第32页
- 第1页
- 第2页
- 第3页
- 第4页
- 第5页
- 第6页
- 第7页
- 第8页
- 第9页
- 第10页
- 第11页
- 第12页
- 第13页
- 第14页
- 第15页
- 第16页
- 第17页
- 第18页
- 第19页
- 第20页
- 第21页
- 第22页
- 第23页
- 第24页
- 第25页
- 第26页
- 第27页
- 第28页
- 第29页
- 第30页
- 第31页
- 第32页
- 第33页
- 第34页
- 第35页
- 第36页
- 第37页
- 第38页
- 第39页
- 第40页
- 第41页
- 第42页
- 第43页
- 第44页
- 第45页
- 第46页
- 第47页
- 第48页
- 第49页
- 第50页
- 第51页
- 第52页
- 第53页
- 第54页
- 第55页
- 第56页
- 第57页
- 第58页
- 第59页
- 第60页
- 第61页
- 第62页
- 第63页
- 第64页
- 第65页
- 第66页
- 第67页
- 第68页
- 第69页
- 第70页
- 第71页
- 第72页
- 第73页
- 第74页
- 第75页
- 第76页
- 第77页
- 第78页
- 第79页
- 第80页
1. 对于三角形的内角,下列判断中不正确的是()
A. 至少有两个锐角
B. 最多有一个直角
C. 必有一个角大于$60^{\circ}$
D. 至少有一个角不小于$60^{\circ}$
A. 至少有两个锐角
B. 最多有一个直角
C. 必有一个角大于$60^{\circ}$
D. 至少有一个角不小于$60^{\circ}$
答案:
C
2. 若一个三角形三个内角的度数之比为$1:2:3$,则这个三角形是()
A. 锐角三角形
B. 等边三角形
C. 钝角三角形
D. 直角三角形
A. 锐角三角形
B. 等边三角形
C. 钝角三角形
D. 直角三角形
答案:
D
3. 如图,四个图形中,线段$BE是\triangle ABC$的高的图是()

答案:
C
4. 已知一个三角形的两边长分别为8和2,则这个三角形的第三边长可能是()
A. 4
B. 6
C. 8
D. 10
A. 4
B. 6
C. 8
D. 10
答案:
C
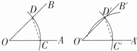
5. 用直尺和圆规作一个角等于已知角的示意图如图所示,则说明$∠A'O'B'= ∠AOB$的依据是()

A. $SSS$
B. $SAS$
C. $ASA$
D. $AAS$
A. $SSS$
B. $SAS$
C. $ASA$
D. $AAS$
答案:
A
6. 王师傅用4根木条钉成一个四边形木架,如图.要使这个木架不变形,他至少还要再钉上木条()

A. 0根
B. 1根
C. 2根
D. 3根
A. 0根
B. 1根
C. 2根
D. 3根
答案:
B
7. 如图,在$\triangle ABC$中,$P为BC$上一点,$PR⊥AB$,垂足为$R$,$PS⊥AC$,垂足为$S$,已知$AQ= PQ$,$PR= PS$.下面三个结论:①$AS= AR$;②$QP// AR$;③$\triangle BRP≌\triangle CSP$.其中结论正确的是()

A. ①②
B. ②③
C. ①③
D. ①②③
A. ①②
B. ②③
C. ①③
D. ①②③
答案:
A
8. 如图,在$\triangle ABC$中,$∠C= 90^{\circ}$,$∠B= 30^{\circ}$,以$A$为圆心,任意长为半径画弧分别交$AB$,$AC于点M$,$N$,再分别以$M$,$N$为圆心,大于$\frac{1}{2}MN$的长为半径画弧,两弧交于点$P$,连结$AP$并延长,交$BC于点D$,则下列说法中正确的个数是()
①$AD是∠BAC$的平分线;②$∠ADC= 60^{\circ}$;③点$D在AB$的中垂线上;④$S_{\triangle DAC}:S_{\triangle ABC}= 1:3$.

A. 1
B. 2
C. 3
D. 4
①$AD是∠BAC$的平分线;②$∠ADC= 60^{\circ}$;③点$D在AB$的中垂线上;④$S_{\triangle DAC}:S_{\triangle ABC}= 1:3$.
A. 1
B. 2
C. 3
D. 4
答案:
D
查看更多完整答案,请扫码查看