2025年假期面对面南方出版社八年级数学沪科版
注:目前有些书本章节名称可能整理的还不是很完善,但都是按照顺序排列的,请同学们按照顺序仔细查找。练习册 2025年假期面对面南方出版社八年级数学沪科版 答案主要是用来给同学们做完题方便对答案用的,请勿直接抄袭。
第26页
- 第1页
- 第2页
- 第3页
- 第4页
- 第5页
- 第6页
- 第7页
- 第8页
- 第9页
- 第10页
- 第11页
- 第12页
- 第13页
- 第14页
- 第15页
- 第16页
- 第17页
- 第18页
- 第19页
- 第20页
- 第21页
- 第22页
- 第23页
- 第24页
- 第25页
- 第26页
- 第27页
- 第28页
- 第29页
- 第30页
- 第31页
- 第32页
- 第33页
- 第34页
- 第35页
- 第36页
- 第37页
- 第38页
- 第39页
- 第40页
- 第41页
- 第42页
- 第43页
- 第44页
- 第45页
- 第46页
- 第47页
- 第48页
- 第49页
- 第50页
- 第51页
- 第52页
- 第53页
- 第54页
- 第55页
- 第56页
- 第57页
- 第58页
- 第59页
- 第60页
- 第61页
- 第62页
- 第63页
- 第64页
- 第65页
- 第66页
- 第67页
- 第68页
8. 一组数据2,4,6,4,8的中位数为(
A. 2
B. 4
C. 6
D. 8
B
)A. 2
B. 4
C. 6
D. 8
答案:
B
9. 一组数据-3,2,2,0,2,1的众数是(
A. -3
B. 2
C. 0
D. 1
B
)A. -3
B. 2
C. 0
D. 1
答案:
B
10. 李老师为了解学生家务劳动时间情况,更好地弘扬“热爱劳动”的民族传统美德,随机调查了本校10名学生在上周参加家务劳动的时间,收集到如下数据(单位:小时):4,3,4,6,5,5,6,5,4,5。则这组数据的中位数和众数分别是(
A. 4,5
B. 5,4
C. 5,5
D. 5,6
C
)A. 4,5
B. 5,4
C. 5,5
D. 5,6
答案:
C
11. 五名工人每天生产零件数分别是:5,7,8,5,10,则这组数据的中位数是______
7
。
答案:
7
12. 在创建“平安校园”活动中,郴州市某中学组织学生干部在校门口值日,其中八位同学3月份值日的次数分别是:5,8,7,7,8,6,8,9,则这组数据的众数是
8
。
答案:
8
13. 某班第一单元考试成绩如下表所示,已知全班共有38人,且众数为50分,中位数为60分,则代数式$x^{2}-2y$的值为______
|成绩(分)|20|30|40|50|60|70|90|100|
|----|----|----|----|----|----|----|----|----|
|人数(人)|2|3|5|x|6|y|3|4|
50
。|成绩(分)|20|30|40|50|60|70|90|100|
|----|----|----|----|----|----|----|----|----|
|人数(人)|2|3|5|x|6|y|3|4|
答案:
50
14. 一名学生军训时连续射靶10次,命中环数分别为7,8,6,8,5,9,10,7,6,4。则这名学生射击环数的方差是(
A. 3
B. 2.9
C. 2.8
D. 2.7
A
)A. 3
B. 2.9
C. 2.8
D. 2.7
答案:
A
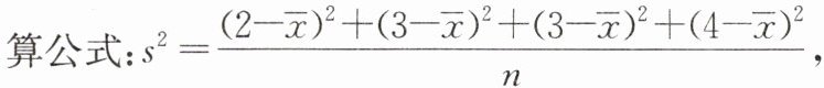
15. 在对一组样本数据进行分析时,小华列出了方差的计算公式:$s^{2}=\frac{(2-\overline{x})^{2}+(3-\overline{x})^{2}+(3-\overline{x})^{2}+(4-\overline{x})^{2}}{n}$,由公式提供的信息,则下列说法错误的是(

A. 样本的容量是4
B. 样本的中位数是3
C. 样本的众数是3
D. 样本的平均数是3.5
D
)A. 样本的容量是4
B. 样本的中位数是3
C. 样本的众数是3
D. 样本的平均数是3.5
答案:
D
16. 某排球队6名场上队员的身高(单位:cm)是180,184,188,190,192,194。现用一名身高为186cm的队员换下场上身高为192cm的队员,则与换人前相比,场上队员的身高(
A. 平均数变小,方差变小
B. 平均数变小,方差变大
C. 平均数变大,方差变小
D. 平均数变大,方差变大
A
)A. 平均数变小,方差变小
B. 平均数变小,方差变大
C. 平均数变大,方差变小
D. 平均数变大,方差变大
答案:
A
17. 已知甲、乙两组数据的折线统计图如图所示,设甲、乙两组数据的方差为$s_{甲}^{2}$,$s_{乙}^{2}$,则$s_{甲}^{2}$

>
(填“>”“<”或“=”)$s_{乙}^{2}$。
答案:
>
18. 某居民小区为了了解本小区100户居民家庭的平均月使用塑料袋的数量情况,随机调查了10户居民家庭月使用塑料袋的数量,结果如下(单位:只):65,70,85,74,86,78,74,92,82,94。根据此统计情况,估计该小区这100户居民家庭平均月使用塑料袋为
80
只。
答案:
80
19. 某茶厂用甲、乙两台分装机分装某种茶叶(每袋茶叶的标准质量为200g)。为了监控分装质量,该厂从它们各自分装的茶叶中随机抽取了50袋,测得它们的实际质量分析如下:
| |平均数(g)|方差|
|----|----|----|
|甲分装机|200|16.23|
|乙分装机|200|5.84|
则这两台分装机中,分装的茶叶质量更稳定的是
| |平均数(g)|方差|
|----|----|----|
|甲分装机|200|16.23|
|乙分装机|200|5.84|
则这两台分装机中,分装的茶叶质量更稳定的是
乙
(填“甲”或“乙”)。
答案:
乙
查看更多完整答案,请扫码查看