2025年走向中考考场九年级物理全一册人教版河北专版
注:目前有些书本章节名称可能整理的还不是很完善,但都是按照顺序排列的,请同学们按照顺序仔细查找。练习册 2025年走向中考考场九年级物理全一册人教版河北专版 答案主要是用来给同学们做完题方便对答案用的,请勿直接抄袭。
第26页
- 第1页
- 第2页
- 第3页
- 第4页
- 第5页
- 第6页
- 第7页
- 第8页
- 第9页
- 第10页
- 第11页
- 第12页
- 第13页
- 第14页
- 第15页
- 第16页
- 第17页
- 第18页
- 第19页
- 第20页
- 第21页
- 第22页
- 第23页
- 第24页
- 第25页
- 第26页
- 第27页
- 第28页
- 第29页
- 第30页
- 第31页
- 第32页
- 第33页
- 第34页
- 第35页
- 第36页
- 第37页
- 第38页
- 第39页
- 第40页
- 第41页
- 第42页
- 第43页
- 第44页
- 第45页
- 第46页
- 第47页
- 第48页
- 第49页
- 第50页
- 第51页
- 第52页
- 第53页
- 第54页
- 第55页
- 第56页
- 第57页
- 第58页
- 第59页
- 第60页
- 第61页
- 第62页
- 第63页
- 第64页
- 第65页
- 第66页
- 第67页
- 第68页
- 第69页
- 第70页
- 第71页
- 第72页
- 第73页
- 第74页
- 第75页
- 第76页
- 第77页
- 第78页
- 第79页
- 第80页
- 第81页
- 第82页
- 第83页
- 第84页
- 第85页
- 第86页
- 第87页
- 第88页
- 第89页
- 第90页
- 第91页
- 第92页
- 第93页
- 第94页
- 第95页
- 第96页
- 第97页
- 第98页
- 第99页
- 第100页
- 第101页
- 第102页
- 第103页
- 第104页
- 第105页
- 第106页
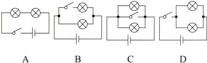
1. 下列电路中,属于串联电路的是( )

答案:
B
2. 下列电路中,闭合开关S后,两个小灯泡并联的是( )
答案:
C
3. 小红发现某个教室里的开关可以同时控制两盏灯,这个教室里的电路图应是下图中的( )
答案:
D
4. 如图15 - 3 - 1所示的电路,若要使L₁、L₂并联,则( )

A. 只闭合S₁
B. 只闭合S₂
C. 只闭合S₁、S₂
D. 只闭合S₁、S₃
A. 只闭合S₁
B. 只闭合S₂
C. 只闭合S₁、S₂
D. 只闭合S₁、S₃
答案:
C
5. 如图15 - 3 - 2所示,甲图中的两盏灯是______联的;乙图中的两盏灯是______联的;丙图中的两盏灯是______联的;丁图中的两盏灯是______联的。
答案:
串 并 串 并
6. 如图15 - 3 - 3所示,要使L₁、L₂并联,应用导线分别连接______两接线柱和连接______两接线柱。
答案:
AC BD
7. 如图15 - 3 - 4所示,把两个小灯泡串联接入电路中研究串联电路特点。
(1) 小明刚连接完最后一根导线,灯泡L₁、L₂就亮了,他在实验过程中的操作不当之处是______。
(2) 开关闭合并且两灯都发光时,取下其中一个灯泡,可观察到______________的现象,说明了串联电路各用电器________(选填“相互影响”或“互不影响”)这一特点。
(3) 开关闭合并且两灯都发光时,用一根导线并联在灯泡L₁两端,可观察到灯泡L₁______(选填“亮”或“不亮”)。
(4) 按图中所示的电路进行实验时,闭合开关两灯同时亮,断开开关两灯同时灭;将开关分别改接在灯泡L₁与L₂之间、灯泡L₁和电源的正极之间时,观察到同样的现象,这样操作的目的是研究______________________________。
(1) 小明刚连接完最后一根导线,灯泡L₁、L₂就亮了,他在实验过程中的操作不当之处是______。
(2) 开关闭合并且两灯都发光时,取下其中一个灯泡,可观察到______________的现象,说明了串联电路各用电器________(选填“相互影响”或“互不影响”)这一特点。
(3) 开关闭合并且两灯都发光时,用一根导线并联在灯泡L₁两端,可观察到灯泡L₁______(选填“亮”或“不亮”)。
(4) 按图中所示的电路进行实验时,闭合开关两灯同时亮,断开开关两灯同时灭;将开关分别改接在灯泡L₁与L₂之间、灯泡L₁和电源的正极之间时,观察到同样的现象,这样操作的目的是研究______________________________。
答案:
(1)连接电路时开关没有断开
(2)另一灯也熄灭 相互影响
(3)不亮
(4)串联电路中开关位置变化对电路的影响
(1)连接电路时开关没有断开
(2)另一灯也熄灭 相互影响
(3)不亮
(4)串联电路中开关位置变化对电路的影响
8. 根据电路图连接对应的实物电路。

答案:
如图15 - 1所示

如图15 - 1所示
查看更多完整答案,请扫码查看