第31页
- 第1页
- 第2页
- 第3页
- 第4页
- 第5页
- 第6页
- 第7页
- 第8页
- 第9页
- 第10页
- 第11页
- 第12页
- 第13页
- 第14页
- 第15页
- 第16页
- 第17页
- 第18页
- 第19页
- 第20页
- 第21页
- 第22页
- 第23页
- 第24页
- 第25页
- 第26页
- 第27页
- 第28页
- 第29页
- 第30页
- 第31页
- 第32页
- 第33页
- 第34页
- 第35页
- 第36页
- 第37页
- 第38页
- 第39页
- 第40页
- 第41页
- 第42页
- 第43页
- 第44页
- 第45页
- 第46页
- 第47页
- 第48页
- 第49页
- 第50页
- 第51页
- 第52页
- 第53页
- 第54页
- 第55页
- 第56页
- 第57页
- 第58页
- 第59页
- 第60页
- 第61页
- 第62页
- 第63页
- 第64页
- 第65页
- 第66页
- 第67页
- 第68页
- 第69页
- 第70页
- 第71页
- 第72页
- 第73页
- 第74页
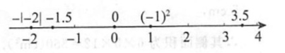
6. (经典题·数形结合)在数轴上画出表示下列各数的点,并用“<”号把这些数连接起来.
$0, -1.5, (-1)^2, -|-2|, 3.5$.
$0, -1.5, (-1)^2, -|-2|, 3.5$.
答案:
解:如图所示

$-|-2| < -1.5 < 0 < (-1)^2 < 3.5$。
解:如图所示
$-|-2| < -1.5 < 0 < (-1)^2 < 3.5$。
7. (情境题·数学文化)算筹是我国古代一种常用的数学工具,古人通常用算筹记数和进行数的简单运算. 如图 3,用算筹表示数字有两种方式:纵式和横式. 我们可以使用纵横交替的十进制记数法表示数字. 具体而言,个位用纵式,十位用横式,百位用纵式,千位用横式,依此类推. 数字 0 要空位,在个位数上划上斜线以表示负数.

如“
”表示 38,“
”表示 1 983.
【观察思考】
(1)请写出图 4,图 5 中算筹表示的数为

(2)利用算筹可以进行简单的加法运算,请同学们观察$536 + 69$的计算步骤,并在第 5 步中填入正确的算筹摆放方式.

如“
【观察思考】
(1)请写出图 4,图 5 中算筹表示的数为
266
,-213
.(2)利用算筹可以进行简单的加法运算,请同学们观察$536 + 69$的计算步骤,并在第 5 步中填入正确的算筹摆放方式.
答案:
(1)266;-213
(2)T |||||
(1)266;-213
(2)T |||||
查看更多完整答案,请扫码查看