第46页
- 第1页
- 第2页
- 第3页
- 第4页
- 第5页
- 第6页
- 第7页
- 第8页
- 第9页
- 第10页
- 第11页
- 第12页
- 第13页
- 第14页
- 第15页
- 第16页
- 第17页
- 第18页
- 第19页
- 第20页
- 第21页
- 第22页
- 第23页
- 第24页
- 第25页
- 第26页
- 第27页
- 第28页
- 第29页
- 第30页
- 第31页
- 第32页
- 第33页
- 第34页
- 第35页
- 第36页
- 第37页
- 第38页
- 第39页
- 第40页
- 第41页
- 第42页
- 第43页
- 第44页
- 第45页
- 第46页
- 第47页
- 第48页
- 第49页
- 第50页
- 第51页
- 第52页
- 第53页
- 第54页
- 第55页
- 第56页
- 第57页
- 第58页
- 第59页
- 第60页
- 第61页
- 第62页
- 第63页
- 第64页
- 第65页
- 第66页
- 第67页
- 第68页
- 第69页
- 第70页
- 第71页
- 第72页
- 第73页
- 第74页
- 第75页
- 第76页
- 第77页
- 第78页
- 第79页
- 第80页
- 第81页
- 第82页
- 第83页
- 第84页
- 第85页
- 第86页
- 第87页
- 第88页
- 第89页
- 第90页
- 第91页
- 第92页
- 第93页
- 第94页
- 第95页
- 第96页
- 第97页
- 第98页
- 第99页
- 第100页
- 第101页
- 第102页
- 第103页
- 第104页
- 第105页
- 第106页
- 第107页
- 第108页
- 第109页
- 第110页
- 第111页
- 第112页
- 第113页
- 第114页
- 第115页
- 第116页
- 第117页
- 第118页
- 第119页
- 第120页
- 第121页
- 第122页
- 第123页
- 第124页
- 第125页
- 第126页
- 第127页
- 第128页
- 第129页
- 第130页
- 第131页
- 第132页
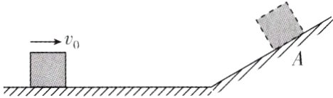
8. 核心素养 科学探究 如图一个木块在光滑水平面上以$v_{0}$的速度做匀速直线运动,冲上粗糙斜面后最终静止在A点。以下对木块受力分析的说法正确的是( )

A. 木块在水平面上匀速运动时,受到了重力、支持力、摩擦力的作用
B. 木块在斜面上受到的摩擦力方向会发生改变
C. 木块静止在A点时,不受摩擦力
D. 木块在斜面上时,受到了重力、支持力、压力、摩擦力的作用
A. 木块在水平面上匀速运动时,受到了重力、支持力、摩擦力的作用
B. 木块在斜面上受到的摩擦力方向会发生改变
C. 木块静止在A点时,不受摩擦力
D. 木块在斜面上时,受到了重力、支持力、压力、摩擦力的作用
答案:
B 解析:A. 木块在水平面上匀速运动时,由于水平面是光滑的,所以不受摩擦力,只受重力和支持力,故 A 错误;BC. 木块冲上粗糙斜面并沿斜面向上运动的过程中,与斜面发生了相对运动,斜面对木块会产生阻碍木块相对运动的力,方向沿斜面向下,当木块静止在 A 点时,木块相对斜面有下滑的趋势,此时斜面对木块有沿斜面向上的摩擦力,故 B 正确,故 C 错误;D. 木块在斜面上时受到的力有重力、支持力、摩擦力,压力是木块对斜面的作用,受力物体是斜面,不是木块受到的力,故 D 错误. 故选 B.
9. “水上飞行器”是近几年流行起来的一种水上表演项目,通过操纵水柱喷射的方向,人可以实现悬停、翻滚、飞行等各种复杂的动作,其原理是在喷射水柱的同时,______(填“人”“水”或“飞行器”,下同)对______也有力的作用,力的作用是______的。

答案:
水 飞行器 相互
10. 如图(a)(b)所示,某人用大小相同的力先后作用于同一根弹簧,观察比较两次作用的记录图,实验者两次施加力的______不同,产生的效果也不同,据此,我们初步得到影响力的作用效果的一个因素。如图(c)所示,开门时,用手施加大小相同的力在A处推比在B处更容易,这表明力的作用效果跟______有关。

答案:
方向 作用点
11. (2024·无锡东林中学期中)如图所示,是顾老师起跑时的情形,若鞋底与地面没有打滑,地面对鞋底的摩擦力方向是______(填“向前”或“向后”),顾老师站在滑板上和女儿进行拔河比赛,结果顾老师输了,分析缘由可知:虽然顾老师拉女儿的力______(填“大于”“小于”或“等于”,下同)女儿拉顾老师的力,但顾老师所受的摩擦力______女儿所受的摩擦力。

答案:
向前 等于 小于
12. 长为10 cm的弹簧下端挂上重4 N的物体后,弹簧长度变为12 cm,当弹簧的长度变为15 cm时(在弹性限度范围内),该弹簧下端所挂物体的重力为______。如图为一款宠物饮水器,其整体质量分布均匀,将饮水器里装满水,若宠物将水全部喝完,在此过程中,饮水器与水的整体重心位置变化情况为______。
答案:
10 N 先下降后上升 解析:当弹簧下端挂上一个重 4 N 的物体后弹簧的长度变为 12 cm,即弹簧的伸长量 $\Delta L = 12\ cm - 10\ cm = 2\ cm$;当弹簧的长度变为 15 cm 时,弹簧伸长量 $\Delta L' = 15\ cm - 10\ cm = 5\ cm$,在弹簧的弹性范围内弹簧的伸长量与受到的拉力成正比,则当弹簧的长度变为 15 cm 时,弹簧受到的拉力 $F' = \frac{F}{\Delta L}\Delta L' = \frac{4\ N}{2\ cm}×5\ cm = 10\ N$,即该弹簧下端所挂物体的重力为 10 N. 装满水的饮水器和水整体的重心在接近饮水器中心的位置,随着宠物不断喝水,饮水器整体重心位置不断下降,当水喝完后,空饮水器的重心又回到接近中心的位置,故此过程中,饮水器与水整体重心是先下降后上升.
13. (2024·无锡江阴市期中)如图为实验室的一种弹簧秤。把物体挂在弹簧秤上处于静止时,从右边刻度(单位为N)可以测出物体重力的大小,从左边刻度(单位为g)可以测出物体在地球上的质量近似值。已知同一物体在月球上的重力是地球上的六分之一,在地球和月球上正确操作,分别用同样大的力拉动弹簧秤,两次显示的示数______(填“相同”或“不相同”);现把该弹簧秤拿到月球上使用,在保持左、右两侧刻度线不变的情况下,左、右两侧刻度应该这样重新标注:左边刻度线对应的数值为______(填序号:“①保持原值不变”“②原值的六倍”或“③原值的六分之一”,下同),右边刻度线对应的数值为______。

答案:
相同 ② ① 解析:在地球和月球上正确操作,分别用同样大的力拉动弹簧秤,因力的大小相同,所以弹簧秤中的弹簧伸长相同,所以弹簧秤示数相同. 因为在地球和月球上正确操作,分别用同样大的力拉动弹簧秤,两次显示的示数相同,所以右边刻度线对应的数值应保持原值不变;同一物体质量不变,在月球上的重力是地球上的六分之一,则相同的重力下,月球上的物体质量是地球上的 6 倍,所以左侧标注的质量应是原值的六倍.
14. (3分)(2024·扬州梅岭中学期中)小徐同学发现挂在阳台上的风铃中有一悬挂着的月牙薄板金属物,无风时静止,如图所示。请你画出月牙状金属的重力示意图(B点为“月牙”中心,D点为“月牙”重心)。

答案:
如图所示
解析:D 点为“月牙”重心,从 D 点出发,沿竖直向下的方向画一条带箭头的线段来表示重力.
如图所示
解析:D 点为“月牙”重心,从 D 点出发,沿竖直向下的方向画一条带箭头的线段来表示重力.
查看更多完整答案,请扫码查看