第27页
- 第1页
- 第2页
- 第3页
- 第4页
- 第5页
- 第6页
- 第7页
- 第8页
- 第9页
- 第10页
- 第11页
- 第12页
- 第13页
- 第14页
- 第15页
- 第16页
- 第17页
- 第18页
- 第19页
- 第20页
- 第21页
- 第22页
- 第23页
- 第24页
- 第25页
- 第26页
- 第27页
- 第28页
- 第29页
- 第30页
- 第31页
- 第32页
- 第33页
- 第34页
- 第35页
- 第36页
- 第37页
- 第38页
- 第39页
- 第40页
- 第41页
- 第42页
- 第43页
- 第44页
- 第45页
- 第46页
- 第47页
- 第48页
- 第49页
- 第50页
- 第51页
- 第52页
- 第53页
- 第54页
- 第55页
- 第56页
- 第57页
- 第58页
- 第59页
- 第60页
- 第61页
- 第62页
- 第63页
- 第64页
- 第65页
- 第66页
- 第67页
- 第68页
- 第69页
- 第70页
- 第71页
- 第72页
- 第73页
- 第74页
- 第75页
- 第76页
- 第77页
- 第78页
- 第79页
- 第80页
- 第81页
- 第82页
- 第83页
- 第84页
- 第85页
- 第86页
- 第87页
- 第88页
- 第89页
- 第90页
- 第91页
- 第92页
- 第93页
- 第94页
- 第95页
- 第96页
- 第97页
- 第98页
- 第99页
- 第100页
- 第101页
- 第102页
- 第103页
- 第104页
- 第105页
- 第106页
- 第107页
- 第108页
- 第109页
- 第110页
- 第111页
- 第112页
- 第113页
- 第114页
- 第115页
- 第116页
- 第117页
- 第118页
- 第119页
- 第120页
- 第121页
- 第122页
- 第123页
- 第124页
- 第125页
- 第126页
- 第127页
- 第128页
- 第129页
- 第130页
- 第131页
- 第132页
- 第133页
- 第134页
- 第135页
- 第136页
- 第137页
- 第138页
- 第139页
- 第140页
- 第141页
- 第142页
- 第143页
- 第144页
- 第145页
- 第146页
- 第147页
- 第148页
- 第149页
- 第150页
- 第151页
- 第152页
- 第153页
- 第154页
- 第155页
- 第156页
- 第157页
- 第158页
- 第159页
- 第160页
- 第161页
- 第162页
- 第163页
- 第164页
10. 李明的练习册上有这样一道题:计算 $|(-4)+■|$,其中“■”是被墨水污染而看不到的一个数,他翻看了后边的答案得知该题的计算结果为 $10$,那么“■”表示的数应该是______。
答案:
14或-6
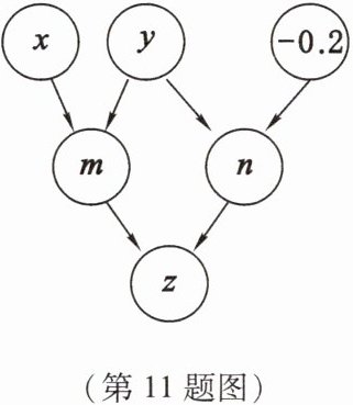
11. 约定:上方相邻两数之和等于这两数下方箭头共同指向的数。
示例:

即 $4 + 3 = 7$。
如图,当 $x = 2$,$y = -\dfrac{6}{5}$ 时,求 $z$ 的值。

示例:
即 $4 + 3 = 7$。
如图,当 $x = 2$,$y = -\dfrac{6}{5}$ 时,求 $z$ 的值。
答案:
根据约定,得
$m=x+y=2+\left(-\frac{6}{5}\right)=\frac{4}{5}$,
$n=y+(-0.2)=\left(-\frac{6}{5}\right)+\left(-\frac{1}{5}\right)$
$=-\frac{7}{5}$,
$\therefore z=m+n=\frac{4}{5}+\left(-\frac{7}{5}\right)=-\frac{3}{5}$.
$m=x+y=2+\left(-\frac{6}{5}\right)=\frac{4}{5}$,
$n=y+(-0.2)=\left(-\frac{6}{5}\right)+\left(-\frac{1}{5}\right)$
$=-\frac{7}{5}$,
$\therefore z=m+n=\frac{4}{5}+\left(-\frac{7}{5}\right)=-\frac{3}{5}$.
12. 学习了有理数的加法后,小明画出了下图:

请根据以上信息,回答下列问题:
图中①为______,②为______。
请根据以上信息,回答下列问题:
图中①为______,②为______。
答案:
取与加数相同的正负号 用较大的绝对值减去较小的绝对值
13. 请根据下面的情景对话回答问题:
小明:数轴上标有五个点 $A$,$B$,$C$,$D$,$E$,点 $A$,$B$ 表示的数都是绝对值是 $4$ 的数,点 $A$ 在点 $B$ 的左边;
小宇:点 $C$ 表示负整数,点 $D$ 表示正整数,且 $C$,$D$ 两点之间的距离为 $3$;
小智:点 $E$ 表示的数的相反数是它本身。
(1) 求 $A$,$B$,$C$,$D$,$E$ 五个不同的点对应的数。
(2) 求这五个点表示的数的和。
小明:数轴上标有五个点 $A$,$B$,$C$,$D$,$E$,点 $A$,$B$ 表示的数都是绝对值是 $4$ 的数,点 $A$ 在点 $B$ 的左边;
小宇:点 $C$ 表示负整数,点 $D$ 表示正整数,且 $C$,$D$ 两点之间的距离为 $3$;
小智:点 $E$ 表示的数的相反数是它本身。
(1) 求 $A$,$B$,$C$,$D$,$E$ 五个不同的点对应的数。
(2) 求这五个点表示的数的和。
答案:
(1)
∵ 点 E 表示的数的相反数是它本身,
∴ 点 E 表示的数是 0.
∵ 点 A,B 表示的数都是绝对值是 4 的数,且点 A 在点 B 的左边,
∴ 点 A 表示的数是-4,点 B 表示的数是 4.
∵ 点 C 表示负整数,点 D 表示正整数,且这两个数的差是 3,
∴ 若点 C 表示的数是-1,则点 D 表示的数是 2;若点 C 表示的数是-2,则点 D 表示的数是 1,
即 A,B,C,D,E 五个不同的点对应的数分别是-4,4,-1,2,0 或-4,4,-2,1,0.
(2)当 A,B,C,D,E 五个不同的点对应的数分别是-4,4,-1,2,0 时,这五个点表示的数的和是
$-4+4+(-1)+2+0=1$;
当 A,B,C,D,E 五个不同的点对应的数分别是-4,4,-2,1,0 时,这五个点表示的数的和是
$-4+4+(-2)+1+0=-1$.
(1)
∵ 点 E 表示的数的相反数是它本身,
∴ 点 E 表示的数是 0.
∵ 点 A,B 表示的数都是绝对值是 4 的数,且点 A 在点 B 的左边,
∴ 点 A 表示的数是-4,点 B 表示的数是 4.
∵ 点 C 表示负整数,点 D 表示正整数,且这两个数的差是 3,
∴ 若点 C 表示的数是-1,则点 D 表示的数是 2;若点 C 表示的数是-2,则点 D 表示的数是 1,
即 A,B,C,D,E 五个不同的点对应的数分别是-4,4,-1,2,0 或-4,4,-2,1,0.
(2)当 A,B,C,D,E 五个不同的点对应的数分别是-4,4,-1,2,0 时,这五个点表示的数的和是
$-4+4+(-1)+2+0=1$;
当 A,B,C,D,E 五个不同的点对应的数分别是-4,4,-2,1,0 时,这五个点表示的数的和是
$-4+4+(-2)+1+0=-1$.
查看更多完整答案,请扫码查看