第80页
- 第2页
- 第3页
- 第4页
- 第5页
- 第6页
- 第7页
- 第8页
- 第9页
- 第10页
- 第11页
- 第12页
- 第13页
- 第14页
- 第15页
- 第16页
- 第17页
- 第18页
- 第19页
- 第20页
- 第21页
- 第22页
- 第23页
- 第24页
- 第25页
- 第26页
- 第27页
- 第28页
- 第29页
- 第30页
- 第31页
- 第32页
- 第33页
- 第34页
- 第35页
- 第36页
- 第37页
- 第38页
- 第39页
- 第40页
- 第41页
- 第42页
- 第43页
- 第44页
- 第45页
- 第46页
- 第47页
- 第48页
- 第49页
- 第50页
- 第51页
- 第52页
- 第53页
- 第54页
- 第55页
- 第56页
- 第57页
- 第58页
- 第59页
- 第60页
- 第61页
- 第62页
- 第63页
- 第64页
- 第65页
- 第66页
- 第67页
- 第68页
- 第69页
- 第70页
- 第71页
- 第72页
- 第73页
- 第74页
- 第75页
- 第76页
- 第77页
- 第78页
- 第79页
- 第80页
- 第81页
- 第82页
- 第83页
- 第84页
- 第85页
- 第86页
- 第87页
- 第88页
- 第89页
- 第90页
- 第91页
- 第92页
1. 将方程 $5x = 7 - 4x$ 移项后,正确的是 (
A.$5x - 4x = 7$
B.$5x + 7 = -4x$
C.$5x + 4x = 7$
D.$-4x = 7 - 5x$
C
)A.$5x - 4x = 7$
B.$5x + 7 = -4x$
C.$5x + 4x = 7$
D.$-4x = 7 - 5x$
答案:
C
2. 下列变形属于移项的是 (
A.由 $5x - 4 = 0$,得 $-4 + 5x = 0$
B.由 $2x = -1$,得 $x = -\frac{1}{2}$
C.由 $4x + 3 = 0$,得 $4x = 0 - 3$
D.由 $\frac{5}{4}x - x = 5$,得 $\frac{1}{4}x = 5$
C
)A.由 $5x - 4 = 0$,得 $-4 + 5x = 0$
B.由 $2x = -1$,得 $x = -\frac{1}{2}$
C.由 $4x + 3 = 0$,得 $4x = 0 - 3$
D.由 $\frac{5}{4}x - x = 5$,得 $\frac{1}{4}x = 5$
答案:
C
3. 方程 $2x - 3 = 5$ 的解是 (
A.$x = 1$
B.$x = 2$
C.$x = 3$
D.$x = 4$
D
)A.$x = 1$
B.$x = 2$
C.$x = 3$
D.$x = 4$
答案:
D
4. 下列是解方程 $4x - 2 = 3 - x$ 的步骤:
①合并同类项,得 $5x = 5$。
②移项,得 $4x + x = 3 + 2$。
③方程的两边都除以 5,得 $x = 1$。
其正确顺序是 (
A.①②③
B.③②①
C.②①③
D.③①②
①合并同类项,得 $5x = 5$。
②移项,得 $4x + x = 3 + 2$。
③方程的两边都除以 5,得 $x = 1$。
其正确顺序是 (
C
)A.①②③
B.③②①
C.②①③
D.③①②
答案:
C
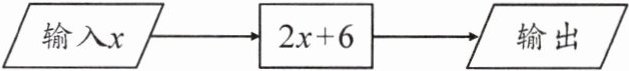
5. 如图是一个“数值转换机”的示意图,当输出 10 时,输入的 $x = $
]

2
。]
答案:
2
6. 解方程:
(1) $8x + 3 = 5$;
(2) $3x = 2x + 7$;
(3) $6x - 8 = 9x + 13$;
(4) $-\frac{1}{2}x + 1 = \frac{1}{6}x - 3$。
(1) $8x + 3 = 5$;
(2) $3x = 2x + 7$;
(3) $6x - 8 = 9x + 13$;
(4) $-\frac{1}{2}x + 1 = \frac{1}{6}x - 3$。
答案:
解:
(1)$x=\frac{1}{4}$。
(2)$x=7$。
(3)$x=-7$。
(4)$x=6$。
(1)$x=\frac{1}{4}$。
(2)$x=7$。
(3)$x=-7$。
(4)$x=6$。
7. 小军和小林同时采摘樱桃,小军平均每小时采摘 $8\mathrm{kg}$,小林平均每小时采摘 $7\mathrm{kg}$,采摘结束后小军从他采摘的樱桃中取出 $0.25\mathrm{kg}$ 给了小林,这时两人樱桃一样多,他们采摘用了多长时间?
答案:
解:他们采摘用了 0.5 h。
查看更多完整答案,请扫码查看