2025年金版学案同步优学智慧作业七年级数学上册人教版
注:目前有些书本章节名称可能整理的还不是很完善,但都是按照顺序排列的,请同学们按照顺序仔细查找。练习册 2025年金版学案同步优学智慧作业七年级数学上册人教版 答案主要是用来给同学们做完题方便对答案用的,请勿直接抄袭。
第56页
- 第1页
- 第2页
- 第3页
- 第4页
- 第5页
- 第6页
- 第7页
- 第8页
- 第9页
- 第10页
- 第11页
- 第12页
- 第13页
- 第14页
- 第15页
- 第16页
- 第17页
- 第18页
- 第19页
- 第20页
- 第21页
- 第22页
- 第23页
- 第24页
- 第25页
- 第26页
- 第27页
- 第28页
- 第29页
- 第30页
- 第31页
- 第32页
- 第33页
- 第34页
- 第35页
- 第36页
- 第37页
- 第38页
- 第39页
- 第40页
- 第41页
- 第42页
- 第43页
- 第44页
- 第45页
- 第46页
- 第47页
- 第48页
- 第49页
- 第50页
- 第51页
- 第52页
- 第53页
- 第54页
- 第55页
- 第56页
- 第57页
- 第58页
- 第59页
- 第60页
- 第61页
- 第62页
- 第63页
- 第64页
- 第65页
- 第66页
- 第67页
- 第68页
- 第69页
- 第70页
- 第71页
- 第72页
- 第73页
- 第74页
- 第75页
- 第76页
- 第77页
- 第78页
- 第79页
- 第80页
- 第81页
- 第82页
- 第83页
- 第84页
- 第85页
2. 给出两个运算:甲.$3m^{2}n - 4nm^{2} = -m^{2}n$;乙.$3m^{2}n - 3mn^{2} = 0$.下列判断正确的是(
A.甲、乙均错误
B.甲正确,乙错误
C.甲、乙均正确
D.甲错误,乙正确
B
).A.甲、乙均错误
B.甲正确,乙错误
C.甲、乙均正确
D.甲错误,乙正确
答案:
B
3. 已知多项式$x^{2} + 3kxy - y^{2} - 9xy + 10不含xy$项,则$k$的值为(
A.$-3$
B.$3$
C.$-6$
D.$6$
3
).A.$-3$
B.$3$
C.$-6$
D.$6$
答案:
B 【解析】x²+3kxy-y²-9xy+10=x²-y²+(3k-9)xy+10,因为多项式不含xy项,所以3k-9=0,所以k=3.故选B.
4. 下列合并同类项的计算中,正确的有(
①$3x - 2y = 1$;
②$x^{2} + x^{2} = x^{4}$;
③$3mn - 3mn = 0$;
④$4ab^{2} - 5ab^{2} = -ab^{2}$;
⑤$3m^{2} + 4m^{3} = 7m^{6}$.
A.$4$个
B.$3$个
C.$2$个
D.$1$个
C
).①$3x - 2y = 1$;
②$x^{2} + x^{2} = x^{4}$;
③$3mn - 3mn = 0$;
④$4ab^{2} - 5ab^{2} = -ab^{2}$;
⑤$3m^{2} + 4m^{3} = 7m^{6}$.
A.$4$个
B.$3$个
C.$2$个
D.$1$个
答案:
C
5. 若$2ax^{2}y^{3} + 4bx^{2}y^{3} = 2x^{2}y^{3}$,则$a + 2b - 3 = $
-2
.
答案:
-2 【解析】因为2ax²y³+4bx²y³=2x²y³,所以(2a+4b)x²y³=2x²y³,所以2a+4b=2,所以a+2b=1,所以a+2b-3=1-3=-2.
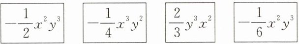
6. 如图,从标有单项式的四张卡片中找出所有能合并的同类项,若它们合并后的结果为$a$,则代数式$a^{2} + 2a + 1$的值为(

A.$-2$
B.$0$
C.$-1$
D.$1$
D
). A.$-2$
B.$0$
C.$-1$
D.$1$
答案:
D
7. 已知单项式$2x^{2a}y^{7}与单项式5x^{6}y^{b + 8}$是同类项,求$a^{2} + 2b$的值.
答案:
因为单项式$2x^{2a}y^{7}$与单项式$5x^{6}y^{b + 8}$是同类项,所以相同字母的指数相同,即$2a = 6$,$b + 8 = 7$。
由$2a = 6$,解得$a = 3$。
由$b + 8 = 7$,解得$b = -1$。
则$a^{2} + 2b = 3^{2} + 2×(-1) = 9 - 2 = 7$。
8. 若单项式$a^{m - 2}b^{n + 7}与单项式-3a^{4}b^{4}$的和仍是一个单项式,求$m - \frac{n}{3}$的值.
答案:
【解】由题意,得$m - 2 = 4$,$n + 7 = 4$,解得$m = 6$,$n = -3$。则$m - \frac{n}{3} = 6 - \frac{-3}{3} = 6 + 1 = 7$。
查看更多完整答案,请扫码查看