第65页
- 第1页
- 第2页
- 第3页
- 第4页
- 第5页
- 第6页
- 第7页
- 第8页
- 第9页
- 第10页
- 第11页
- 第12页
- 第13页
- 第14页
- 第15页
- 第16页
- 第17页
- 第18页
- 第19页
- 第20页
- 第21页
- 第22页
- 第23页
- 第24页
- 第25页
- 第26页
- 第27页
- 第28页
- 第29页
- 第30页
- 第31页
- 第32页
- 第33页
- 第34页
- 第35页
- 第36页
- 第37页
- 第38页
- 第39页
- 第40页
- 第41页
- 第42页
- 第43页
- 第44页
- 第45页
- 第46页
- 第47页
- 第48页
- 第49页
- 第50页
- 第51页
- 第52页
- 第53页
- 第54页
- 第55页
- 第56页
- 第57页
- 第58页
- 第59页
- 第60页
- 第61页
- 第62页
- 第63页
- 第64页
- 第65页
- 第66页
- 第67页
- 第68页
- 第69页
- 第70页
- 第71页
- 第72页
- 第73页
- 第74页
- 第75页
- 第76页
- 第77页
- 第78页
- 第79页
- 第80页
- 第81页
- 第82页
- 第83页
- 第84页
- 第85页
- 第86页
- 第87页
- 第88页
- 第89页
- 第90页
- 第91页
- 第92页
- 第93页
1 测量圆的周长可以用绕线和滚动的方法。
(1)如图1,经测量可知,直径是1 cm 的圆的周长大约为( )cm。(结果保留整数)
(2)如图2,圆从A点开始,沿着直尺向右滚动一周到达B点。请你在直尺上标出B点的大概位置。

(1)如图1,经测量可知,直径是1 cm 的圆的周长大约为( )cm。(结果保留整数)
(2)如图2,圆从A点开始,沿着直尺向右滚动一周到达B点。请你在直尺上标出B点的大概位置。
答案:
(1)3
解析 根据题图读数即可。
(2)

解析 圆的半径是1 cm,则周长是6.28 cm。从0的位置开始滚动,B点在6.28 cm的位置。
(1)3
解析 根据题图读数即可。
(2)
解析 圆的半径是1 cm,则周长是6.28 cm。从0的位置开始滚动,B点在6.28 cm的位置。
2 下面说法中正确的是(
A.将圆均分成两半,圆的周长是半圆的2倍
B.大圆的圆周率大于小圆的圆周率
C.半径相等的两个圆,周长也相等
D.圆的半径增加1 m,则周长增加2 m
C
)。A.将圆均分成两半,圆的周长是半圆的2倍
B.大圆的圆周率大于小圆的圆周率
C.半径相等的两个圆,周长也相等
D.圆的半径增加1 m,则周长增加2 m
答案:
C
解析 选项A:设直径为d,则圆的周长为πd,半圆的周长为πd÷2+d,说法错误。
选项B:无论大圆还是小圆,圆周率都是π,说法错误。
选项C:半径相等的两个圆,周长和面积也分别相等,说法正确。
选项D:设圆原来的半径为r,则圆的周长为2πr,圆的半径增加1 m后,周长变为2π(r + 1)m,即(2πr + 2π)m,比原来增加了2π m,说法错误。
解析 选项A:设直径为d,则圆的周长为πd,半圆的周长为πd÷2+d,说法错误。
选项B:无论大圆还是小圆,圆周率都是π,说法错误。
选项C:半径相等的两个圆,周长和面积也分别相等,说法正确。
选项D:设圆原来的半径为r,则圆的周长为2πr,圆的半径增加1 m后,周长变为2π(r + 1)m,即(2πr + 2π)m,比原来增加了2π m,说法错误。
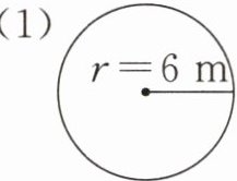
3 计算下面各圆的周长。


答案:
(1)2×3.14×6 = 37.68(m)
(2)3.14×8 = 25.12(cm)
解析 根据圆的周长公式进行计算即可。已知半径求周长:C = 2πr。已知直径求周长:C = πd。
(1)2×3.14×6 = 37.68(m)
(2)3.14×8 = 25.12(cm)
解析 根据圆的周长公式进行计算即可。已知半径求周长:C = 2πr。已知直径求周长:C = πd。
4 下面是一个滑轮装置,滑轮半径为10 cm。在运送重物时,滑轮转动1圈,重物将上升多少厘米?

答案:
2×3.14×10 = 62.8(cm)
答:重物将上升62.8 cm。
解析 求滑轮转动1圈,重物上升多少厘米,就是求滑轮的周长,根据圆的周长公式C = 2πr计算。
答:重物将上升62.8 cm。
解析 求滑轮转动1圈,重物上升多少厘米,就是求滑轮的周长,根据圆的周长公式C = 2πr计算。
5 下图中大圆的半径等于小圆的直径。你同意小丽的观点吗?请说明理由。

答案:
我同意小丽的观点。由题可知,如果设小圆的半径为r,那么大圆的半径为2r,大圆的周长 = 2π×2r = 4πr,小圆的周长 = 2πr。因此大圆周长:小圆周长 = 4πr:2πr = 2:1。
解析 本题的解题关键在于找到大圆与小圆的半径的关系,再结合圆的周长公式即可得出结论。
解析 本题的解题关键在于找到大圆与小圆的半径的关系,再结合圆的周长公式即可得出结论。
6 如下图,李叔叔和张叔叔分别用尼龙绳将4个完全相同的饮料罐捆在一起,这些饮料罐的圆形底面的直径都是8 cm,谁的捆扎方法更节省尼龙绳?请通过计算说明。(打结部分的长度相同)

答案:
李叔叔:6×8 + 3.14×8 = 73.12(cm)
张叔叔:4×8 + 3.14×8 = 57.12(cm)
57.12<73.12
答:张叔叔的捆扎方法更节省尼龙绳。
解析 分别求出李叔叔和张叔叔的捆扎方法所用尼龙绳的长度,再进行比较。打结部分长度相同,因此不计算。
李叔叔:6条圆的直径加上1个圆的周长。
张叔叔:4条圆的直径加上1个圆的周长。
张叔叔:4×8 + 3.14×8 = 57.12(cm)
57.12<73.12
答:张叔叔的捆扎方法更节省尼龙绳。
解析 分别求出李叔叔和张叔叔的捆扎方法所用尼龙绳的长度,再进行比较。打结部分长度相同,因此不计算。
李叔叔:6条圆的直径加上1个圆的周长。
张叔叔:4条圆的直径加上1个圆的周长。
查看更多完整答案,请扫码查看