2025年暑假总动员八年级数学沪科版合肥工业大学出版社
注:目前有些书本章节名称可能整理的还不是很完善,但都是按照顺序排列的,请同学们按照顺序仔细查找。练习册 2025年暑假总动员八年级数学沪科版合肥工业大学出版社 答案主要是用来给同学们做完题方便对答案用的,请勿直接抄袭。
第31页
- 第1页
- 第2页
- 第3页
- 第4页
- 第5页
- 第6页
- 第7页
- 第8页
- 第9页
- 第10页
- 第11页
- 第12页
- 第13页
- 第14页
- 第15页
- 第16页
- 第17页
- 第18页
- 第19页
- 第20页
- 第21页
- 第22页
- 第23页
- 第24页
- 第25页
- 第26页
- 第27页
- 第28页
- 第29页
- 第30页
- 第31页
- 第32页
- 第33页
- 第34页
- 第35页
- 第36页
- 第37页
- 第38页
- 第39页
- 第40页
- 第41页
- 第42页
- 第43页
- 第44页
- 第45页
- 第46页
- 第47页
- 第48页
- 第49页
- 第50页
- 第51页
- 第52页
- 第53页
- 第54页
- 第55页
- 第56页
- 第57页
- 第58页
- 第59页
- 第60页
- 第61页
- 第62页
- 第63页
- 第64页
- 第65页
- 第66页
1. 如果$\sqrt{\dfrac{x - 1}{y}}$是二次根式,那么$x$,$y$应满足的条件是 (
A. $x\geqslant 1$,$y\geqslant 0$
B. $(x - 1)\cdot y\geqslant 0$
C. $\dfrac{x - 1}{y}\geqslant 0$
D. $x\geqslant 1$,$y>0$
C
)A. $x\geqslant 1$,$y\geqslant 0$
B. $(x - 1)\cdot y\geqslant 0$
C. $\dfrac{x - 1}{y}\geqslant 0$
D. $x\geqslant 1$,$y>0$
答案:
C
2. 能使$\sqrt{x + 2}-\dfrac{5}{3 - x}$有意义的x的范围是 (
A. $x\geqslant - 2且x\neq 3$
B. $x\leqslant 3$
C. $- 2\leqslant x<-3$
D. $- 2\leqslant x\leqslant 3$
A
)A. $x\geqslant - 2且x\neq 3$
B. $x\leqslant 3$
C. $- 2\leqslant x<-3$
D. $- 2\leqslant x\leqslant 3$
答案:
A
3. 化简二次根式$a\sqrt{-\dfrac{a + 2}{a^{2}}}$的结果是 (
A. $\sqrt{-a - 2}$
B. $-\sqrt{-a - 2}$
C. $\sqrt{a - 2}$
D. $-\sqrt{a - 2}$
B
)A. $\sqrt{-a - 2}$
B. $-\sqrt{-a - 2}$
C. $\sqrt{a - 2}$
D. $-\sqrt{a - 2}$
答案:
B
4. 已知实数$a$在数轴上的位置如图,则化简$|a - 1|-\sqrt{a^{2}}$的结果为 (

A. $-1$
B. $1$
C. $2a - 1$
D. $1 - 2a$
D
)A. $-1$
B. $1$
C. $2a - 1$
D. $1 - 2a$
答案:
D
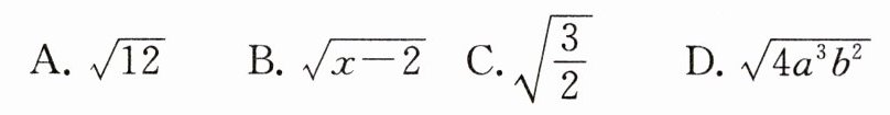
5. 下列二次根式中,最简二次根式是 (

A. $\sqrt{12}$
B. $\sqrt{x - 2}$
C. $\sqrt{\dfrac{3}{2}}$
D. $\sqrt{4a^{3}b^{2}}$
B
)A. $\sqrt{12}$
B. $\sqrt{x - 2}$
C. $\sqrt{\dfrac{3}{2}}$
D. $\sqrt{4a^{3}b^{2}}$
答案:
B
6. (湖州)化简$\sqrt{8}$的正确结果是 (
A. $4$
B. $\pm 4$
C. $2\sqrt{2}$
D. $\pm 2\sqrt{2}$
C
)A. $4$
B. $\pm 4$
C. $2\sqrt{2}$
D. $\pm 2\sqrt{2}$
答案:
C
7. (广东)若$|a - \sqrt{3}|+\sqrt{9a^{2} - 12ab + 4b^{2}} = 0$,则$ab = $ (
A. $\sqrt{3}$
B. $\dfrac{9}{2}$
C. $4\sqrt{3}$
D. $9$
B
)A. $\sqrt{3}$
B. $\dfrac{9}{2}$
C. $4\sqrt{3}$
D. $9$
答案:
B
8. (临沂)比较大小:$2\sqrt{6}$
<
(选填“$>$”“$=$”或“$<$”)$5$.
答案:
<
9. (达州)已知a,b满足等式$a^{2} + 6a + 9+\sqrt{b - \dfrac{1}{3}} = 0,$则a^{2023}b^{2022} =
-3
.
答案:
-3
10. 已知实数$a$,$b$在数轴上的位置如图,化简$|a + b|-\sqrt{(a - b)^{2}}$的结果为

-2a
.
答案:
-2a
11. 三角形的三边长分别为$3$,$m$,$5$,化简$\sqrt{(2 - m)^{2}}-\sqrt{(m - 8)^{2}} = $
2m - 10
.
答案:
2m - 10
12. 下列计算正确的是 (
A. $\sqrt{8}-\sqrt{3}= \sqrt{5}$
B. $3\sqrt{2}+\sqrt{2}= 4\sqrt{2}$
C. $\sqrt{18}÷\sqrt{3}= 6$
D. $\sqrt{6}×(-\sqrt{3})= 3\sqrt{2}$
B
)A. $\sqrt{8}-\sqrt{3}= \sqrt{5}$
B. $3\sqrt{2}+\sqrt{2}= 4\sqrt{2}$
C. $\sqrt{18}÷\sqrt{3}= 6$
D. $\sqrt{6}×(-\sqrt{3})= 3\sqrt{2}$
答案:
B
13. $\sqrt{(3 - \sqrt{10})^{2}}$的值等于 (
A. $\pm(3 - \sqrt{10})$
B. $3\pm\sqrt{10}$
C. $3 - \sqrt{10}$
D. $\sqrt{10}-3$
D
)A. $\pm(3 - \sqrt{10})$
B. $3\pm\sqrt{10}$
C. $3 - \sqrt{10}$
D. $\sqrt{10}-3$
答案:
D
14. 估计$-\sqrt{18}+\sqrt{50}×\left(-\dfrac{1}{5}\right)$的结果介于(
A. $-5与-6$之间
B. $-4与-5$之间
C. $-3与-4$之间
D. $-2与-3$之间
A
)A. $-5与-6$之间
B. $-4与-5$之间
C. $-3与-4$之间
D. $-2与-3$之间
答案:
A
15. 已知$a - b = 2\sqrt{3}-1$,$ab = \sqrt{3}$,则$(a + 1)(b - 1)$的值为 (
A. $-\sqrt{3}$
B. $3\sqrt{3}$
C. $3\sqrt{3}-2$
D. $\sqrt{3}-1$
A
)A. $-\sqrt{3}$
B. $3\sqrt{3}$
C. $3\sqrt{3}-2$
D. $\sqrt{3}-1$
答案:
A
16. 已知$x = \sqrt{3}-\sqrt{2}$,那么$x+\dfrac{1}{x}$的值等于 (
A. $2\sqrt{3}$
B. $-2\sqrt{3}$
C. $2\sqrt{2}$
D. $-2\sqrt{2}$
A
)A. $2\sqrt{3}$
B. $-2\sqrt{3}$
C. $2\sqrt{2}$
D. $-2\sqrt{2}$
答案:
A
17. 已知$x$,$y$为实数,且$y = \sqrt{x^{2} - 9}-\sqrt{9 - x^{2}}+4$,则$x - y$的值为
-1 或 -7
.
答案:
-1 或 -7
18. 已知$x = 2-\sqrt{3}$,$y = 2+\sqrt{3}$,则代数式$x^{2}+y^{2}$的值为
14
.
答案:
14
查看更多完整答案,请扫码查看