第56页
- 第1页
- 第2页
- 第3页
- 第4页
- 第5页
- 第6页
- 第7页
- 第8页
- 第9页
- 第10页
- 第11页
- 第12页
- 第13页
- 第14页
- 第15页
- 第16页
- 第17页
- 第18页
- 第19页
- 第20页
- 第21页
- 第22页
- 第23页
- 第24页
- 第25页
- 第26页
- 第27页
- 第28页
- 第29页
- 第30页
- 第31页
- 第32页
- 第33页
- 第34页
- 第35页
- 第36页
- 第37页
- 第38页
- 第39页
- 第40页
- 第41页
- 第42页
- 第43页
- 第44页
- 第45页
- 第46页
- 第47页
- 第48页
- 第49页
- 第50页
- 第51页
- 第52页
- 第53页
- 第54页
- 第55页
- 第56页
- 第57页
- 第58页
- 第59页
- 第60页
- 第61页
- 第62页
- 第63页
- 第64页
- 第65页
- 第66页
- 第67页
- 第68页
- 第69页
- 第70页
- 第71页
- 第72页
- 第73页
- 第74页
- 第75页
- 第76页
- 第77页
- 第78页
- 第79页
- 第80页
- 第81页
- 第82页
- 第83页
- 第84页
- 第85页
- 第86页
- 第87页
- 第88页
- 第89页
- 第90页
- 第91页
- 第92页
- 第93页
- 第94页
- 第95页
- 第96页
- 第97页
- 第98页
- 第99页
- 第100页
- 第101页
- 第102页
- 第103页
- 第104页
- 第105页
- 第106页
- 第107页
- 第108页
- 第109页
- 第110页
- 第111页
- 第112页
- 第113页
- 第114页
- 第115页
- 第116页
- 第117页
- 第118页
- 第119页
- 第120页
- 第121页
- 第122页
- 第123页
- 第124页
- 第125页
- 第126页
- 第127页
- 第128页
- 第129页
- 第130页
- 第131页
1 灯泡 $ L_{1} $ 和 $ L_{2} $ 串联后接入电路,用电流表测电路中的电流,闭合开关后,发现电流表的示数为零,那么可能出现的问题是 (
A.灯泡 $ L_{1} $ 被短路
B.灯泡 $ L_{2} $ 被短路
C.有一盏灯的灯丝断了
D.电流表正、负接线柱接反了
C
)A.灯泡 $ L_{1} $ 被短路
B.灯泡 $ L_{2} $ 被短路
C.有一盏灯的灯丝断了
D.电流表正、负接线柱接反了
答案:
C 电流表无示数,说明电路中出现开路或电流表被短路。若一个灯泡被短路,则电流表仍有示数。若电流表正、负接线柱接反了,则指针应反向偏转。故选C。
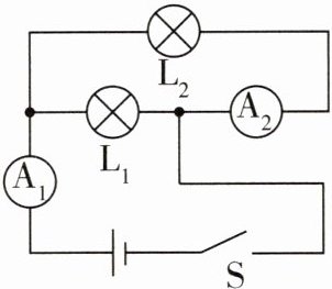
2 [2025 沈阳第一二六中学月考] 如图所示电路,闭合开关 $ S_{1} $、$ S_{2} $,下列对电路的分析正确的是 (
A.$ L_{1} $ 与 $ L_{2} $ 串联
B.电流表 $ A_{1} $ 测通过 $ L_{1} $ 的电流
C.当开关 $ S_{2} $ 断开时,电流表 $ A_{2} $ 的示数变小
D.当开关 $ S_{2} $ 断开时,通过 $ L_{1} $ 的电流变小
C
)A.$ L_{1} $ 与 $ L_{2} $ 串联
B.电流表 $ A_{1} $ 测通过 $ L_{1} $ 的电流
C.当开关 $ S_{2} $ 断开时,电流表 $ A_{2} $ 的示数变小
D.当开关 $ S_{2} $ 断开时,通过 $ L_{1} $ 的电流变小
答案:
C 由题图电路可知,L₁、L₂并联,A₁测通过L₂的电流,A₂测干路电流,S₁控制整个电路,S₂控制L₂所在支路。S₂断开时,通过L₂的电流为零,即A₁的示数为零,并联电路各支路互不影响,所以通过L₁的电流不变,干路电流减小。故选C。
3 小明家中装有一台电视机、一台洗衣机、两盏相同的照明灯,单个用电器正常工作时的电流分别为 $ 500mA $、$ 1A $、$ 300mA $,如果总电流不允许超过 $ 3A $,他家最多还能再安装
3
盏 $ 300mA $ 的照明灯。
答案:
3
4 [2025 龙岩初级中学月考] 如图所示,开关 $ S $ 闭合后,两个灯泡是

并
联关系,发现两只电流表的指针恰好偏转到同一位置,若通过 $ L_{1} $ 的电流为 $ 0.8A $,则电流表 $ A_{1} $ 示数是1
$ A $,电流表 $ A_{2} $ 示数是0.2
$ A $。
答案:
并 1 0.2
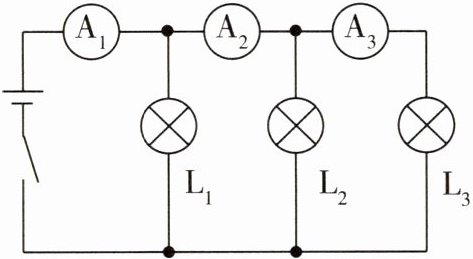
5 [2025 厦门湖滨中学期中] 如图所示,电流表 $ A_{1} $、$ A_{2} $ 和 $ A_{3} $ 的示数分别为 $ 1.2A $、$ 0.8A $ 和 $ 0.3A $。那么通过灯 $ L_{2} $ 的电流为

0.5
$ A $;若灯 $ L_{3} $ 因灯丝断了突然熄灭,$ A_{3} $ 的示数为 $ 0 $,则 $ A_{1} $ 的示数变为0.9
$ A $。
答案:
0.5 0.9
6 小林用如图所示的电路研究串联电路特点,闭合开关后,发现灯 $ L_{1} $ 较亮,灯 $ L_{2} $ 较暗。他对这一现象的解释是电流从电源正极出发,经过灯 $ L_{1} $、灯 $ L_{2} $,电流逐渐变小,所以灯 $ L_{1} $ 较亮,灯 $ L_{2} $ 较暗。小欢认为小林的解释是错误的,她利用图中的器材设计了一个实验,并根据实验现象说明小林的解释是错误的。请你完成下列问题:

(1) 画出小欢所设计的实验电路图。
(2) 根据实验现象简要说明为什么小林的解释是错误的。
(1) 画出小欢所设计的实验电路图。
(2) 根据实验现象简要说明为什么小林的解释是错误的。
答案:
(1)如图所示。
(2)按照小林的解释,闭合开关S后,电流从电源正极出发,经过灯L₂、灯L₁,电流逐渐变小,应该是灯L₂较亮,灯L₁较暗。但实验现象仍然是灯L₁较亮,灯L₂较暗。这说明小林的解释是错误的。
(1)如图所示。
(2)按照小林的解释,闭合开关S后,电流从电源正极出发,经过灯L₂、灯L₁,电流逐渐变小,应该是灯L₂较亮,灯L₁较暗。但实验现象仍然是灯L₁较亮,灯L₂较暗。这说明小林的解释是错误的。
查看更多完整答案,请扫码查看