2025年假期面对面南方出版社八年级数学沪科版
注:目前有些书本章节名称可能整理的还不是很完善,但都是按照顺序排列的,请同学们按照顺序仔细查找。练习册 2025年假期面对面南方出版社八年级数学沪科版 答案主要是用来给同学们做完题方便对答案用的,请勿直接抄袭。
第38页
- 第1页
- 第2页
- 第3页
- 第4页
- 第5页
- 第6页
- 第7页
- 第8页
- 第9页
- 第10页
- 第11页
- 第12页
- 第13页
- 第14页
- 第15页
- 第16页
- 第17页
- 第18页
- 第19页
- 第20页
- 第21页
- 第22页
- 第23页
- 第24页
- 第25页
- 第26页
- 第27页
- 第28页
- 第29页
- 第30页
- 第31页
- 第32页
- 第33页
- 第34页
- 第35页
- 第36页
- 第37页
- 第38页
- 第39页
- 第40页
- 第41页
- 第42页
- 第43页
- 第44页
- 第45页
- 第46页
- 第47页
- 第48页
- 第49页
- 第50页
- 第51页
- 第52页
- 第53页
- 第54页
- 第55页
- 第56页
- 第57页
- 第58页
- 第59页
- 第60页
- 第61页
- 第62页
- 第63页
- 第64页
- 第65页
- 第66页
- 第67页
- 第68页
11.(天津中考)直线$y=2x-1$与x轴交点的坐标为
$(\frac{1}{2},0)$
.
答案:
$(\frac{1}{2},0)$
12.(上海中考)已知正比例函数$y=kx$(k是常数,$k≠0)$的图象经过第二、四象限,那么y的值随着x的值增大而
减小
(填“增大”或“减小”).
答案:
减小
13.(东营中考)已知一次函数$y=kx+b(k≠0)$的图象经过$A(1,-1),B(-1,3)$两点,则k
<
0(填“>”或“<”).
答案:
<
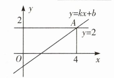
14.(遵义中考)如图,直线$y=kx+b$(k,b是常数,$k≠0)$与直线$y=2$交于点$A(4,2)$,则关于x的不等式$kx+b<2$的解集为

$x < 4$
.
答案:
$x < 4$
15.(西宁中考)若点$A(m,n)$在直线$y=kx(k≠0)$上,当$-1≤m≤1$时,$-1≤n≤1$,则这条直线的函数表达式为
$y = x$ 或 $y = -x$
.
答案:
$y = x$ 或 $y = -x$
16.(郴州中考)小红在练习仰卧起坐,本月1日至4日的成绩与日期具有如下关系:
|日期x(日)|1|2|3|4|
|----|----|----|----|----|
|成绩y(个)|40|43|46|49|
小红的仰卧起坐成绩y与日期x之间近似为一次函数关系,则该函数表达式为
|日期x(日)|1|2|3|4|
|----|----|----|----|----|
|成绩y(个)|40|43|46|49|
小红的仰卧起坐成绩y与日期x之间近似为一次函数关系,则该函数表达式为
$y = 3x + 37$
.
答案:
$y = 3x + 37$
17.(10分)(南通中考)如图,直线$l_{1}:y=x+3$与过点$A(3,0)$的直线$l_{2}$交于点$C(1,m)$,与x轴交于点B.
(1)求直线$l_{2}$的表达式;
(2)点M在直线$l_{1}$上,$MN// y$轴,交直线$l_{2}$于点N,若$MN=AB$,求点M的坐标.
(1)直线$l_{2}$的表达式为
(2)点M的坐标为
(1)求直线$l_{2}$的表达式;
(2)点M在直线$l_{1}$上,$MN// y$轴,交直线$l_{2}$于点N,若$MN=AB$,求点M的坐标.
(1)直线$l_{2}$的表达式为
$y=-2x+6$
。(2)点M的坐标为
$(3,6)$或$(-1,2)$
。
答案:
解:
(1)在 $y = x + 3$ 中,令 $y = 0$,得 $x = -3$,$\therefore B(-3,0)$。把 $x = 1$ 代入 $y = x + 3$ 得 $y = 4$,$\therefore C(1,4)$。设直线 $l_2$ 的表达式为 $y = kx + b$,则有 $\begin{cases}k + b = 4,\\3k + b = 0,\end{cases}$ 解得 $\begin{cases}k = -2,\\b = 6.\end{cases}$ $\therefore$ 直线 $l_2$ 的表达式为 $y = -2x + 6$。
(2)$AB = 3 - (-3) = 6$,设 $M(a,a + 3)$,由 $MN// y$ 轴,得 $N(a,-2a + 6)$,$MN = |a + 3 - (-2a + 6)| = AB = 6$,解得 $a = 3$ 或 $a = -1$,$\therefore M(3,6)$ 或 $(-1,2)$。
(1)在 $y = x + 3$ 中,令 $y = 0$,得 $x = -3$,$\therefore B(-3,0)$。把 $x = 1$ 代入 $y = x + 3$ 得 $y = 4$,$\therefore C(1,4)$。设直线 $l_2$ 的表达式为 $y = kx + b$,则有 $\begin{cases}k + b = 4,\\3k + b = 0,\end{cases}$ 解得 $\begin{cases}k = -2,\\b = 6.\end{cases}$ $\therefore$ 直线 $l_2$ 的表达式为 $y = -2x + 6$。
(2)$AB = 3 - (-3) = 6$,设 $M(a,a + 3)$,由 $MN// y$ 轴,得 $N(a,-2a + 6)$,$MN = |a + 3 - (-2a + 6)| = AB = 6$,解得 $a = 3$ 或 $a = -1$,$\therefore M(3,6)$ 或 $(-1,2)$。
18.(12分)(绵阳中考)4月23日是“世界读书日”,甲、乙两个书店在这一天举行了购书优惠活动.甲书店:所有书籍按标价8折出售;乙书店:一次购书中标价总额不超过100元的按原价计费,超过100元后的部分打6折.
(1)以x(单位:元)表示标价总额,y(单位:元)表示应支付金额,分别就两家书店的优惠方式,求y关于x的函数表达式;
(2)“世界读书日”这一天,如何选择这两家书店去购书更省钱?
(1)以x(单位:元)表示标价总额,y(单位:元)表示应支付金额,分别就两家书店的优惠方式,求y关于x的函数表达式;
(2)“世界读书日”这一天,如何选择这两家书店去购书更省钱?
答案:
解:
(1)由题意得,甲书店:$y = 0.8x$,乙书店:$y = \begin{cases}x(x\leqslant 100),\\0.6x + 40(x > 100).\end{cases}$
(2)令 $0.8x = 0.6x + 40$,解得 $x = 200$。当 $x < 200$ 时,选择甲书店更省钱;当 $x = 200$ 时,甲、乙书店所需费用相同;当 $x > 200$ 时,选择乙书店更省钱。
(1)由题意得,甲书店:$y = 0.8x$,乙书店:$y = \begin{cases}x(x\leqslant 100),\\0.6x + 40(x > 100).\end{cases}$
(2)令 $0.8x = 0.6x + 40$,解得 $x = 200$。当 $x < 200$ 时,选择甲书店更省钱;当 $x = 200$ 时,甲、乙书店所需费用相同;当 $x > 200$ 时,选择乙书店更省钱。
19.(14分)(吉林中考)甲、乙两车分别从A,B两地同时出发,沿同一条公路相向行驶,相遇后,甲车继续以原速行驶到B地,乙车立即以原速原路返回到B地,甲、乙两车距B地的路程y(km)与各自行驶的时间x(h)之间的关系如图所示.
(1)$m=$
(2)求乙车距B地的路程y关于x的函数表达式,并写出自变量x的取值范围;
(3)当甲车到达B地时,求乙车距B地的路程.
(1)$m=$
4
,$n=$120
;(2)求乙车距B地的路程y关于x的函数表达式,并写出自变量x的取值范围;
(3)当甲车到达B地时,求乙车距B地的路程.
答案:
解:
(1)4 120
(2)当 $0\leqslant x\leqslant 2$ 时,设 $y_{乙} = kx(k\neq 0)$。将 $(2,120)$ 代入 $y = kx$,得 $120 = 2k$,$\therefore k = 60$,$\therefore y_{乙} = 60x$。当 $2 < x\leqslant 4$ 时,设 $y_{乙} = k'x + b(k'\neq 0)$。将 $(2,120)$,$(4,0)$ 代入 $y_{乙} = k'x + b$,得 $\begin{cases}120 = 2k' + b,\\0 = 4k' + b,\end{cases}$ 解得 $\begin{cases}k' = -60,\\b = 240,\end{cases}$ $\therefore y_{乙} = -60x + 240$。综上,$y_{乙} = \begin{cases}60x(0\leqslant x\leqslant 2),\\-60x + 240(2 < x\leqslant 4).\end{cases}$
(3)将 $x = 3.5$ 代入 $y = -60x + 240$,得 $y = -60\times 3.5 + 240 = 30$。即当甲车到达 $B$ 地时,乙车距 $B$ 地 $30\ \text{km}$。
(1)4 120
(2)当 $0\leqslant x\leqslant 2$ 时,设 $y_{乙} = kx(k\neq 0)$。将 $(2,120)$ 代入 $y = kx$,得 $120 = 2k$,$\therefore k = 60$,$\therefore y_{乙} = 60x$。当 $2 < x\leqslant 4$ 时,设 $y_{乙} = k'x + b(k'\neq 0)$。将 $(2,120)$,$(4,0)$ 代入 $y_{乙} = k'x + b$,得 $\begin{cases}120 = 2k' + b,\\0 = 4k' + b,\end{cases}$ 解得 $\begin{cases}k' = -60,\\b = 240,\end{cases}$ $\therefore y_{乙} = -60x + 240$。综上,$y_{乙} = \begin{cases}60x(0\leqslant x\leqslant 2),\\-60x + 240(2 < x\leqslant 4).\end{cases}$
(3)将 $x = 3.5$ 代入 $y = -60x + 240$,得 $y = -60\times 3.5 + 240 = 30$。即当甲车到达 $B$ 地时,乙车距 $B$ 地 $30\ \text{km}$。
查看更多完整答案,请扫码查看