第65页
- 第1页
- 第2页
- 第3页
- 第4页
- 第5页
- 第6页
- 第7页
- 第8页
- 第9页
- 第10页
- 第11页
- 第12页
- 第13页
- 第14页
- 第15页
- 第16页
- 第17页
- 第18页
- 第19页
- 第20页
- 第21页
- 第22页
- 第23页
- 第24页
- 第25页
- 第26页
- 第27页
- 第28页
- 第29页
- 第30页
- 第31页
- 第32页
- 第33页
- 第34页
- 第35页
- 第36页
- 第37页
- 第38页
- 第39页
- 第40页
- 第41页
- 第42页
- 第43页
- 第44页
- 第45页
- 第46页
- 第47页
- 第48页
- 第49页
- 第50页
- 第51页
- 第52页
- 第53页
- 第54页
- 第55页
- 第56页
- 第57页
- 第58页
- 第59页
- 第60页
- 第61页
- 第62页
- 第63页
- 第64页
- 第65页
- 第66页
- 第67页
- 第68页
- 第69页
- 第70页
- 第71页
- 第72页
- 第73页
- 第74页
- 第75页
- 第76页
- 第77页
- 第78页
- 第79页
- 第80页
- 第81页
- 第82页
- 第83页
- 第84页
- 第85页
- 第86页
- 第87页
- 第88页
- 第89页
- 第90页
- 第91页
- 第92页
- 第93页
- 第94页
- 第95页
- 第96页
- 第97页
- 第98页
24. (11分)[河北邯郸永年区期末]为了预防“流感”,某学校对教室采用药熏法进行消毒,已知药物燃烧时,室内每立方米空气中的含药量$y(\text{mg})$与药物点燃后的时间$x(\text{min})$成正比例,药物燃尽后,$y$与$x$成反比例(如图所示),已知药物点燃后$6\ \text{min}$燃尽,此时室内每立方米空气中含药量为$12\ \text{mg}$.
(1)求药物燃烧时和药物燃尽后,$y$与$x$之间的函数解析式;
(2)研究表明:空气中每立方米的含药量不低于$6\ \text{mg}$,且持续$5\ \text{min}$以上才能有效杀灭空气中的病菌,请计算说明此次消毒能否有效杀灭空气中的病菌.

(1)求药物燃烧时和药物燃尽后,$y$与$x$之间的函数解析式;
(2)研究表明:空气中每立方米的含药量不低于$6\ \text{mg}$,且持续$5\ \text{min}$以上才能有效杀灭空气中的病菌,请计算说明此次消毒能否有效杀灭空气中的病菌.
答案:
[解析](1)设药物燃烧时,$y$与$x$之间的函数解析式为$y = mx$,把$(6,12)$代入,得$12 = 6m$,$\therefore m = 2$,$\therefore$药物燃烧时的函数解析式为$y = 2x$($0\leqslant x\leqslant6$);设药物燃尽后,$y$与$x$之间的函数解析式为$y=\frac{k}{x}$,把$(6,12)$代入,得$k = xy = 6\times12 = 72$,$\therefore$药物燃尽后的函数解析式为$y=\frac{72}{x}$($x\gt6$);
(2)把$y = 6$代入$y = 2x$,得$6 = 2x$,$\therefore x = 3$,把$y = 6$代入$y=\frac{72}{x}$,得$6=\frac{72}{x}$,$\therefore x = 12$,$\because12 - 3 = 9\gt5$,$\therefore$此次消毒能有效杀灭空气中的病菌.
(2)把$y = 6$代入$y = 2x$,得$6 = 2x$,$\therefore x = 3$,把$y = 6$代入$y=\frac{72}{x}$,得$6=\frac{72}{x}$,$\therefore x = 12$,$\because12 - 3 = 9\gt5$,$\therefore$此次消毒能有效杀灭空气中的病菌.
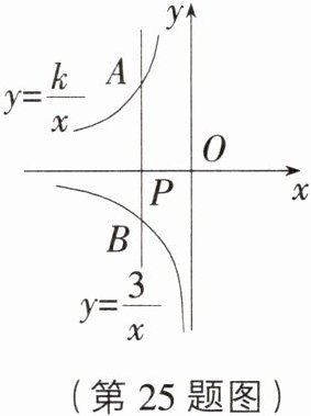
25. (11分)[河北石家庄23中期中]反比例函数$y=\frac{k}{x}(x<0,k<0)$和$y=\frac{3}{x}(x<0)$的图象如图所示,点$P(m,0)$是$x$轴上一动点,过点$P$作直线$AB\perp x$轴,交两图象分别于$A$,$B$两点.
(1)若$m = -1$,线段$AB = 9$时,求点$A$,$B$的坐标及$k$值;
(2)雯雯同学提出一个大胆的猜想:“当$k$一定时,$\triangle OAB$的面积随$m$值的增大而增大.”你认为她的猜想对吗?说明理由.

(1)若$m = -1$,线段$AB = 9$时,求点$A$,$B$的坐标及$k$值;
(2)雯雯同学提出一个大胆的猜想:“当$k$一定时,$\triangle OAB$的面积随$m$值的增大而增大.”你认为她的猜想对吗?说明理由.
答案:
[解析](1)把$x=-1$代入$y=\frac{3}{x}$,得$y=-3$,$\therefore B(-1,-3)$,又$\because AB = 9$,点$A$在第二象限,$\therefore A(-1,6)$.把$A(-1,6)$代入$y=\frac{k}{x}$,得$k=-6$;
(2)雯雯同学的猜想不对.理由如下:把$x = m$代入$y=\frac{3}{x}$,得$y=\frac{3}{m}$,$\therefore B(m,\frac{3}{m})$,把$x = m$代入$y=\frac{k}{x}$,得$y=\frac{k}{m}$,$\therefore A(m,\frac{k}{m})$,$\therefore AB=\frac{k}{m}-\frac{3}{m}=\frac{k - 3}{m}$,又$OP=\vert m\vert=-m$,$\therefore S_{\triangle OAB}=\frac{1}{2}AB\cdot OP=\frac{1}{2}\times\frac{k - 3}{m}\times(-m)=\frac{3 - k}{2}$,即$\triangle OAB$的面积与$m$的值无关,所以雯雯同学的猜想不对.
(2)雯雯同学的猜想不对.理由如下:把$x = m$代入$y=\frac{3}{x}$,得$y=\frac{3}{m}$,$\therefore B(m,\frac{3}{m})$,把$x = m$代入$y=\frac{k}{x}$,得$y=\frac{k}{m}$,$\therefore A(m,\frac{k}{m})$,$\therefore AB=\frac{k}{m}-\frac{3}{m}=\frac{k - 3}{m}$,又$OP=\vert m\vert=-m$,$\therefore S_{\triangle OAB}=\frac{1}{2}AB\cdot OP=\frac{1}{2}\times\frac{k - 3}{m}\times(-m)=\frac{3 - k}{2}$,即$\triangle OAB$的面积与$m$的值无关,所以雯雯同学的猜想不对.
26. (14分)[四川广元中考]如图1,在$\triangle ABC$中,$\angle ACB = 90^{\circ}$,$AC = BC$,点$D$是$AB$边上一点(含端点$A$,$B$),过点$B$作$BE$垂直于射线$CD$,垂足为$E$,点$F$在射线$CD$上,且$EF = BE$,连接$AF$,$BF$.
(1)求证:$\triangle ABF\backsim\triangle CBE$;
(2)如图2,连接$AE$,点$P$,$M$,$N$分别为线段$AC$,$AE$,$EF$的中点,连接$PM$,$MN$,$PN$.求$\angle PMN$的度数及$\frac{MN}{PM}$的值;
(3)在(2)的条件下,若$BC=\sqrt{2}$,直接写出$\triangle PMN$面积的最大值.

(1)求证:$\triangle ABF\backsim\triangle CBE$;
(2)如图2,连接$AE$,点$P$,$M$,$N$分别为线段$AC$,$AE$,$EF$的中点,连接$PM$,$MN$,$PN$.求$\angle PMN$的度数及$\frac{MN}{PM}$的值;
(3)在(2)的条件下,若$BC=\sqrt{2}$,直接写出$\triangle PMN$面积的最大值.
答案:
[解析](1)如图1,$\because CA = CB$,$\angle ACB = 90^{\circ}$,$EF = EB$,$\angle BEF = 90^{\circ}$,$\therefore\angle CBA=\angle EBF = 45^{\circ}$,$AB=\sqrt{2}BC$,$BF=\sqrt{2}BE$,$\therefore\angle CBE=\angle ABF$,$\frac{AB}{BC}=\frac{BF}{BE}=\sqrt{2}$,$\therefore\triangle ABF\sim\triangle CBE$;
(2)如图2,延长$PM$交$AF$于$T$。$\because BE\perp CF$,$\therefore\angle CEB = 90^{\circ}$,$\because\triangle ABF\sim\triangle CBE$,$\therefore\angle CEB=\angle AFB = 90^{\circ}$,$\frac{AF}{EC}=\frac{AB}{BC}=\sqrt{2}$,$\therefore AF=\sqrt{2}EC$,$\because\angle EFB = 45^{\circ}$,$\therefore\angle AFC = 45^{\circ}$,$\because AP = PC$,$AM = ME$,$\therefore PT\parallel CF$,$PM=\frac{1}{2}EC$,$\because AM = ME$,$EN = NF$,$\therefore MN\parallel AF$,$MN=\frac{1}{2}AF$,$\therefore$四边形$MNFT$是平行四边形,$MN=\sqrt{2}PM$,$\therefore\angle TMN=\angle AFC = 45^{\circ}$,$\therefore\angle PMN = 135^{\circ}$,$\therefore\frac{MN}{PM}=\sqrt{2}$;
(3)$\triangle PMN$面积的最大值为$\frac{1}{2}$。提示:$\because MN=\sqrt{2}PM$,$\angle PMN = 135^{\circ}$,$PM=\frac{1}{2}EC$,$\therefore$当$EC$的值最大时,$PM$的值最大,此时$\triangle PMN$的面积最大,$\because$当点$E$与$B$重合时,$EC$的值最大,$EC$的最大值为$\sqrt{2}$,此时$PM=\frac{\sqrt{2}}{2}$,$MN=\sqrt{2}PM = 1$,$\therefore\triangle PMN$的面积的最大值为$\frac{1}{2}\times\frac{\sqrt{2}}{2}\times1\times\frac{\sqrt{2}}{2}=\frac{1}{4}$。
[解析](1)如图1,$\because CA = CB$,$\angle ACB = 90^{\circ}$,$EF = EB$,$\angle BEF = 90^{\circ}$,$\therefore\angle CBA=\angle EBF = 45^{\circ}$,$AB=\sqrt{2}BC$,$BF=\sqrt{2}BE$,$\therefore\angle CBE=\angle ABF$,$\frac{AB}{BC}=\frac{BF}{BE}=\sqrt{2}$,$\therefore\triangle ABF\sim\triangle CBE$;
(2)如图2,延长$PM$交$AF$于$T$。$\because BE\perp CF$,$\therefore\angle CEB = 90^{\circ}$,$\because\triangle ABF\sim\triangle CBE$,$\therefore\angle CEB=\angle AFB = 90^{\circ}$,$\frac{AF}{EC}=\frac{AB}{BC}=\sqrt{2}$,$\therefore AF=\sqrt{2}EC$,$\because\angle EFB = 45^{\circ}$,$\therefore\angle AFC = 45^{\circ}$,$\because AP = PC$,$AM = ME$,$\therefore PT\parallel CF$,$PM=\frac{1}{2}EC$,$\because AM = ME$,$EN = NF$,$\therefore MN\parallel AF$,$MN=\frac{1}{2}AF$,$\therefore$四边形$MNFT$是平行四边形,$MN=\sqrt{2}PM$,$\therefore\angle TMN=\angle AFC = 45^{\circ}$,$\therefore\angle PMN = 135^{\circ}$,$\therefore\frac{MN}{PM}=\sqrt{2}$;
(3)$\triangle PMN$面积的最大值为$\frac{1}{2}$。提示:$\because MN=\sqrt{2}PM$,$\angle PMN = 135^{\circ}$,$PM=\frac{1}{2}EC$,$\therefore$当$EC$的值最大时,$PM$的值最大,此时$\triangle PMN$的面积最大,$\because$当点$E$与$B$重合时,$EC$的值最大,$EC$的最大值为$\sqrt{2}$,此时$PM=\frac{\sqrt{2}}{2}$,$MN=\sqrt{2}PM = 1$,$\therefore\triangle PMN$的面积的最大值为$\frac{1}{2}\times\frac{\sqrt{2}}{2}\times1\times\frac{\sqrt{2}}{2}=\frac{1}{4}$。
查看更多完整答案,请扫码查看