第52页
- 第1页
- 第2页
- 第3页
- 第4页
- 第5页
- 第6页
- 第7页
- 第8页
- 第9页
- 第10页
- 第11页
- 第12页
- 第13页
- 第14页
- 第15页
- 第16页
- 第17页
- 第18页
- 第19页
- 第20页
- 第21页
- 第22页
- 第23页
- 第24页
- 第25页
- 第26页
- 第27页
- 第28页
- 第29页
- 第30页
- 第31页
- 第32页
- 第33页
- 第34页
- 第35页
- 第36页
- 第37页
- 第38页
- 第39页
- 第40页
- 第41页
- 第42页
- 第43页
- 第44页
- 第45页
- 第46页
- 第47页
- 第48页
- 第49页
- 第50页
- 第51页
- 第52页
- 第53页
- 第54页
- 第55页
- 第56页
- 第57页
- 第58页
- 第59页
- 第60页
- 第61页
- 第62页
- 第63页
- 第64页
- 第65页
- 第66页
- 第67页
- 第68页
- 第69页
- 第70页
- 第71页
- 第72页
- 第73页
- 第74页
- 第75页
- 第76页
- 第77页
- 第78页
- 第79页
- 第80页
1. 已知反比例函数$y= \frac{2k - 3}{x}的图象经过点(1,1)$,则$k$的值为()
A. $-1$
B. $0$
C. $1$
D. $2$
A. $-1$
B. $0$
C. $1$
D. $2$
答案:
D
2. 在同一平面直角坐标系中,直线$y = k_1x(k_1 \neq 0)与双曲线y= \frac{k_2}{x}(k_2 \neq 0)相交于A$,$B$两点,已知点$A的坐标为(1,2)$,则点$B$的坐标为()
A. $(-1,-2)$
B. $(-2,-1)$
C. $(-1,-1)$
D. $(-2,-2)$
A. $(-1,-2)$
B. $(-2,-1)$
C. $(-1,-1)$
D. $(-2,-2)$
答案:
A
3. 已知反比例函数$y = -\frac{2}{x}的图象上有两点P_1(x_1,y_1)$,$P_2(x_2,y_2)$,若$x_1 < 0 < x_2$,则下列结论正确的是()
A. $y_1 < y_2 < 0$
B. $y_1 < 0 < y_2$
C. $y_1 > y_2 > 0$
D. $y_1 > 0 > y_2$
A. $y_1 < y_2 < 0$
B. $y_1 < 0 < y_2$
C. $y_1 > y_2 > 0$
D. $y_1 > 0 > y_2$
答案:
D
4. 函数$y_1 = x(x \geq 0)$,$y_2= \frac{4}{x}(x > 0)$的图象如图所示,下列结论:①两函数图象的交点坐标为$A(2,2)$;②当$x > 2$时,$y_2 > y_1$;③直线$x = 1分别与两函数图象交于B$,$C$两点,线段$BC的长为3$;④当$x$逐渐增大时,$y_1的值随着x$的增大而增大,$y_2的值随着x$的增大而减小。其中正确的是()

A. ①②④
B. ①②③
C. ②③④
D. ①③④
A. ①②④
B. ①②③
C. ②③④
D. ①③④
答案:
D
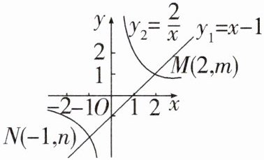
5. 如图,函数$y_1 = x - 1$和$y_2= \frac{2}{x}$的图象交于点

M(2,m),N(-1,n),若$y_1 > y_2,$则x的取值范围是()

A. $x < -1或0 < x < 2$
B. $x < -1或x > 2$
C. $-1 < x < 0或0 < x < 2$
D. $-1 < x < 0或x > 2$
M(2,m),N(-1,n),若$y_1 > y_2,$则x的取值范围是()
A. $x < -1或0 < x < 2$
B. $x < -1或x > 2$
C. $-1 < x < 0或0 < x < 2$
D. $-1 < x < 0或x > 2$
答案:
D
6. 中国古人用十二根长短不同的竹子做成律管,用它们分别吹出十二个标准音,称为十二律。十二根竹管的管长和频率乘积为定值,设管长为$x$,频率为$y$,选取$5组数对(x,y)$,在平面直角坐标系中进行描点,则下列描点正确的是()

A.
B.
C.
D.
A.
B.
C.
D.
答案:
C
7. 如图,反比例函数$y= \frac{8}{x}(x > 0)的图象经过直角三角形OAB的顶点A$,$C为斜边OA$的中点,则过点$C$的反比例函数的表达式是()

A. $y= \frac{6}{x}$
B. $y = -\frac{4}{x}$
C. $y= \frac{2}{x}$
D. $y= \frac{1}{x}$
A. $y= \frac{6}{x}$
B. $y = -\frac{4}{x}$
C. $y= \frac{2}{x}$
D. $y= \frac{1}{x}$
答案:
C
查看更多完整答案,请扫码查看