋势.

(1)求k的值;
(2)点$B(-2,4)$在这个函数的图象上吗?
(3)写出这个函数y随x的变化趋势.
答案:
解:
(1)把点$A(\frac {1}{2},-4)$代入$y=\frac {k}{x}$,得$k=\frac {1}{2}×(-4)=-2$.
(2)由
(1)得$y=-\frac {2}{x}$.当$x=-2$时,$y=-\frac {2}{-2}=1≠4$,$\therefore$点$B(-2,4)$不在这个函数的图象上.
(3)由
(1)得$y=-\frac {2}{x}$.$\because -2<0$,$\therefore$这个函数在每个象限内,$y$随$x$的增大而增大.
(1)把点$A(\frac {1}{2},-4)$代入$y=\frac {k}{x}$,得$k=\frac {1}{2}×(-4)=-2$.
(2)由
(1)得$y=-\frac {2}{x}$.当$x=-2$时,$y=-\frac {2}{-2}=1≠4$,$\therefore$点$B(-2,4)$不在这个函数的图象上.
(3)由
(1)得$y=-\frac {2}{x}$.$\because -2<0$,$\therefore$这个函数在每个象限内,$y$随$x$的增大而增大.
查看更多完整答案,请扫码查看