第78页
- 第1页
- 第2页
- 第3页
- 第4页
- 第5页
- 第6页
- 第7页
- 第8页
- 第9页
- 第10页
- 第11页
- 第12页
- 第13页
- 第14页
- 第15页
- 第16页
- 第17页
- 第18页
- 第19页
- 第20页
- 第21页
- 第22页
- 第23页
- 第24页
- 第25页
- 第26页
- 第27页
- 第28页
- 第29页
- 第30页
- 第31页
- 第32页
- 第33页
- 第34页
- 第35页
- 第36页
- 第37页
- 第38页
- 第39页
- 第40页
- 第41页
- 第42页
- 第43页
- 第44页
- 第45页
- 第46页
- 第47页
- 第48页
- 第49页
- 第50页
- 第51页
- 第52页
- 第53页
- 第54页
- 第55页
- 第56页
- 第57页
- 第58页
- 第59页
- 第60页
- 第61页
- 第62页
- 第63页
- 第64页
- 第65页
- 第66页
- 第67页
- 第68页
- 第69页
- 第70页
- 第71页
- 第72页
- 第73页
- 第74页
- 第75页
- 第76页
- 第77页
- 第78页
- 第79页
- 第80页
19. 如图,点$A$,$B$,$C$在数轴上,点$O$为原点。线段$AB的长为12$,$BO = \frac{1}{2}AB$,$CA = \frac{1}{3}AB$。
(1)求线段$BC$的长;
(2)求数轴上点$C$表示的数;
(3)若点$D$在数轴上,且使$DA = \frac{2}{3}AB$,求点$D$表示的数。

(1)求线段$BC$的长;
(2)求数轴上点$C$表示的数;
(3)若点$D$在数轴上,且使$DA = \frac{2}{3}AB$,求点$D$表示的数。
答案:
(1)因为AB=12,$CA = \frac{1}{3}AB$,所以CA=4,
所以BC=AB−CA=8。
(2)因为AB=12,$BO = \frac{1}{2}AB$,$CA = \frac{1}{3}AB$,
所以BO=AO=6,CA=4。
所以CO=AO−CA=2。
所以数轴上点C表示的数为−2。
(3)因为AB=12,$DA = \frac{2}{3}AB$,所以DA=8。
当点D在点A的左边时,DO=DA+AO=8+6=14;
当点D在点A的右边时,DO=DA−AO=8−6=2,
所以数轴上点D表示的数为−14或2。
(1)因为AB=12,$CA = \frac{1}{3}AB$,所以CA=4,
所以BC=AB−CA=8。
(2)因为AB=12,$BO = \frac{1}{2}AB$,$CA = \frac{1}{3}AB$,
所以BO=AO=6,CA=4。
所以CO=AO−CA=2。
所以数轴上点C表示的数为−2。
(3)因为AB=12,$DA = \frac{2}{3}AB$,所以DA=8。
当点D在点A的左边时,DO=DA+AO=8+6=14;
当点D在点A的右边时,DO=DA−AO=8−6=2,
所以数轴上点D表示的数为−14或2。
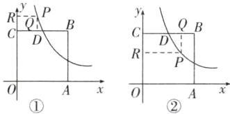
20. 如图,在平面直角坐标系中,点$O$为坐标原点,正方形$OABC的边OA$,$OC分别在x$轴、$y$轴上,点$B的坐标为(2,2)$,反比例函数$y = \frac{k}{x}(x > 0,k\neq0)的图象经过线段BC的中点D$。
(1)求$k$的值;
(2)若点$P(x,y)$在该反比例函数的图象上运动(不与点$D$重合),过点$P作PR\perp y轴于点R$,作$PQ\perp BC所在直线于点Q$,记四边形$CQPR的面积为S$,求$S关于x的函数表达式并写出x$的取值范围。

(1)求$k$的值;
(2)若点$P(x,y)$在该反比例函数的图象上运动(不与点$D$重合),过点$P作PR\perp y轴于点R$,作$PQ\perp BC所在直线于点Q$,记四边形$CQPR的面积为S$,求$S关于x的函数表达式并写出x$的取值范围。
答案:
(1)
∵正方形OABC的边OA,OC分别在x轴、y轴上,点B的坐标为(2,2),
∴C(0,2)。
∵点D是BC的中点,
∴D(1,2)。
∵反比例函数$y = \frac{k}{x}$(x>0,k≠0)的图象经过点D,
∴$2 = \frac{k}{1}$,即k=2。
(2)当点P在直线BC的上方,即0<x<1时,如图①。
∵点P(x,y)在该反比例函数的图象上运动,
∴$y = \frac{2}{x}$,
∴$S = CQ \cdot PQ = x \cdot (\frac{2}{x} - 2) = 2 - 2x(0 < x < 1)$。
当点P在直线BC的下方,即x>1时,如图②,
同理求出$S = CQ \cdot PQ = x \cdot (2 - \frac{2}{x}) = 2x - 2(x > 1)$。
综上,$S = \begin{cases}2x - 2,x > 1\\2 - 2x,0 < x < 1\end{cases}$。
(1)
∵正方形OABC的边OA,OC分别在x轴、y轴上,点B的坐标为(2,2),
∴C(0,2)。
∵点D是BC的中点,
∴D(1,2)。
∵反比例函数$y = \frac{k}{x}$(x>0,k≠0)的图象经过点D,
∴$2 = \frac{k}{1}$,即k=2。
(2)当点P在直线BC的上方,即0<x<1时,如图①。
∵点P(x,y)在该反比例函数的图象上运动,
∴$y = \frac{2}{x}$,
∴$S = CQ \cdot PQ = x \cdot (\frac{2}{x} - 2) = 2 - 2x(0 < x < 1)$。
当点P在直线BC的下方,即x>1时,如图②,
同理求出$S = CQ \cdot PQ = x \cdot (2 - \frac{2}{x}) = 2x - 2(x > 1)$。
综上,$S = \begin{cases}2x - 2,x > 1\\2 - 2x,0 < x < 1\end{cases}$。
查看更多完整答案,请扫码查看