第16页
- 第1页
- 第2页
- 第3页
- 第4页
- 第5页
- 第6页
- 第7页
- 第8页
- 第9页
- 第10页
- 第11页
- 第12页
- 第13页
- 第14页
- 第15页
- 第16页
- 第17页
- 第18页
- 第19页
- 第20页
- 第21页
- 第22页
- 第23页
- 第24页
- 第25页
- 第26页
- 第27页
- 第28页
- 第29页
- 第30页
- 第31页
- 第32页
- 第33页
- 第34页
- 第35页
- 第36页
- 第37页
- 第38页
- 第39页
- 第40页
- 第41页
- 第42页
- 第43页
- 第44页
- 第45页
- 第46页
- 第47页
- 第48页
- 第49页
- 第50页
- 第51页
- 第52页
- 第53页
- 第54页
- 第55页
- 第56页
- 第57页
- 第58页
- 第59页
- 第60页
- 第61页
- 第62页
- 第63页
- 第64页
- 第65页
- 第66页
- 第67页
- 第68页
- 第69页
- 第70页
- 第71页
- 第72页
- 第73页
- 第74页
- 第75页
- 第76页
- 第77页
- 第78页
- 第79页
- 第80页
- 第81页
- 第82页
- 第83页
- 第84页
- 第85页
- 第86页
- 第87页
- 第88页
- 第89页
- 第90页
- 第91页
- 第92页
- 第93页
- 第94页
- 第95页
- 第96页
- 第97页
- 第98页
7. 如图,直线$y = mx$与双曲线$y = \frac{k}{x}$交于$A$,$B$两点,过点$A$作$AM\perp x$轴,垂足为$M$,连接$BM$,若$S_{\triangle ABM}=2$,则$k$的

A. 2
B. $m - 2$
C. $m$
D. 4
A. 2
B. $m - 2$
C. $m$
D. 4
答案:
A [解析]设$A(x,y)$,$\because$直线$y = mx$与双曲线$y = \frac{k}{x}$交于 A,B 两点,$\therefore B(-x,-y)$,$\therefore S_{\triangle BOM}=\frac{1}{2}|xy|$,$S_{\triangle AOM}=\frac{1}{2}|xy|$,$\therefore S_{\triangle BOM}=S_{\triangle AOM}$,$\therefore S_{\triangle ABM}=S_{\triangle AOM}+S_{\triangle BOM}=2S_{\triangle AOM}=2$,$\therefore S_{\triangle AOM}=\frac{1}{2}|k| = 1$,则$k = \pm2$.又$\because$双曲线位于第一、三象限,$\therefore k > 0$,$\therefore k = 2$.
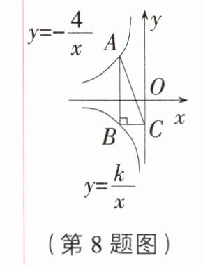
8. [河南模拟]如图,点$A$在反比例函数$y = -\frac{4}{x}$($x<0$)的图象上,点$B$在反比例函数$y = \frac{k}{x}$($x<0$)的图象上,且$AB// y$轴,$BC\perp AB$于点$B$,交$y$轴于点$C$.若$\triangle ABC$的面积为$3$,则$k$的值为 ( )
A. -3
B. -2
C. 2
D. 3
A. -3
B. -2
C. 2
D. 3
答案:
C [解析]如图,连接 OA,OB,设 AB 交 x 轴于点 D.$\because AB// y$轴,$\therefore S_{\triangle AOB}=S_{\triangle ABC}$,即$S_{\triangle AOD}+S_{\triangle BOD}=S_{\triangle ABC}=3$,$\because$点 A 在反比例函数$y = -\frac{4}{x}(x < 0)$的图象上,点 B 在反比例函数$y = \frac{k}{x}(x < 0)$的图象上,$\therefore\frac{1}{2}\times|-4|+\frac{1}{2}|k| = 3$,$\therefore|k| = 2$.又$\because$反比例函数的图象$y = \frac{k}{x}(x < 0)$位于第三象限,$\therefore k = 2$.
C [解析]如图,连接 OA,OB,设 AB 交 x 轴于点 D.$\because AB// y$轴,$\therefore S_{\triangle AOB}=S_{\triangle ABC}$,即$S_{\triangle AOD}+S_{\triangle BOD}=S_{\triangle ABC}=3$,$\because$点 A 在反比例函数$y = -\frac{4}{x}(x < 0)$的图象上,点 B 在反比例函数$y = \frac{k}{x}(x < 0)$的图象上,$\therefore\frac{1}{2}\times|-4|+\frac{1}{2}|k| = 3$,$\therefore|k| = 2$.又$\because$反比例函数的图象$y = \frac{k}{x}(x < 0)$位于第三象限,$\therefore k = 2$.
9. [河北保定高阳模拟]如图是反比例函数$y = \frac{3}{x}$和$y = -\frac{7}{x}$在$x$轴上方的图象,$x$轴的平行线$AB$分别与这两个函数图象相交于点$A$,$B$,点$P$在$x$轴上.则点$P$从左到右的运动过程中,$\triangle APB$的面积是 ( )

A. 10
B. 4
C. 5
D. 先变大再变小
A. 10
B. 4
C. 5
D. 先变大再变小
答案:
C [解析]在题图上,连接 OA,OB.$\because x$轴的平行线 AB 分别与这两个函数图象相交于点 A,B.$\therefore AB\perp y$轴,设 AB 交 y 轴于 C.$\because$点 A,B 在反比例函数$y = \frac{3}{x}$和$y = -\frac{7}{x}$在 x 轴上方的图象上,$\therefore S_{\triangle AOB}=S_{\triangle COB}+S_{\triangle AOC}=\frac{1}{2}\times(7 + 3)=5$.
10. [云南大理期末]如图,点$A$在反比例函数$y_1 = \frac{18}{x}$($x>0$)的图象上,过点$A$作$AB\perp x$轴,垂足为$B$,交反比例函数$y_2 = \frac{6}{x}$($x>0$)的图象于点$C$,$P$为$y$轴上一点,连接$PA$,$PC$,则$\triangle APC$的面积为 ________.

答案:
6 [解析]在题图上,连接 OA 和 OC,$\because$点 P 在 y 轴上,$AB// y$轴,$\therefore\triangle AOC$和$\triangle APC$面积相等,$\because$点 A 在反比例函数$y_1 = \frac{18}{x}(x > 0)$的图象上,点 C 在反比例函数$y_2 = \frac{6}{x}(x > 0)$的图象上,$AB\perp x$轴,$\therefore S_{\triangle AOC}=S_{\triangle OAB}-S_{\triangle OBC}=6$,$\therefore\triangle APC$的面积为 6.
11. [陕西模拟]如图,点$A$和点$B$分别在反比例函数$y = -\frac{2}{x}$($x<0$)和$y = \frac{k}{x}$($x>0$)的图象上.分别过点$A$和点$B$作$x$轴的垂线,垂足分别为点$C$、点$D$.点$P$为$y$轴上一点,连接$PA$,$PB$,$PC$,$PD$,若$S_{\triangle APC}:S_{\triangle BPD}=2:5$,则$k$的值为 ________.

答案:
5 [解析]如图,连接 OA 和 OB.$\because$点 P 在 y 轴上,$AC// y$轴,$BD// y$轴,$\therefore\triangle AOC$和$\triangle APC$面积相等,$\triangle BOD$和$\triangle BPD$面积相等,$\because S_{\triangle APC}:S_{\triangle BPD}=2:5$,$\therefore S_{\triangle AOC}:S_{\triangle BOD}=2:5$,$\because$点 A 和点 B 分别在反比例函数$y = -\frac{2}{x}(x < 0)$和$y = \frac{k}{x}(x > 0)$的图象上,$\therefore S_{\triangle AOC}=\frac{1}{2}\times|-2| = 1$,$S_{\triangle BOD}=\frac{1}{2}|k|$,$\therefore1:\frac{1}{2}|k| = 2:5$,$\therefore|k| = 5$,$\because y = \frac{k}{x}(x > 0)$的图象在第一象限,$\therefore k = 5$.
5 [解析]如图,连接 OA 和 OB.$\because$点 P 在 y 轴上,$AC// y$轴,$BD// y$轴,$\therefore\triangle AOC$和$\triangle APC$面积相等,$\triangle BOD$和$\triangle BPD$面积相等,$\because S_{\triangle APC}:S_{\triangle BPD}=2:5$,$\therefore S_{\triangle AOC}:S_{\triangle BOD}=2:5$,$\because$点 A 和点 B 分别在反比例函数$y = -\frac{2}{x}(x < 0)$和$y = \frac{k}{x}(x > 0)$的图象上,$\therefore S_{\triangle AOC}=\frac{1}{2}\times|-2| = 1$,$S_{\triangle BOD}=\frac{1}{2}|k|$,$\therefore1:\frac{1}{2}|k| = 2:5$,$\therefore|k| = 5$,$\because y = \frac{k}{x}(x > 0)$的图象在第一象限,$\therefore k = 5$.
12. [河北承德模拟]如图,点$A(\frac{1}{3},3)$在双曲线$y = \frac{k}{x}$上,点$B$在双曲线$y = \frac{3}{x}$上,且$AB// x$轴,$C$,$D$在$x$轴上,若四边形$ABCD$为矩形,求它的面积.

答案:
[解析]$\because A(\frac{1}{3},3)$,$AB// x$轴,点 B 在双曲线$y = \frac{3}{x}$上,$\therefore B(1,3)$,$\therefore AB = 1 - \frac{1}{3}=\frac{2}{3}$,$AD = 3$,$\therefore S_{矩形 ABCD}=AB\cdot AD=\frac{2}{3}\times3 = 2$.
查看更多完整答案,请扫码查看