第124页
- 第1页
- 第2页
- 第3页
- 第4页
- 第5页
- 第6页
- 第7页
- 第8页
- 第9页
- 第10页
- 第11页
- 第12页
- 第13页
- 第14页
- 第15页
- 第16页
- 第17页
- 第18页
- 第19页
- 第20页
- 第21页
- 第22页
- 第23页
- 第24页
- 第25页
- 第26页
- 第27页
- 第28页
- 第29页
- 第30页
- 第31页
- 第32页
- 第33页
- 第34页
- 第35页
- 第36页
- 第37页
- 第38页
- 第39页
- 第40页
- 第41页
- 第42页
- 第43页
- 第44页
- 第45页
- 第46页
- 第47页
- 第48页
- 第49页
- 第50页
- 第51页
- 第52页
- 第53页
- 第54页
- 第55页
- 第56页
- 第57页
- 第58页
- 第59页
- 第60页
- 第61页
- 第62页
- 第63页
- 第64页
- 第65页
- 第66页
- 第67页
- 第68页
- 第69页
- 第70页
- 第71页
- 第72页
- 第73页
- 第74页
- 第75页
- 第76页
- 第77页
- 第78页
- 第79页
- 第80页
- 第81页
- 第82页
- 第83页
- 第84页
- 第85页
- 第86页
- 第87页
- 第88页
- 第89页
- 第90页
- 第91页
- 第92页
- 第93页
- 第94页
- 第95页
- 第96页
- 第97页
- 第98页
- 第99页
- 第100页
- 第101页
- 第102页
- 第103页
- 第104页
- 第105页
- 第106页
- 第107页
- 第108页
- 第109页
- 第110页
- 第111页
- 第112页
- 第113页
- 第114页
- 第115页
- 第116页
- 第117页
- 第118页
- 第119页
- 第120页
- 第121页
- 第122页
- 第123页
- 第124页
- 第125页
- 第126页
- 第127页
- 第128页
- 第129页
- 第130页
- 第131页
- 第132页
1.(2024·新疆中考)下列各组粒子中,能构成原子的是 ( )
A. 质子、中子
B. 中子、电子
C. 原子核、中子
D. 原子核、电子
A. 质子、中子
B. 中子、电子
C. 原子核、中子
D. 原子核、电子
答案:
D
2. 新素材 科技前沿(2024·常州中考)壁画所处的环境相对封闭、幽暗、潮湿,易滋生微生物,导致壁画受损. 为此,中国航天科技集团研制出机器人,机器人高速喷射带负电的粒子杀灭微生物,从而保护壁画. 该粒子可能是 ( )
A. 电子
B. 原子核
C. 质子
D. 中子
A. 电子
B. 原子核
C. 质子
D. 中子
答案:
A
3. 为了揭示微观世界的奥秘,无数科学家进行了不懈的探索,下列说法中错误的是 ( )
A. 汤姆孙发现了电子,从而揭示了原子是可以再分的
B. 查德威克通过实验发现了中子
C. 盖尔曼提出质子和中子都是由被称为夸克的更小粒子组成的
D. 卢瑟福建立了原子结构的西瓜模型
A. 汤姆孙发现了电子,从而揭示了原子是可以再分的
B. 查德威克通过实验发现了中子
C. 盖尔曼提出质子和中子都是由被称为夸克的更小粒子组成的
D. 卢瑟福建立了原子结构的西瓜模型
答案:
D
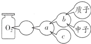
4.(2024·南通通州区期末)如图是某同学学习物质结构层次后,以氧气为例进行的梳理,下列选项中与a、b、c对应的是 ( )

A. 原子、原子核、核外电子
B. 原子核、原子、核外电子
C. 原子、核外电子、原子核
D. 核外电子、原子核、原子
A. 原子、原子核、核外电子
B. 原子核、原子、核外电子
C. 原子、核外电子、原子核
D. 核外电子、原子核、原子
答案:
A
5.(2023·广东中考)氦的原子模型示意图如图所示,原子核是 ________,核外电子是 ________,其中带负电的是 ________.(均填“A”或“B”)

答案:
BAA
6. 物质是由分子组成的,分子又是由原子组成的,原子是由原子核和 ________ 组成的;原子核是由带电的质子和不带电的中子组成的;________ 的发现,说明原子是可再分的. 科学家对原子的结构进行猜想和实验,并提出了多种模型. 在如图所示的两种模型中,________ (填“A”或“B”)是卢瑟福提出的原子核式结构模型.

答案:
核外电子 电子 B
7. 人类对于宇宙的探索是在一次次挫折中不断向前发展的,比如俄罗斯“福布斯—土壤”火星探测器在地球近地轨道上因主发动机启动失败而无法变轨. 经查,是太空中的带电粒子对机载计算机系统产生影响导致程序出错. 下列粒子中,可以排除对计算机系统产生影响的粒子是 ( )
A. 电子
B. 质子
C. 中子
D. 原子核
A. 电子
B. 质子
C. 中子
D. 原子核
答案:
C
8. 原子的中心是原子核,原子核周围有电子绕其运动,如图所示是“Li”的原子结构示意图. 通常情况下 ( )

A. 原子核由质子、中子和电子组成
B. 中子带正电荷,与电子带的负电荷在数量上相等
C. 原子核所带的正电荷与所有电子带的负电荷在数量上相等
D. 原子核、原子、电子、质子四种粒子,空间尺度最大的是原子核
A. 原子核由质子、中子和电子组成
B. 中子带正电荷,与电子带的负电荷在数量上相等
C. 原子核所带的正电荷与所有电子带的负电荷在数量上相等
D. 原子核、原子、电子、质子四种粒子,空间尺度最大的是原子核
答案:
C
查看更多完整答案,请扫码查看