第47页
- 第2页
- 第3页
- 第4页
- 第5页
- 第6页
- 第7页
- 第8页
- 第9页
- 第10页
- 第11页
- 第12页
- 第13页
- 第14页
- 第15页
- 第16页
- 第17页
- 第18页
- 第19页
- 第20页
- 第21页
- 第22页
- 第23页
- 第24页
- 第25页
- 第26页
- 第27页
- 第28页
- 第29页
- 第30页
- 第31页
- 第32页
- 第33页
- 第34页
- 第35页
- 第36页
- 第37页
- 第38页
- 第39页
- 第40页
- 第41页
- 第42页
- 第43页
- 第44页
- 第45页
- 第46页
- 第47页
- 第48页
- 第49页
- 第50页
- 第51页
- 第52页
- 第53页
- 第54页
- 第55页
- 第56页
- 第57页
- 第58页
- 第59页
- 第60页
- 第61页
- 第62页
- 第63页
- 第64页
- 第65页
- 第66页
- 第67页
- 第68页
- 第69页
- 第70页
- 第71页
- 第72页
- 第73页
- 第74页
- 第75页
- 第76页
- 第77页
- 第78页
- 第79页
- 第80页
- 第81页
- 第82页
- 第83页
- 第84页
- 第85页
- 第86页
- 第87页
- 第88页
- 第89页
- 第90页
- 第91页
- 第92页
1. [2024·广安中考]下列对代数式$-3x$的意义表述正确的是(
A.$-3与x$的和
B.$-3与x$的差
C.$-3与x$的积
D.$-3与x$的商
C
)A.$-3与x$的和
B.$-3与x$的差
C.$-3与x$的积
D.$-3与x$的商
答案:
C
2. 体育委员带了 500 元去买体育用品,已知一个足球$a$元,一个篮球$b$元,则代数式$500 - 3a - 2b$表示的意义为
买3个足球,2个篮球还剩的钱数
。
答案:
买3个足球,2个篮球还剩的钱数
3. 当$x = -1$时,代数式$2x + 3$的值为(
A.$-1$
B.0
C.1
D.2
C
)A.$-1$
B.0
C.1
D.2
答案:
C
4. 当$a = 3$,$b = -1$时,代数式$a - 2b^{2}$的值是(
A.$-5$
B.5
C.1
D.2
C
)A.$-5$
B.5
C.1
D.2
答案:
C
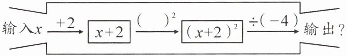
5. [教材 P79 随堂练习 T2 变式题]如图是一个“数值转换机”的示意图,若输入$x的值为-6$,则输出的结果为

-4
。
答案:
-4
6. [教材 P85 习题 T12 变式题]填写下表,并观察$6m + 8和2m^{2} + 1$这两个代数式的值的变化情况。
| $m$ | 1 | 2 | 3 | 4 | 5 | 6 | 7 |
| $6m + 8$ |
| $2m^{2} + 1$ |

(1) 当$m > 0$时,随着$m$的值逐渐变大,$6m + 8和2m^{2} + 1$这两个代数式的值如何变化?
(2) 估计一下,哪个代数式的值先超过 200?
| $m$ | 1 | 2 | 3 | 4 | 5 | 6 | 7 |
| $6m + 8$ |
14
| 20
| 26
| 32
| 38
| 44
| 50
|| $2m^{2} + 1$ |
3
| 9
| 19
| 33
| 51
| 73
| 99
|(1) 当$m > 0$时,随着$m$的值逐渐变大,$6m + 8和2m^{2} + 1$这两个代数式的值如何变化?
(2) 估计一下,哪个代数式的值先超过 200?
(1)当m>0时,随着m的值逐渐变大,6m+8和2m²+1这两个代数式的值都逐渐变大。
(2)代数式2m²+1的值先超过200。
(2)代数式2m²+1的值先超过200。
答案:
解:第二行:14 20 26 32 38 44 50
第三行:3 9 19 33 51 73 99
(1)当m>0时,随着m的值逐渐变大,6m+8和2m²+1这两个代数式的值都逐渐变大。
(2)代数式2m²+1的值先超过200。
第三行:3 9 19 33 51 73 99
(1)当m>0时,随着m的值逐渐变大,6m+8和2m²+1这两个代数式的值都逐渐变大。
(2)代数式2m²+1的值先超过200。
7. 某网店进行促销,将原价$a元的商品以(0.8a - 20)$元出售,则该商品的促销方法是(
A.先降价 80%再减 20 元
B.先降价 20%再减 20 元
C.先减 20 元再降价 80%
D.先减 20 元再降价 20%
B
)A.先降价 80%再减 20 元
B.先降价 20%再减 20 元
C.先减 20 元再降价 80%
D.先减 20 元再降价 20%
答案:
B
8. [整体思想]已知$x + y = 8$,$xy = 7$,则代数式$3xy + x - 4 + y$的值为
25
。
答案:
25
9. 如图是某小区的一块长为$b\ m$、宽为$2a\ m$的长方形草地,为美化小区,现在在该长方形草地的四个角分别修建一个半径为$a\ m$的扇形花台。用代数式表示修建后剩余草地(阴影部分)的面积为______$m^{2}$(结果保留$\pi$);当$a = 10$,$b = 40$时,剩余草地的面积是______$m^{2}$($\pi$取 3.14)。

(2ab-πa²)
486
答案:
(2ab-πa²) 486
10. 冬令营期间 3 位老师决定带领$a$名学生去冰雪大世界游玩,有两家旅行社可供选择,甲旅行社的收费标准为老师全价,学生七折优惠;而乙旅行社不分老师和学生一律八折优惠,这两家旅行社全价都是每人 300 元。
(1) 这 3 位老师和$a$名学生在甲旅行社的总费用为
(2) 若这 3 位老师带领 10 名学生,则选择哪家旅行社更划算?
(1) 这 3 位老师和$a$名学生在甲旅行社的总费用为
(900+210a)
元,在乙旅行社的总费用为(720+240a)
元;(均用含$a$的代数式表示)(2) 若这 3 位老师带领 10 名学生,则选择哪家旅行社更划算?
选择甲旅行社更划算。
答案:
解:
(1)(900+210a) (720+240a)
(2)选择甲旅行社更划算。
(1)(900+210a) (720+240a)
(2)选择甲旅行社更划算。
查看更多完整答案,请扫码查看