2025年暑假总动员八年级数学沪科版合肥工业大学出版社
注:目前有些书本章节名称可能整理的还不是很完善,但都是按照顺序排列的,请同学们按照顺序仔细查找。练习册 2025年暑假总动员八年级数学沪科版合肥工业大学出版社 答案主要是用来给同学们做完题方便对答案用的,请勿直接抄袭。
第40页
- 第1页
- 第2页
- 第3页
- 第4页
- 第5页
- 第6页
- 第7页
- 第8页
- 第9页
- 第10页
- 第11页
- 第12页
- 第13页
- 第14页
- 第15页
- 第16页
- 第17页
- 第18页
- 第19页
- 第20页
- 第21页
- 第22页
- 第23页
- 第24页
- 第25页
- 第26页
- 第27页
- 第28页
- 第29页
- 第30页
- 第31页
- 第32页
- 第33页
- 第34页
- 第35页
- 第36页
- 第37页
- 第38页
- 第39页
- 第40页
- 第41页
- 第42页
- 第43页
- 第44页
- 第45页
- 第46页
- 第47页
- 第48页
- 第49页
- 第50页
- 第51页
- 第52页
- 第53页
- 第54页
- 第55页
- 第56页
- 第57页
- 第58页
- 第59页
- 第60页
- 第61页
- 第62页
- 第63页
- 第64页
- 第65页
- 第66页
1. 已知一次函数$y= (4-k)x+k-4$中,$y随x$的增大而增大,这个函数的图象可能是(

B
)
答案:
B
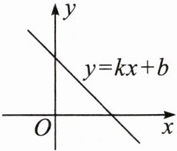
2. 一次函数$y= kx+b$的图象如图所示,则下列选项中错误的说法是(

A. $kb<0$
B. 当$x<0$时,$y>b$
C. 若点$A(-1,y_{1})与B(2,y_{2})都在直线y= kx+b$上,则$y_{1}>y_{2}$
D. 将函数图象向左平移1个单位后,图象恰好经过坐标原点,则$k= b$
D
)A. $kb<0$
B. 当$x<0$时,$y>b$
C. 若点$A(-1,y_{1})与B(2,y_{2})都在直线y= kx+b$上,则$y_{1}>y_{2}$
D. 将函数图象向左平移1个单位后,图象恰好经过坐标原点,则$k= b$
答案:
D
3. (苏州)已知点$A(\sqrt {2},m)$,$B(\frac {3}{2},n)在一次函数y= 2x+1$的图象上,则$m与n$的大小关系是(
A. $m>n$
B. $m= n$
C. $m<n$
D. 无法确定
C
)A. $m>n$
B. $m= n$
C. $m<n$
D. 无法确定
答案:
C
4. (恩施州)某物体在力$F$的作用下,沿力的方向移动的距离为$s$,力对物体所做的功$W与s$的对应关系如图所示,则下列结论正确的是(

A. $W= \frac {1}{8}s$
B. $W= 20s$
C. $W= 8s$
D. $s= \frac {160}{W}$
C
)A. $W= \frac {1}{8}s$
B. $W= 20s$
C. $W= 8s$
D. $s= \frac {160}{W}$
答案:
C
5. (陕西)在平面直角坐标系中,若将一次函数$y= 2x+m-1$的图象向左平移3个单位后,得到一个正比例函数的图象,则$m$的值为(
A. $-5$
B. $5$
C. $-6$
D. $6$
A
)A. $-5$
B. $5$
C. $-6$
D. $6$
答案:
A
6. (乐山)如图,已知直线$l_{1}:y= -2x+4与坐标轴分别交于A$,$B$两点,那么过原点$O且将\triangle AOB的面积平分的直线l_{2}$的解析式为(

A. $y= \frac {1}{2}x$
B. $y= x$
C. $y= \frac {3}{2}x$
D. $y= 2x$
C
)A. $y= \frac {1}{2}x$
B. $y= x$
C. $y= \frac {3}{2}x$
D. $y= 2x$
答案:
C
7. (营口)已知一次函数$y= kx-k$过点$(-1,4)$,则下列结论正确的是(
A. $y随x$增大而增大
B. $k= 2$
C. 直线过点$(1,0)$
D. 与坐标轴围成的三角形面积为2
C
)A. $y随x$增大而增大
B. $k= 2$
C. 直线过点$(1,0)$
D. 与坐标轴围成的三角形面积为2
答案:
C
8. 在平面直角坐标系中,$O$为坐标原点.若直线$y= x+3分别与x$轴、直线$y= -2x交于点A$,$B$,则$\triangle AOB$的面积为(
A. $2$
B. $3$
C. $4$
D. $6$
B
)A. $2$
B. $3$
C. $4$
D. $6$
答案:
B
9. (贵阳)小星在“趣味数学”社团活动中探究了直线交点个数的问题.现有7条不同的直线$y= k_{n}x+b_{n}(n= 1,2,3,4,5,6,7)$,其中$k_{1}= k_{2}$,$b_{3}= b_{4}= b_{5}$,则他探究这7条直线的交点个数最多是(
A. $17$个
B. $18$个
C. $19$个
D. $21$个
B
)A. $17$个
B. $18$个
C. $19$个
D. $21$个
答案:
B
10. 将直线$y= 5x$向下平移2个单位长度,所得直线的表达式为(
A. $y= 5x-2$
B. $y= 5x+2$
C. $y= 5(x+2)$
D. $y= 5(x-2)$
A
)A. $y= 5x-2$
B. $y= 5x+2$
C. $y= 5(x+2)$
D. $y= 5(x-2)$
答案:
A
查看更多完整答案,请扫码查看