第92页
- 第1页
- 第2页
- 第3页
- 第4页
- 第5页
- 第6页
- 第7页
- 第8页
- 第9页
- 第10页
- 第11页
- 第12页
- 第13页
- 第14页
- 第15页
- 第16页
- 第17页
- 第18页
- 第19页
- 第20页
- 第21页
- 第22页
- 第23页
- 第24页
- 第25页
- 第26页
- 第27页
- 第28页
- 第29页
- 第30页
- 第31页
- 第32页
- 第33页
- 第34页
- 第35页
- 第36页
- 第37页
- 第38页
- 第39页
- 第40页
- 第41页
- 第42页
- 第43页
- 第44页
- 第45页
- 第46页
- 第47页
- 第48页
- 第49页
- 第50页
- 第51页
- 第52页
- 第53页
- 第54页
- 第55页
- 第56页
- 第57页
- 第58页
- 第59页
- 第60页
- 第61页
- 第62页
- 第63页
- 第64页
- 第65页
- 第66页
- 第67页
- 第68页
- 第69页
- 第70页
- 第71页
- 第72页
- 第73页
- 第74页
- 第75页
- 第76页
- 第77页
- 第78页
- 第79页
- 第80页
- 第81页
- 第82页
- 第83页
- 第84页
- 第85页
- 第86页
- 第87页
- 第88页
- 第89页
- 第90页
- 第91页
- 第92页
- 第93页
- 第94页
- 第95页
- 第96页
- 第97页
- 第98页
- 第99页
- 第100页
- 第101页
- 第102页
- 第103页
- 第104页
- 第105页
- 第106页
- 第107页
- 第108页
- 第109页
- 第110页
- 第111页
- 第112页
- 第113页
- 第114页
- 第115页
- 第116页
- 第117页
- 第118页
- 第119页
- 第120页
- 第121页
- 第122页
- 第123页
- 第124页
- 第125页
- 第126页
- 第127页
- 第128页
- 第129页
- 第130页
- 第131页
- 第132页
- 第133页
- 第134页
- 第135页
- 第136页
- 第137页
- 第138页
- 第139页
- 第140页
- 第141页
- 第142页
- 第143页
- 第144页
- 第145页
- 第146页
- 第147页
- 第148页
- 第149页
- 第150页
- 第151页
- 第152页
- 第153页
- 第154页
- 第155页
- 第156页
- 第157页
- 第158页
- 第159页
- 第160页
- 第161页
- 第162页
- 第163页
- 第164页
- 第165页
- 第166页
- 第167页
- 第168页
- 第169页
- 第170页
- 第171页
- 第172页
- 第173页
- 第174页
- 第175页
- 第176页
- 第177页
- 第178页
- 第179页
- 第180页
- 第181页
- 第182页
- 第183页
- 第184页
- 第185页
- 第186页
- 第187页
- 第188页
5. 如图所示的电路中,闭合开关后,整个电路正常工作。若其中一盏灯突然熄灭,两只电表示数均变大,则该电路可能发生的故障为(

A.$ L_1 $ 短路
B.$ L_2 $ 短路
C.$ L_1 $ 断路
D.$ L_2 $ 断路
A
)A.$ L_1 $ 短路
B.$ L_2 $ 短路
C.$ L_1 $ 断路
D.$ L_2 $ 断路
答案:
A
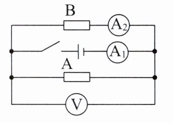
6. (2024·山东泰安中考)如图所示的电路中,电源电压保持不变。闭合开关后,电路中各元件正常工作,两个相同的电流表(均有 $ 0 \sim 0.6 \, A $,$ 0 \sim 3 \, A $ 两个测量范围)指针偏转的角度相同。一段时间后电流表 $ A_1 $ 指针偏转的角度突然变为原来的 $ \frac{1}{5} $,若定值电阻 $ A $ 或 $ B $ 出现了断路故障,其他元件均完好,则针对故障电路的观察分析,下列说法正确的是(

A.电压表示数为 $ 0 $
B.电流表 $ A_1 $ 的示数一定大于 $ A_2 $ 的示数
C.一定是定值电阻 $ A $ 出现了断路故障
D.一定是定值电阻 $ B $ 出现了断路故障
C
)A.电压表示数为 $ 0 $
B.电流表 $ A_1 $ 的示数一定大于 $ A_2 $ 的示数
C.一定是定值电阻 $ A $ 出现了断路故障
D.一定是定值电阻 $ B $ 出现了断路故障
答案:
C
7. 在如图所示的电路中,开关 $ S $ 闭合后,两灯均正常发光。若某一时刻,灯 $ L_1 $ 的灯丝突然被烧断,则下列说法正确的是(

A.两只电流表示数均变小
B.两只电流表示数均变大
C.$ A_1 $ 示数变小,$ A_2 $ 示数不变
D.$ A_1 $ 示数变大,$ A_2 $ 示数不变
C
)A.两只电流表示数均变小
B.两只电流表示数均变大
C.$ A_1 $ 示数变小,$ A_2 $ 示数不变
D.$ A_1 $ 示数变大,$ A_2 $ 示数不变
答案:
C
8. 如图所示,电源电压一定。关于电路的工作情况,下列说法正确的是(

A.同时闭合两个开关,通过两个灯泡的电流是相同的
B.若先闭合 $ S_1 $,再闭合 $ S_2 $,则电压表读数不变,电流表读数变大
C.若电压表和电流表位置对调,则闭合 $ S_1 $、$ S_2 $ 后,两表都被烧坏
D.若灯 $ L_1 $ 被短路,则闭合 $ S_1 $、$ S_2 $ 后,灯 $ L_1 $ 不亮,灯 $ L_2 $ 亮,电流表损坏
B
)A.同时闭合两个开关,通过两个灯泡的电流是相同的
B.若先闭合 $ S_1 $,再闭合 $ S_2 $,则电压表读数不变,电流表读数变大
C.若电压表和电流表位置对调,则闭合 $ S_1 $、$ S_2 $ 后,两表都被烧坏
D.若灯 $ L_1 $ 被短路,则闭合 $ S_1 $、$ S_2 $ 后,灯 $ L_1 $ 不亮,灯 $ L_2 $ 亮,电流表损坏
答案:
B
查看更多完整答案,请扫码查看